Improvements to the Nutri-Score to address challenges identified in a Nordic setting.

IF 3.4 4区 医学 Q2 FOOD SCIENCE & TECHNOLOGY
Food & Nutrition Research Pub Date : 2025-01-29 eCollection Date: 2025-01-01 DOI:10.29219/fnr.v69.10914
Anna Amberntsson, Mari Mohn Paulsen, Marta Angela Bianchi, Bryndís Eva Birgisdóttir, Anja Pia Biltoft-Jensen, Dina Moxness Konglevoll, Anne Lise Brantsæter, Kaja Lund-Iversen, Lene Frost Andersen, Marianne Hope Abel
{"title":"Improvements to the Nutri-Score to address challenges identified in a Nordic setting.","authors":"Anna Amberntsson, Mari Mohn Paulsen, Marta Angela Bianchi, Bryndís Eva Birgisdóttir, Anja Pia Biltoft-Jensen, Dina Moxness Konglevoll, Anne Lise Brantsæter, Kaja Lund-Iversen, Lene Frost Andersen, Marianne Hope Abel","doi":"10.29219/fnr.v69.10914","DOIUrl":null,"url":null,"abstract":"<p><strong>Background: </strong>Front-of-pack nutrition labelling is an important policy tool for public health. The Nutri-Score classifies foods according to nutritional quality from A (high quality) to E (low quality). We have previously identified inconsistencies between Nutri-Score and the Norwegian food-based dietary guidelines. The objective was to propose revisions to the Nutri-Score 2023 algorithms and determine if the revised algorithms better align with the Nordic Nutrition Recommendations 2023 (NNR2023) and the Keyhole label.</p><p><strong>Methods: </strong>Items in the Norwegian pre-packed foods databases Tradesolution (<i>n</i> = 26,033) and Unil (<i>n</i> = 577) were classified using the Nutri-Score 2023 algorithms. To address carbohydrate quality, a penalty for low-fibre content was introduced, and the sugar scale compressed. The protein cap was removed for fish products to reward their nutritional quality. To improve the scoring of high-fat foods, the scale for saturated fat was extended, fat content determined the inclusion in the algorithm for fats, rather than food categories, and favourable fat quality in oils was rewarded through a fat quality component. Data from the databases guided the identification of specific thresholds. The distribution of Nutri-Score was calculated before and after applying the revisions.</p><p><strong>Results: </strong>In total, 5.5% of all products received a less favourable Nutri-Score with the revised carbohydrate quality components. Most refined pastas and flour shifted shifted from A to B or C, whilst whole grain pasta largely remained A. Sugar-rich breakfast cereals shifted from B to C or D. For fish, 11% (1% of all products) were moved from D or E to C or D. The variation in scores for cheese and creams increased. Around 5% of all products were affected by the revisions related to fat quality.</p><p><strong>Conclusions: </strong>The proposed revisions make the Nutri-Score more coherent with the NNR2023 and the Keyhole label. The proposed revisions also hold relevance for other European countries and should therefore be considered in the next revision of the Nutri-Score.</p>","PeriodicalId":12119,"journal":{"name":"Food & Nutrition Research","volume":"69 ","pages":""},"PeriodicalIF":3.4000,"publicationDate":"2025-01-29","publicationTypes":"Journal Article","fieldsOfStudy":null,"isOpenAccess":false,"openAccessPdf":"https://www.ncbi.nlm.nih.gov/pmc/articles/PMC11836775/pdf/","citationCount":"0","resultStr":null,"platform":"Semanticscholar","paperid":null,"PeriodicalName":"Food & Nutrition Research","FirstCategoryId":"97","ListUrlMain":"https://doi.org/10.29219/fnr.v69.10914","RegionNum":4,"RegionCategory":"医学","ArticlePicture":[],"TitleCN":null,"AbstractTextCN":null,"PMCID":null,"EPubDate":"2025/1/1 0:00:00","PubModel":"eCollection","JCR":"Q2","JCRName":"FOOD SCIENCE & TECHNOLOGY","Score":null,"Total":0}
引用次数: 0

Abstract

Background: Front-of-pack nutrition labelling is an important policy tool for public health. The Nutri-Score classifies foods according to nutritional quality from A (high quality) to E (low quality). We have previously identified inconsistencies between Nutri-Score and the Norwegian food-based dietary guidelines. The objective was to propose revisions to the Nutri-Score 2023 algorithms and determine if the revised algorithms better align with the Nordic Nutrition Recommendations 2023 (NNR2023) and the Keyhole label.

Methods: Items in the Norwegian pre-packed foods databases Tradesolution (n = 26,033) and Unil (n = 577) were classified using the Nutri-Score 2023 algorithms. To address carbohydrate quality, a penalty for low-fibre content was introduced, and the sugar scale compressed. The protein cap was removed for fish products to reward their nutritional quality. To improve the scoring of high-fat foods, the scale for saturated fat was extended, fat content determined the inclusion in the algorithm for fats, rather than food categories, and favourable fat quality in oils was rewarded through a fat quality component. Data from the databases guided the identification of specific thresholds. The distribution of Nutri-Score was calculated before and after applying the revisions.

