Cost analysis comparing guideline-oriented biopsychosocial management to usual care for low-back pain: a cluster-randomized trial in occupational health primary care.

IF 4.3 2区 医学 Q1 PUBLIC, ENVIRONMENTAL & OCCUPATIONAL HEALTH
Maija Paukkunen, Jaro Karppinen, Birgitta Öberg, Leena Ala-Mursula, Eveliina Heikkala, Katja Ryynänen, Riikka Holopainen, Samuel Booth, Neill Booth, Allan Abbott
{"title":"Cost analysis comparing guideline-oriented biopsychosocial management to usual care for low-back pain: a cluster-randomized trial in occupational health primary care.","authors":"Maija Paukkunen, Jaro Karppinen, Birgitta Öberg, Leena Ala-Mursula, Eveliina Heikkala, Katja Ryynänen, Riikka Holopainen, Samuel Booth, Neill Booth, Allan Abbott","doi":"10.5271/sjweh.4212","DOIUrl":null,"url":null,"abstract":"<p><strong>Objectives: </strong>This study aimed to investigate the effect of a brief training intervention for occupational health services (OHS) professionals on multiprofessional resource utilization and the costs of biopsychosocial management of patients with low-back pain (LBP) compared to usual care among all participants and those in work disability-based risk groups.</p><p><strong>Methods: </strong>OHS utilization and back-related sick leave data were collected from electronic patient records over one-year follow-up comparing 232 patients in the intervention arm and 80 control-arm patients, stratified for risk of work disability based on the Örebro Musculoskeletal Pain Screening Questionnaire. We estimated costs using linear mixed models by multiplying unit costs (in euros) by each type of OHS resource use (visits to physicians, physiotherapists, nurses, use of imaging) and the number of sick leaves. Estimated mean cost differences with confidence intervals (CI) were reported using bootstrapping to deal with skewed cost data.</p><p><strong>Results: </strong>The median number of visits to physicians and physiotherapists in the intervention versus control arms was 1 [interquartile range (IQR) 0-3] and 2 (IQR 1-4) versus 2 (IQR 1-3) and 1 (IQR 0-2), respectively. The intervention arm accrued lower physician costs (€-43, 95% CI €-82- -3, P=0.034) and higher physiotherapist costs (€55, 95% CI €26-84, P<0.001) compared to the control arm. There was no statistically significant difference in average total costs between the arms (€-1908, 95% CI €-6734-2919). In the low- and medium-risk groups of work disability, physiotherapist costs were higher in the intervention than control arm, but no statistically significant differences were observed between the arms in the total resource utilization or sickness absence costs.</p><p><strong>Conclusions: </strong>Brief biopsychosocial training may support shifting OHS resources towards multiprofessional physiotherapist-driven care, instead of solely physician-driven care, for management of patients with LBP in differing risk groups of work disability with no substantial differences in total costs.</p>","PeriodicalId":21528,"journal":{"name":"Scandinavian journal of work, environment & health","volume":" ","pages":"201-213"},"PeriodicalIF":4.3000,"publicationDate":"2025-05-01","publicationTypes":"Journal Article","fieldsOfStudy":null,"isOpenAccess":false,"openAccessPdf":"https://www.ncbi.nlm.nih.gov/pmc/articles/PMC12070492/pdf/","citationCount":"0","resultStr":null,"platform":"Semanticscholar","paperid":null,"PeriodicalName":"Scandinavian journal of work, environment & health","FirstCategoryId":"3","ListUrlMain":"https://doi.org/10.5271/sjweh.4212","RegionNum":2,"RegionCategory":"医学","ArticlePicture":[],"TitleCN":null,"AbstractTextCN":null,"PMCID":null,"EPubDate":"2025/2/19 0:00:00","PubModel":"Epub","JCR":"Q1","JCRName":"PUBLIC, ENVIRONMENTAL & OCCUPATIONAL HEALTH","Score":null,"Total":0}
引用次数: 0

Abstract

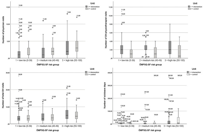
Objectives: This study aimed to investigate the effect of a brief training intervention for occupational health services (OHS) professionals on multiprofessional resource utilization and the costs of biopsychosocial management of patients with low-back pain (LBP) compared to usual care among all participants and those in work disability-based risk groups.

Methods: OHS utilization and back-related sick leave data were collected from electronic patient records over one-year follow-up comparing 232 patients in the intervention arm and 80 control-arm patients, stratified for risk of work disability based on the Örebro Musculoskeletal Pain Screening Questionnaire. We estimated costs using linear mixed models by multiplying unit costs (in euros) by each type of OHS resource use (visits to physicians, physiotherapists, nurses, use of imaging) and the number of sick leaves. Estimated mean cost differences with confidence intervals (CI) were reported using bootstrapping to deal with skewed cost data.

