Validation of 2023 FIGO Stage IA1-IIIC2 Endometrial Carcinoma: A Retrospective Analysis of Two Tertiary Centers in South Korea and Taiwan.

IF 3.8 2区 医学 Q2 ONCOLOGY
Cancer Research and Treatment Pub Date : 2025-10-01 Epub Date: 2025-02-17 DOI:10.4143/crt.2024.1190
Myeong-Seon Kim, Yen-Ling Lai, Yurimi Lee, Hyun-Soo Kim, Yu-Li Chen, Yoo-Young Lee
{"title":"Validation of 2023 FIGO Stage IA1-IIIC2 Endometrial Carcinoma: A Retrospective Analysis of Two Tertiary Centers in South Korea and Taiwan.","authors":"Myeong-Seon Kim, Yen-Ling Lai, Yurimi Lee, Hyun-Soo Kim, Yu-Li Chen, Yoo-Young Lee","doi":"10.4143/crt.2024.1190","DOIUrl":null,"url":null,"abstract":"<p><strong>Purpose: </strong>As understanding of the molecular pathogenesis of endometrial carcinoma (EC) advanced, the International Federation of Gynecology and Obstetrics (FIGO) staging system was revised in 2023. This study compared EC survival outcomes using the 2009 and 2023 FIGO staging systems.</p><p><strong>Materials and methods: </strong>We retrospectively analyzed 3,029 patients diagnosed with 2009 FIGO stage I-III EC between 1985 and 2022 in South Korea, and between 2020 and 2022 in Taiwan. All patients were reclassified using the 2023 FIGO staging, and survival and risk factors were examined under both systems.</p><p><strong>Results: </strong>Transitioning from the 2009 to 2023 FIGO resulted in 549 patients (18.0%) being upstaged and their survival curves being diversified, indicating significant prognostic value of the 2023 FIGO. Re-classification using the 2023 FIGO upstaged the 2009 FIGO stage IA high-risk ECs, allowing more intensive treatment and potentially improving survival outcomes. The most significant changes occurred in the 2009 FIGO stages IA, IB, and IIIA ECs: upstaging in 16.5%, 49.0%, and 2.0% of IA, IB, and IIIA tumors, respectively, and downstaging 0.3% and 40.8% of IB and IIIA tumors, respectively. The risk factors for poor survival included old age (≥ 60 years), menopause, diabetes, substantial lymphovascular space invasion, aberrant p53 expression, and some aggressive histological types (carcinosarcoma, undifferentiated carcinoma, mesonephric-like adenocarcinoma, and neuroendocrine carcinoma).</p><p><strong>Conclusion: </strong>The 2023 FIGO staging provides more refined stratification of early-stage EC than the 2009 version. Thus, the 2023 FIGO may more accurately guide prognosis and therapeutic decision-making.</p>","PeriodicalId":49094,"journal":{"name":"Cancer Research and Treatment","volume":" ","pages":"1187-1197"},"PeriodicalIF":3.8000,"publicationDate":"2025-10-01","publicationTypes":"Journal Article","fieldsOfStudy":null,"isOpenAccess":false,"openAccessPdf":"https://www.ncbi.nlm.nih.gov/pmc/articles/PMC12527611/pdf/","citationCount":"0","resultStr":null,"platform":"Semanticscholar","paperid":null,"PeriodicalName":"Cancer Research and Treatment","FirstCategoryId":"3","ListUrlMain":"https://doi.org/10.4143/crt.2024.1190","RegionNum":2,"RegionCategory":"医学","ArticlePicture":[],"TitleCN":null,"AbstractTextCN":null,"PMCID":null,"EPubDate":"2025/2/17 0:00:00","PubModel":"Epub","JCR":"Q2","JCRName":"ONCOLOGY","Score":null,"Total":0}
引用次数: 0

Abstract

Purpose: As understanding of the molecular pathogenesis of endometrial carcinoma (EC) advanced, the International Federation of Gynecology and Obstetrics (FIGO) staging system was revised in 2023. This study compared EC survival outcomes using the 2009 and 2023 FIGO staging systems.

Materials and methods: We retrospectively analyzed 3,029 patients diagnosed with 2009 FIGO stage I-III EC between 1985 and 2022 in South Korea, and between 2020 and 2022 in Taiwan. All patients were reclassified using the 2023 FIGO staging, and survival and risk factors were examined under both systems.