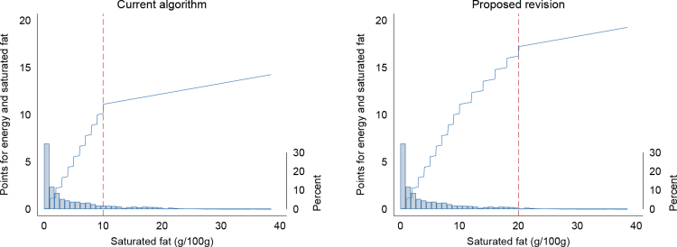
Results: In total, 5.5% of all products received a less favourable Nutri-Score with the revised carbohydrate quality components. Most refined pastas and flour shifted shifted from A to B or C, whilst whole grain pasta largely remained A. Sugar-rich breakfast cereals shifted from B to C or D. For fish, 11% (1% of all products) were moved from D or E to C or D. The variation in scores for cheese and creams increased. Around 5% of all products were affected by the revisions related to fat quality.

Conclusions: The proposed revisions make the Nutri-Score more coherent with the NNR2023 and the Keyhole label. The proposed revisions also hold relevance for other European countries and should therefore be considered in the next revision of the Nutri-Score.

Abstract Image

Abstract Image

Abstract Image

改善营养评分,以解决在北欧环境中发现的挑战。
背景:包装正面营养标签是公共卫生的重要政策工具。nutrition - score根据营养质量将食物从A(高质量)到E(低质量)进行分类。我们之前已经发现了nutrition - score和挪威基于食物的饮食指南之间的不一致。目的是提出对Nutrition - score 2023算法的修订,并确定修订后的算法是否更好地符合北欧营养建议2023 (NNR2023)和Keyhole标签。方法:采用nutrition - score 2023算法对挪威预包装食品数据库tradresolve (n = 26,033)和Unil (n = 577)中的项目进行分类。为了解决碳水化合物的质量问题,引入了低纤维含量的惩罚措施,并压缩了糖标。鱼类产品的蛋白质上限被取消,以奖励它们的营养质量。为了提高对高脂肪食物的评分,饱和脂肪的评分范围被扩大了,脂肪含量决定了脂肪在算法中的包含,而不是食物类别,油中良好的脂肪质量通过脂肪质量成分得到奖励。来自数据库的数据指导了具体阈值的确定。应用修订前后计算营养评分的分布。结果:总的来说,5.5%的产品在修改后的碳水化合物质量成分中获得了不太有利的营养评分。大多数精制面食和面粉从A转向了B或C,而全麦面食基本上保持A。富含糖的早餐谷物从B转向了C或D。鱼类的11%(占所有产品的1%)从D或E转向了C或D。奶酪和奶油的得分变化增加了。大约5%的产品受到与脂肪质量相关的修订的影响。结论:拟议的修订使nutrition - score与NNR2023和Keyhole标签更加一致。拟议的修订也适用于其他欧洲国家,因此应在下次修订营养评分时加以考虑。
本文章由计算机程序翻译,如有差异,请以英文原文为准。
求助全文
约1分钟内获得全文 求助全文
来源期刊
Food & Nutrition Research
Food & Nutrition Research FOOD SCIENCE & TECHNOLOGY-NUTRITION & DIETETICS
CiteScore
5.20
自引率
9.10%
发文量
47
审稿时长
14 weeks
期刊介绍: Food & Nutrition Research is a peer-reviewed journal that presents the latest scientific research in various fields focusing on human nutrition. The journal publishes both quantitative and qualitative research papers. Through an Open Access publishing model, Food & Nutrition Research opens an important forum for researchers from academic and private arenas to exchange the latest results from research on human nutrition in a broad sense, both original papers and reviews, including: * Associations and effects of foods and nutrients on health * Dietary patterns and health * Molecular nutrition * Health claims on foods * Nutrition and cognitive functions * Nutritional effects of food composition and processing * Nutrition in developing countries * Animal and in vitro models with clear relevance for human nutrition * Nutrition and the Environment * Food and Nutrition Education * Nutrition and Economics Research papers on food chemistry (focus on chemical composition and analysis of foods) are generally not considered eligible, unless the results have a clear impact on human nutrition. The journal focuses on the different aspects of nutrition for people involved in nutrition research such as Dentists, Dieticians, Medical doctors, Nutritionists, Teachers, Journalists and Manufacturers in the food and pharmaceutical industries.
×
引用
GB/T 7714-2015
复制
MLA
复制
APA
复制
导出至
BibTeX EndNote RefMan NoteFirst NoteExpress
×
提示
您的信息不完整,为了账户安全,请先补充。
现在去补充
×
提示
您因"违规操作"
具体请查看互助需知
我知道了
×
提示
确定
请完成安全验证×
copy
已复制链接
快去分享给好友吧!
我知道了
右上角分享
点击右上角分享
0
联系我们:info@booksci.cn Book学术提供免费学术资源搜索服务,方便国内外学者检索中英文文献。致力于提供最便捷和优质的服务体验。 Copyright © 2023 布克学术 All rights reserved.
京ICP备2023020795号-1
ghs 京公网安备 11010802042870号
Book学术文献互助
Book学术文献互助群
群 号:604180095
Book学术官方微信