Prognostic Implication of Left Ventricular Global Longitudinal Strain in Patients With Hypertrophic Cardiomyopathy and Coexisting Hypertension.

IF 3.1 3区 医学 Q2 CARDIAC & CARDIOVASCULAR SYSTEMS
Korean Circulation Journal Pub Date : 2025-07-01 Epub Date: 2025-02-04 DOI:10.4070/kcj.2024.0213
Soongu Kwak, Jihoon Kim, Chan-Soon Park, Hyun-Jung Lee, Jun-Bean Park, Seung-Pyo Lee, Yong-Jin Kim, Hyung-Kwan Kim, Sang-Chol Lee, Andrew Wang
{"title":"Prognostic Implication of Left Ventricular Global Longitudinal Strain in Patients With Hypertrophic Cardiomyopathy and Coexisting Hypertension.","authors":"Soongu Kwak, Jihoon Kim, Chan-Soon Park, Hyun-Jung Lee, Jun-Bean Park, Seung-Pyo Lee, Yong-Jin Kim, Hyung-Kwan Kim, Sang-Chol Lee, Andrew Wang","doi":"10.4070/kcj.2024.0213","DOIUrl":null,"url":null,"abstract":"<p><strong>Background and objectives: </strong>The prognostic implication of coexisting hypertension in patients with hypertrophic cardiomyopathy (HCM) is poorly defined. This study aimed to evaluate the association between left ventricular global longitudinal strain (LV-GLS) and adverse cardiovascular (CV) events in patients with HCM and coexisting hypertension.</p><p><strong>Methods: </strong>We analyzed consecutive patients with HCM from 2 tertiary HCM referral centers. The primary outcome was CV events, defined as a composite of CV death, heart failure, and stroke. All LV-GLS measurements were conducted in a core laboratory.</p><p><strong>Results: </strong>Of 1,139 patients with HCM, 522 (45.8%) had hypertension. Patients with hypertension were older, had more CV comorbidities, and showed a lower LV-GLS (13.7% vs. 14.4%, p=0.001). During a median 6.6-year follow-up, 155 CV events occurred, with a significantly higher crude incidence in patients with hypertension than in those without (p=0.005). Lower LV-GLS was independently associated with a higher risk of CV events in patients with hypertension (per 1% decrease in LV-GLS, adjusted hazard ratio [HR], 1.07; 95% confidence interval [CI], 1.01-1.13; p=0.013). When stratified by four groups based on hypertension and LV-GLS, CV events most frequently occurred in patients with both hypertension and a lower LV-GLS (<13.1%), with a significantly higher risk compared to those without hypertension and a higher LV-GLS (≥13.1%) (adjusted HR, 1.60; 95% CI, 1.01-2.54; p=0.044).</p><p><strong>Conclusions: </strong>Patients with HCM and coexisting hypertension were older, had more prevalent CV comorbidities, and exhibited a lower LV-GLS compared to those without hypertension. LV-GLS provides important prognostic information in patients with both HCM and hypertension.</p>","PeriodicalId":17850,"journal":{"name":"Korean Circulation Journal","volume":" ","pages":"584-596"},"PeriodicalIF":3.1000,"publicationDate":"2025-07-01","publicationTypes":"Journal Article","fieldsOfStudy":null,"isOpenAccess":false,"openAccessPdf":"https://www.ncbi.nlm.nih.gov/pmc/articles/PMC12270826/pdf/","citationCount":"0","resultStr":null,"platform":"Semanticscholar","paperid":null,"PeriodicalName":"Korean Circulation Journal","FirstCategoryId":"3","ListUrlMain":"https://doi.org/10.4070/kcj.2024.0213","RegionNum":3,"RegionCategory":"医学","ArticlePicture":[],"TitleCN":null,"AbstractTextCN":null,"PMCID":null,"EPubDate":"2025/2/4 0:00:00","PubModel":"Epub","JCR":"Q2","JCRName":"CARDIAC & CARDIOVASCULAR SYSTEMS","Score":null,"Total":0}
引用次数: 0

Abstract

Background and objectives: The prognostic implication of coexisting hypertension in patients with hypertrophic cardiomyopathy (HCM) is poorly defined. This study aimed to evaluate the association between left ventricular global longitudinal strain (LV-GLS) and adverse cardiovascular (CV) events in patients with HCM and coexisting hypertension.

Methods: We analyzed consecutive patients with HCM from 2 tertiary HCM referral centers. The primary outcome was CV events, defined as a composite of CV death, heart failure, and stroke. All LV-GLS measurements were conducted in a core laboratory.

