Effects of SWEEPS-Activated Irrigation and Other Methods for Elimination of Intracanal Medicaments on Push-Out Bond Strength of NeoMTA2 to Root Dentin: An In Vitro Study.

Q2 Environmental Science
The Scientific World Journal Pub Date : 2025-02-10 eCollection Date: 2025-01-01 DOI:10.1155/tswj/7246588
Maryam Babaahmadi, Fatemeh Dibaji, Mehdi Vatanpour, Mohsen Aminsobhani, Pegah Sarraf, Mehrfam Khoshkhounejad
{"title":"Effects of SWEEPS-Activated Irrigation and Other Methods for Elimination of Intracanal Medicaments on Push-Out Bond Strength of NeoMTA2 to Root Dentin: An In Vitro Study.","authors":"Maryam Babaahmadi, Fatemeh Dibaji, Mehdi Vatanpour, Mohsen Aminsobhani, Pegah Sarraf, Mehrfam Khoshkhounejad","doi":"10.1155/tswj/7246588","DOIUrl":null,"url":null,"abstract":"<p><p><b>Objectives:</b> This study evaluated the effects of laser-assisted irrigation, conventional syringe irrigation (CSI), and passive ultrasonic irrigation (PUI) for elimination of intracanal medicaments on push-out bond strength (PBS) of NeoMTA2 to root dentin. <b>Materials and Methods:</b> In this in vitro study, 150 extracted single-rooted mandibular premolars were decoronated and standardized with a certain root length. The canals were instrumented to simulate immature roots and randomly assigned to three experimental groups (<i>n</i> = 45) using either triple antibiotic paste (TAP), double antibiotic paste (DAP), or calcium hydroxide (CH) as intracanal medicament and one no-medicament control group (<i>n</i> = 15). After 28 days, the experimental groups were randomly divided into three subgroups (<i>n</i> = 15) according to the irrigation method using either erbium-doped yttrium aluminum garnet (Er:YAG) laser shockwave-enhanced emission photoacoustic streaming (SWEEPS), CSI, or PUI. A dentinal ring was then obtained from the coronal part of each root, and its lumen was densely filled with NeoMTA2. After 1 week, the PBS was measured using a universal testing machine. Data were analyzed by ANOVA and Tukey and Dunnett tests (alpha = 0.05). <b>Results:</b> The interaction effect of the irrigation technique and medicament type on PBS was significant (<i>p</i> < 0.05). The PBS in all groups was significantly lower than the control group (<i>p</i> < 0.01) except in CH-SWEEPS (<i>p</i> = 0.741). In the experimental groups, the PBS of the SWEEPS subgroup was significantly higher than other subgroups (<i>p</i> < 0.001). The PBS of PUI was higher than CSI in CH and TAP groups (<i>p</i> < 0.001). The PBS of CH was significantly higher than TAP in CSI, and DAP and TAP in PUI and SWEEPS groups (<i>p</i> < 0.05). <b>Conclusion:</b> In this in vitro study, regardless of the irrigation method, higher PBS of NeoMTA2 to root dentin was achieved in CH groups compared to TAP. A higher PBS was also achieved when SWEEPS and PUI methods were used to eliminate CH in comparison to TAP and DAP.</p>","PeriodicalId":22985,"journal":{"name":"The Scientific World Journal","volume":"2025 ","pages":"7246588"},"PeriodicalIF":0.0000,"publicationDate":"2025-02-10","publicationTypes":"Journal Article","fieldsOfStudy":null,"isOpenAccess":false,"openAccessPdf":"https://www.ncbi.nlm.nih.gov/pmc/articles/PMC11832256/pdf/","citationCount":"0","resultStr":null,"platform":"Semanticscholar","paperid":null,"PeriodicalName":"The Scientific World Journal","FirstCategoryId":"1085","ListUrlMain":"https://doi.org/10.1155/tswj/7246588","RegionNum":0,"RegionCategory":null,"ArticlePicture":[],"TitleCN":null,"AbstractTextCN":null,"PMCID":null,"EPubDate":"2025/1/1 0:00:00","PubModel":"eCollection","JCR":"Q2","JCRName":"Environmental Science","Score":null,"Total":0}
引用次数: 0