Results: The median number of visits to physicians and physiotherapists in the intervention versus control arms was 1 [interquartile range (IQR) 0-3] and 2 (IQR 1-4) versus 2 (IQR 1-3) and 1 (IQR 0-2), respectively. The intervention arm accrued lower physician costs (€-43, 95% CI €-82- -3, P=0.034) and higher physiotherapist costs (€55, 95% CI €26-84, P<0.001) compared to the control arm. There was no statistically significant difference in average total costs between the arms (€-1908, 95% CI €-6734-2919). In the low- and medium-risk groups of work disability, physiotherapist costs were higher in the intervention than control arm, but no statistically significant differences were observed between the arms in the total resource utilization or sickness absence costs.

Conclusions: Brief biopsychosocial training may support shifting OHS resources towards multiprofessional physiotherapist-driven care, instead of solely physician-driven care, for management of patients with LBP in differing risk groups of work disability with no substantial differences in total costs.

Abstract Image

Abstract Image

比较指导导向的生物心理社会管理与常规治疗腰痛的成本分析:一项职业卫生初级保健的集群随机试验。
目的:本研究旨在探讨职业健康服务(OHS)专业人员的简短培训干预对所有参与者和基于工作残疾的风险群体中腰痛(LBP)患者的多专业资源利用和生物心理社会管理成本的影响。方法:对干预组232例患者和对照组80例患者进行为期一年的随访,收集电子病历中OHS使用和背部相关病假数据,并根据Örebro肌肉骨骼疼痛筛查问卷对工作残疾风险进行分层。我们使用线性混合模型通过将单位成本(以欧元计)乘以每种OHS资源使用(访问医生,物理治疗师,护士,使用成像)和病假数量来估算成本。估计平均成本差异与置信区间(CI)报告使用自举来处理倾斜的成本数据。结果:干预组与对照组的医生和物理治疗师就诊次数中位数分别为1次[四分位数范围(IQR) 0-3]和2次(IQR 1-4)与2次(IQR 1-3)和1次(IQR 0-2)。干预组的医生成本较低(€-43,95% CI€-82- -3,P=0.034),而物理治疗师成本较高(€55,95% CI€26-84)。结论:对于不同工作残疾风险群体的腰痛患者,简短的生物心理社会培训可能支持OHS资源转向多专业物理治疗师驱动的护理,而不是单纯的医生驱动的护理,在总成本上没有实质性差异。
本文章由计算机程序翻译,如有差异,请以英文原文为准。
求助全文
约1分钟内获得全文 求助全文
来源期刊
Scandinavian journal of work, environment & health
Scandinavian journal of work, environment & health 医学-公共卫生、环境卫生与职业卫生
CiteScore
8.20
自引率
9.50%
发文量
65
审稿时长
>12 weeks
期刊介绍: The aim of the Journal is to promote research in the fields of occupational and environmental health and safety and to increase knowledge through the publication of original research articles, systematic reviews, and other information of high interest. Areas of interest include occupational and environmental epidemiology, occupational and environmental medicine, psychosocial factors at work, physical work load, physical activity work-related mental and musculoskeletal problems, aging, work ability and return to work, working hours and health, occupational hygiene and toxicology, work safety and injury epidemiology as well as occupational health services. In addition to observational studies, quasi-experimental and intervention studies are welcome as well as methodological papers, occupational cohort profiles, and studies associated with economic evaluation. The Journal also publishes short communications, case reports, commentaries, discussion papers, clinical questions, consensus reports, meeting reports, other reports, book reviews, news, and announcements (jobs, courses, events etc).
×
引用
GB/T 7714-2015
复制
MLA
复制
APA
复制
导出至
BibTeX EndNote RefMan NoteFirst NoteExpress
×
提示
您的信息不完整,为了账户安全,请先补充。
现在去补充
×
提示
您因"违规操作"
具体请查看互助需知
我知道了
×
提示
确定
请完成安全验证×
copy
已复制链接
快去分享给好友吧!
我知道了
右上角分享
点击右上角分享
0
联系我们:info@booksci.cn Book学术提供免费学术资源搜索服务,方便国内外学者检索中英文文献。致力于提供最便捷和优质的服务体验。 Copyright © 2023 布克学术 All rights reserved.
京ICP备2023020795号-1
ghs 京公网安备 11010802042870号
Book学术文献互助
Book学术文献互助群
群 号:604180095
Book学术官方微信