Concomitant medications in patients with metastatic urothelial carcinoma receiving enfortumab vedotin: real-world data from the ARON-2EV study.

IF 3.2 3区 医学 Q2 ONCOLOGY
Ondřej Fiala, Sebastiano Buti, Kazutoshi Fujita, Alfonso Gómez de Liaño, Wataru Fukuokaya, Takahiro Kimura, Takafumi Yanagisawa, Patrizia Giannatempo, Martin Angel, Alessia Mennitto, Javier Molina-Cerrillo, Maria T Bourlon, Andrey Soares, Hideki Takeshita, Fabio Calabrò, Cinzia Ortega, Jakub Kucharz, Michele Milella, Emmanuel Seront, Se Hoon Park, Deniz Tural, Giovanni Benedetti, Yüksel Ürün, Nicola Battelli, Bohuslav Melichar, Alexandr Poprach, Tomas Buchler, Jindřich Kopecký, Vincenza Conteduca, Fernando Sabino Marques Monteiro, Francesco Massari, Shilpa Gupta, Matteo Santoni
{"title":"Concomitant medications in patients with metastatic urothelial carcinoma receiving enfortumab vedotin: real-world data from the ARON-2<sup>EV</sup> study.","authors":"Ondřej Fiala, Sebastiano Buti, Kazutoshi Fujita, Alfonso Gómez de Liaño, Wataru Fukuokaya, Takahiro Kimura, Takafumi Yanagisawa, Patrizia Giannatempo, Martin Angel, Alessia Mennitto, Javier Molina-Cerrillo, Maria T Bourlon, Andrey Soares, Hideki Takeshita, Fabio Calabrò, Cinzia Ortega, Jakub Kucharz, Michele Milella, Emmanuel Seront, Se Hoon Park, Deniz Tural, Giovanni Benedetti, Yüksel Ürün, Nicola Battelli, Bohuslav Melichar, Alexandr Poprach, Tomas Buchler, Jindřich Kopecký, Vincenza Conteduca, Fernando Sabino Marques Monteiro, Francesco Massari, Shilpa Gupta, Matteo Santoni","doi":"10.1007/s10585-025-10335-4","DOIUrl":null,"url":null,"abstract":"<p><p>Patients with metastatic urothelial carcinoma (mUC) are typically elderly and often have other comorbidities that require the use of concomitant medications. In our study we evaluated the association of concomitant use of antibiotics (ATBs), proton pump inhibitors (PPIs), corticosteroids, statins, metformin and insulin with patient outcomes and we validated the prognostic role of a concomitant drug score in mUC patients treated with enfortumab vedotin (EV) monotherapy. Data from 436 patients enrolled in the ARON-2<sup>EV</sup> retrospective study were analyzed according to the concomitant medications used at baseline. Finally, the patients were stratified into three risk groups according to the concomitant drug score based on ATBs, corticosteroids and PPIs. Statistical analysis involved Fisher exact test, Kaplan-Meier method, log-rank test, and univariate/multivariate Cox proportional hazard regression models. Inferior survival outcomes were observed in ATB users compared to non-users (OS: 7.3 months, 95%CI 5.0 - 12.3 vs 13.7 months, 95%CI 12.2 - 47.3, p = 0.001; PFS: 5.1 months 95%CI 3.3 - 17.7 vs 8.3 months, 95%CI 7.1 - 47.3, p = 0.001) and also in corticosteroid users compared to non-users (OS: 8.4 months, 95%CI 6.6 - 10.0 vs 14.2 months, 95%CI 12.7 - 47.3, p < 0.001; PFS: 6.0 months 95%CI 4.6 - 7.9 vs 8.9 months, 95%CI 7.2 - 47.3, p = 0.004). In the Cox multivariate analysis, the concomitant drug score was a significant factor predicting both OS (HR = 1.32 [95% CI 1.03 - 1.68], p = 0.026) and PFS (HR = 1.23 [95% CI 1.01 - 1.51], p = 0.044). Our findings suggest detrimental impact of concomitant use of ATBs and corticosteroids on survival outcomes and the prognostic utility of the concomitant drug score in previously treated mUC patients receiving EV.</p>","PeriodicalId":10267,"journal":{"name":"Clinical & Experimental Metastasis","volume":"42 2","pages":"18"},"PeriodicalIF":3.2000,"publicationDate":"2025-02-20","publicationTypes":"Journal Article","fieldsOfStudy":null,"isOpenAccess":false,"openAccessPdf":"https://www.ncbi.nlm.nih.gov/pmc/articles/PMC11842414/pdf/","citationCount":"0","resultStr":null,"platform":"Semanticscholar","paperid":null,"PeriodicalName":"Clinical & Experimental Metastasis","FirstCategoryId":"3","ListUrlMain":"https://doi.org/10.1007/s10585-025-10335-4","RegionNum":3,"RegionCategory":"医学","ArticlePicture":[],"TitleCN":null,"AbstractTextCN":null,"PMCID":null,"EPubDate":"","PubModel":"","JCR":"Q2","JCRName":"ONCOLOGY","Score":null,"Total":0}
引用次数: 0