Abstract

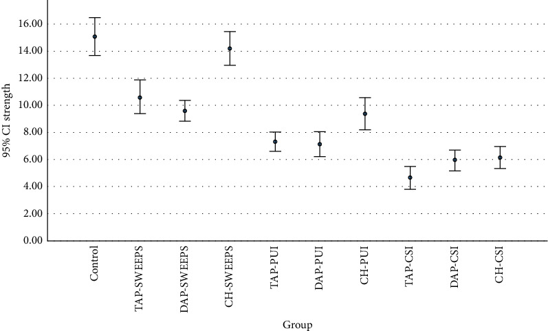
Objectives: This study evaluated the effects of laser-assisted irrigation, conventional syringe irrigation (CSI), and passive ultrasonic irrigation (PUI) for elimination of intracanal medicaments on push-out bond strength (PBS) of NeoMTA2 to root dentin. Materials and Methods: In this in vitro study, 150 extracted single-rooted mandibular premolars were decoronated and standardized with a certain root length. The canals were instrumented to simulate immature roots and randomly assigned to three experimental groups (n = 45) using either triple antibiotic paste (TAP), double antibiotic paste (DAP), or calcium hydroxide (CH) as intracanal medicament and one no-medicament control group (n = 15). After 28 days, the experimental groups were randomly divided into three subgroups (n = 15) according to the irrigation method using either erbium-doped yttrium aluminum garnet (Er:YAG) laser shockwave-enhanced emission photoacoustic streaming (SWEEPS), CSI, or PUI. A dentinal ring was then obtained from the coronal part of each root, and its lumen was densely filled with NeoMTA2. After 1 week, the PBS was measured using a universal testing machine. Data were analyzed by ANOVA and Tukey and Dunnett tests (alpha = 0.05). Results: The interaction effect of the irrigation technique and medicament type on PBS was significant (p < 0.05). The PBS in all groups was significantly lower than the control group (p < 0.01) except in CH-SWEEPS (p = 0.741). In the experimental groups, the PBS of the SWEEPS subgroup was significantly higher than other subgroups (p < 0.001). The PBS of PUI was higher than CSI in CH and TAP groups (p < 0.001). The PBS of CH was significantly higher than TAP in CSI, and DAP and TAP in PUI and SWEEPS groups (p < 0.05). Conclusion: In this in vitro study, regardless of the irrigation method, higher PBS of NeoMTA2 to root dentin was achieved in CH groups compared to TAP. A higher PBS was also achieved when SWEEPS and PUI methods were used to eliminate CH in comparison to TAP and DAP.

Abstract Image

Abstract Image

Abstract Image

扫描激活冲洗和其他消除管内药物的方法对NeoMTA2与牙根的推出结合强度的影响:一项体外研究
目的:评价激光辅助灌洗、常规注射器灌洗(CSI)和被动超声灌洗(PUI)消除管内药物对NeoMTA2牙本质推出结合强度(PBS)的影响。材料与方法:将150颗提取的单根下颌前磨牙进行根长修饰和标准化。采用根管辅助模拟未成熟根,随机分为三组(n = 45),分别使用三种抗生素糊剂(TAP)、两种抗生素糊剂(DAP)或氢氧化钙(CH)作为管内药物,另设无药物对照组(n = 15)。28 d后,实验组按灌洗方式随机分为3个亚组(n = 15),分别采用掺铒钇铝石榴石(Er:YAG)激光冲击波增强发射光声流(SWEEPS)、CSI或PUI灌洗。然后从每根的冠状部分获得一个牙本质环,其管腔被NeoMTA2密集填充。1周后,使用通用试验机测量PBS。数据分析采用方差分析和Tukey和Dunnett检验(α = 0.05)。结果:灌洗技术与药剂类型对PBS的交互作用显著(p < 0.05)。除ch - sweep组外,各组PBS均显著低于对照组(p < 0.01)。实验组中,sweep亚组PBS显著高于其他亚组(p < 0.001)。CH组和TAP组PUI的PBS高于CSI (p < 0.001)。CH的PBS在CSI组显著高于TAP,在PUI组和sweep组显著高于DAP和TAP (p < 0.05)。结论:在本体外研究中,无论采用何种灌洗方式,CH组的NeoMTA2对牙根本质的PBS均高于TAP。与TAP和DAP相比,使用sweep和PUI方法消除CH时也获得了更高的PBS。
本文章由计算机程序翻译,如有差异,请以英文原文为准。
求助全文
约1分钟内获得全文 求助全文
来源期刊
The Scientific World Journal
The Scientific World Journal 综合性期刊-综合性期刊
CiteScore
5.60
自引率
0.00%
发文量
170
审稿时长
3.7 months
期刊介绍: The Scientific World Journal is a peer-reviewed, Open Access journal that publishes original research, reviews, and clinical studies covering a wide range of subjects in science, technology, and medicine. The journal is divided into 81 subject areas.
×
引用
GB/T 7714-2015
复制
MLA
复制
APA
复制
导出至
BibTeX EndNote RefMan NoteFirst NoteExpress
×
提示
您的信息不完整,为了账户安全,请先补充。
现在去补充
×
提示
您因"违规操作"
具体请查看互助需知
我知道了
×
提示
确定
请完成安全验证×
copy
已复制链接
快去分享给好友吧!
我知道了
右上角分享
点击右上角分享
0
联系我们:info@booksci.cn Book学术提供免费学术资源搜索服务,方便国内外学者检索中英文文献。致力于提供最便捷和优质的服务体验。 Copyright © 2023 布克学术 All rights reserved.
京ICP备2023020795号-1
ghs 京公网安备 11010802042870号
Book学术文献互助
Book学术文献互助群
群 号:604180095
Book学术官方微信