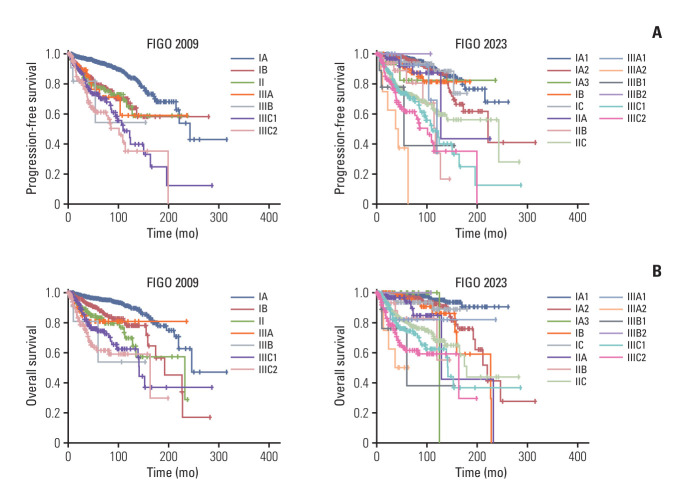
Results: Transitioning from the 2009 to 2023 FIGO resulted in 549 patients (18.0%) being upstaged and their survival curves being diversified, indicating significant prognostic value of the 2023 FIGO. Re-classification using the 2023 FIGO upstaged the 2009 FIGO stage IA high-risk ECs, allowing more intensive treatment and potentially improving survival outcomes. The most significant changes occurred in the 2009 FIGO stages IA, IB, and IIIA ECs: upstaging in 16.5%, 49.0%, and 2.0% of IA, IB, and IIIA tumors, respectively, and downstaging 0.3% and 40.8% of IB and IIIA tumors, respectively. The risk factors for poor survival included old age (≥ 60 years), menopause, diabetes, substantial lymphovascular space invasion, aberrant p53 expression, and some aggressive histological types (carcinosarcoma, undifferentiated carcinoma, mesonephric-like adenocarcinoma, and neuroendocrine carcinoma).

Conclusion: The 2023 FIGO staging provides more refined stratification of early-stage EC than the 2009 version. Thus, the 2023 FIGO may more accurately guide prognosis and therapeutic decision-making.

Abstract Image

Abstract Image

Abstract Image

2023年FIGO IA1-IIIC2期子宫内膜癌的验证:韩国和台湾两个三级中心的回顾性分析。
目的:随着对子宫内膜癌(EC)分子发病机制的深入了解,国际妇产科学联合会(FIGO)于2023年修订了子宫内膜癌分期体系。本研究比较了2009年和2023年FIGO分期系统的EC生存结果。材料和方法:我们回顾性分析了1985年至2022年在韩国诊断为2009年FIGO I-III期EC的3029例患者,以及2020年至2022年在台湾诊断为2009年FIGO期EC的3029例患者。所有患者使用2023年FIGO分期进行重新分类,并在两种系统下检查生存和危险因素。结果:从2009年FIGO到2023年FIGO的过渡导致549例(18.0%)患者被抢镜,其生存曲线多样化,表明2023年FIGO具有重要的预后价值。使用2023年FIGO重新分类取代了2009年FIGO IA期高风险ECs,允许更强化的治疗,并可能改善生存结果。最显著的变化发生在2009年FIGO分期IA、IB和IIIA肿瘤:IA、IB和IIIA肿瘤的分期分别为16.5%、49.0%和2.0%,IB和IIIA肿瘤的分期分别为0.3%和40.8%。生存率差的危险因素包括:老年(≥60岁)、更年期、糖尿病、淋巴血管间隙严重侵犯、p53异常表达和一些侵袭性组织学类型(癌肉瘤、未分化癌、中肾样腺癌和神经内分泌癌)。结论:2023年FIGO分期比2009年版本提供了更精细的早期EC分层。因此,2023年FIGO可以更准确地指导预后和治疗决策。
本文章由计算机程序翻译,如有差异,请以英文原文为准。
求助全文
约1分钟内获得全文 求助全文
来源期刊
CiteScore
8.00
自引率
2.20%
发文量
126
审稿时长
>12 weeks
期刊介绍: Cancer Research and Treatment is a peer-reviewed open access publication of the Korean Cancer Association. It is published quarterly, one volume per year. Abbreviated title is Cancer Res Treat. It accepts manuscripts relevant to experimental and clinical cancer research. Subjects include carcinogenesis, tumor biology, molecular oncology, cancer genetics, tumor immunology, epidemiology, predictive markers and cancer prevention, pathology, cancer diagnosis, screening and therapies including chemotherapy, surgery, radiation therapy, immunotherapy, gene therapy, multimodality treatment and palliative care.
×
引用
GB/T 7714-2015
复制
MLA
复制
APA
复制
导出至
BibTeX EndNote RefMan NoteFirst NoteExpress
×
提示
您的信息不完整,为了账户安全,请先补充。
现在去补充
×
提示
您因"违规操作"
具体请查看互助需知
我知道了
×
提示
确定
请完成安全验证×
copy
已复制链接
快去分享给好友吧!
我知道了
右上角分享
点击右上角分享
0
联系我们:info@booksci.cn Book学术提供免费学术资源搜索服务,方便国内外学者检索中英文文献。致力于提供最便捷和优质的服务体验。 Copyright © 2023 布克学术 All rights reserved.
京ICP备2023020795号-1
ghs 京公网安备 11010802042870号
Book学术文献互助
Book学术文献互助群
群 号:604180095
Book学术官方微信