Abstract

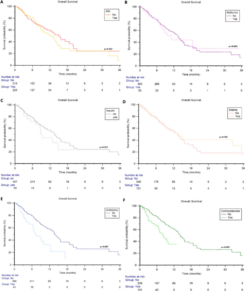
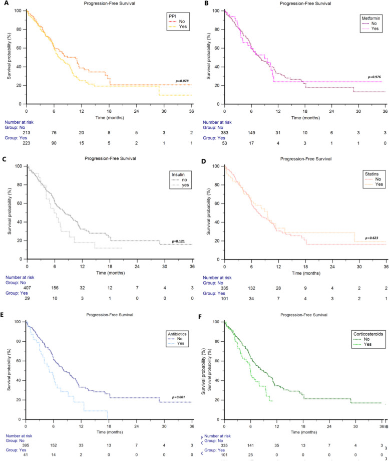
Patients with metastatic urothelial carcinoma (mUC) are typically elderly and often have other comorbidities that require the use of concomitant medications. In our study we evaluated the association of concomitant use of antibiotics (ATBs), proton pump inhibitors (PPIs), corticosteroids, statins, metformin and insulin with patient outcomes and we validated the prognostic role of a concomitant drug score in mUC patients treated with enfortumab vedotin (EV) monotherapy. Data from 436 patients enrolled in the ARON-2EV retrospective study were analyzed according to the concomitant medications used at baseline. Finally, the patients were stratified into three risk groups according to the concomitant drug score based on ATBs, corticosteroids and PPIs. Statistical analysis involved Fisher exact test, Kaplan-Meier method, log-rank test, and univariate/multivariate Cox proportional hazard regression models. Inferior survival outcomes were observed in ATB users compared to non-users (OS: 7.3 months, 95%CI 5.0 - 12.3 vs 13.7 months, 95%CI 12.2 - 47.3, p = 0.001; PFS: 5.1 months 95%CI 3.3 - 17.7 vs 8.3 months, 95%CI 7.1 - 47.3, p = 0.001) and also in corticosteroid users compared to non-users (OS: 8.4 months, 95%CI 6.6 - 10.0 vs 14.2 months, 95%CI 12.7 - 47.3, p < 0.001; PFS: 6.0 months 95%CI 4.6 - 7.9 vs 8.9 months, 95%CI 7.2 - 47.3, p = 0.004). In the Cox multivariate analysis, the concomitant drug score was a significant factor predicting both OS (HR = 1.32 [95% CI 1.03 - 1.68], p = 0.026) and PFS (HR = 1.23 [95% CI 1.01 - 1.51], p = 0.044). Our findings suggest detrimental impact of concomitant use of ATBs and corticosteroids on survival outcomes and the prognostic utility of the concomitant drug score in previously treated mUC patients receiving EV.

Abstract Image

Abstract Image

Abstract Image

转移性尿路上皮癌患者接受强制维多汀治疗的同时用药:来自ARON-2EV研究的真实数据
转移性尿路上皮癌(mUC)的患者通常是老年人,并且经常有其他合并症,需要使用联合药物。在我们的研究中,我们评估了同时使用抗生素(ATBs)、质子泵抑制剂(PPIs)、皮质类固醇、他汀类药物、二甲双胍和胰岛素与患者预后的关系,并验证了同时使用药物评分在接受强制维多汀(EV)单药治疗的mUC患者中的预后作用。纳入ARON-2EV回顾性研究的436例患者的数据根据基线时使用的伴随药物进行分析。最后,根据ATBs、皮质类固醇和PPIs的伴随用药评分将患者分为3个危险组。统计分析采用Fisher精确检验、Kaplan-Meier法、log-rank检验和单因素/多因素Cox比例风险回归模型。与非ATB使用者相比,ATB使用者的生存结果较差(OS: 7.3个月,95%CI 5.0 - 12.3 vs 13.7个月,95%CI 12.2 - 47.3, p = 0.001;PFS: 5.1个月95%CI 3.3 - 17.7 vs 8.3个月,95%CI 7.1 - 47.3, p = 0.001),皮质类固醇使用者与非使用者(OS: 8.4个月,95%CI 6.6 - 10.0 vs 14.2个月,95%CI 12.7 - 47.3, p = 0.001)
本文章由计算机程序翻译,如有差异,请以英文原文为准。
求助全文
约1分钟内获得全文 求助全文
来源期刊
CiteScore
7.80
自引率
5.00%
发文量
55
审稿时长
12 months
期刊介绍: The Journal''s scope encompasses all aspects of metastasis research, whether laboratory-based, experimental or clinical and therapeutic. It covers such areas as molecular biology, pharmacology, tumor biology, and clinical cancer treatment (with all its subdivisions of surgery, chemotherapy and radio-therapy as well as pathology and epidemiology) insofar as these disciplines are concerned with the Journal''s core subject of metastasis formation, prevention and treatment.
×
引用
GB/T 7714-2015
复制
MLA
复制
APA
复制
导出至
BibTeX EndNote RefMan NoteFirst NoteExpress
×
提示
您的信息不完整,为了账户安全,请先补充。
现在去补充
×
提示
您因"违规操作"
具体请查看互助需知
我知道了
×
提示
确定
请完成安全验证×
copy
已复制链接
快去分享给好友吧!
我知道了
右上角分享
点击右上角分享
0
联系我们:info@booksci.cn Book学术提供免费学术资源搜索服务,方便国内外学者检索中英文文献。致力于提供最便捷和优质的服务体验。 Copyright © 2023 布克学术 All rights reserved.
京ICP备2023020795号-1
ghs 京公网安备 11010802042870号
Book学术文献互助
Book学术文献互助群
群 号:604180095
Book学术官方微信