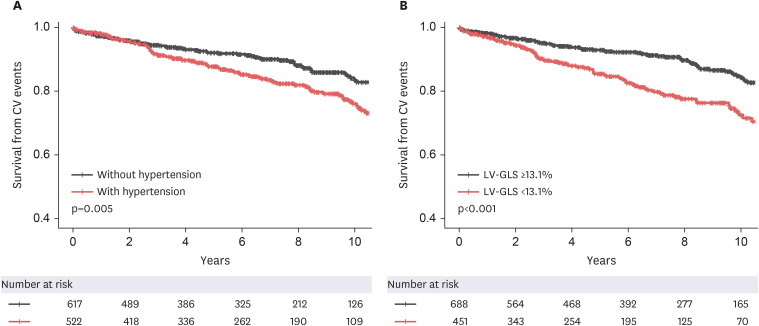
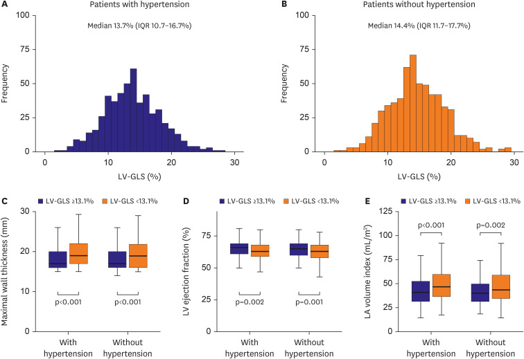
Results: Of 1,139 patients with HCM, 522 (45.8%) had hypertension. Patients with hypertension were older, had more CV comorbidities, and showed a lower LV-GLS (13.7% vs. 14.4%, p=0.001). During a median 6.6-year follow-up, 155 CV events occurred, with a significantly higher crude incidence in patients with hypertension than in those without (p=0.005). Lower LV-GLS was independently associated with a higher risk of CV events in patients with hypertension (per 1% decrease in LV-GLS, adjusted hazard ratio [HR], 1.07; 95% confidence interval [CI], 1.01-1.13; p=0.013). When stratified by four groups based on hypertension and LV-GLS, CV events most frequently occurred in patients with both hypertension and a lower LV-GLS (<13.1%), with a significantly higher risk compared to those without hypertension and a higher LV-GLS (≥13.1%) (adjusted HR, 1.60; 95% CI, 1.01-2.54; p=0.044).

Conclusions: Patients with HCM and coexisting hypertension were older, had more prevalent CV comorbidities, and exhibited a lower LV-GLS compared to those without hypertension. LV-GLS provides important prognostic information in patients with both HCM and hypertension.

Abstract Image

Abstract Image

Abstract Image

肥厚性心肌病合并高血压患者左心室整体纵应变的预后意义。
背景和目的:肥厚性心肌病(HCM)患者并发高血压对预后的影响尚不明确。本研究旨在评估HCM合并高血压患者左心室整体纵向应变(LV-GLS)与不良心血管事件(CV)的关系。方法:我们分析了来自2个三级HCM转诊中心的连续HCM患者。主要终点是心血管事件,定义为心血管死亡、心力衰竭和中风的复合。所有LV-GLS测量都在核心实验室进行。结果:1139例HCM患者中,522例(45.8%)合并高血压。高血压患者年龄较大,CV合并症较多,LV-GLS较低(13.7%比14.4%,p=0.001)。在中位6.6年的随访期间,共发生155例CV事件,其中高血压患者的粗发生率显著高于无高血压患者(p=0.005)。较低的LV-GLS与高血压患者较高的CV事件风险独立相关(LV-GLS每降低1%,校正危险比[HR], 1.07;95%置信区间[CI], 1.01-1.13;p = 0.013)。当根据高血压和LV-GLS分为四组时,CV事件最常发生在高血压和较低LV-GLS的患者中(结论:与无高血压的患者相比,HCM合并高血压的患者年龄更大,CV合并症更普遍,LV-GLS更低。LV-GLS为HCM和高血压患者提供了重要的预后信息。
本文章由计算机程序翻译,如有差异,请以英文原文为准。
求助全文
约1分钟内获得全文 求助全文
来源期刊
Korean Circulation Journal
Korean Circulation Journal CARDIAC & CARDIOVASCULAR SYSTEMS-
CiteScore
4.90
自引率
17.20%
发文量
103
期刊介绍: Korean Circulation Journal is the official journal of the Korean Society of Cardiology, the Korean Pediatric Heart Society, the Korean Society of Interventional Cardiology, and the Korean Society of Heart Failure. Abbreviated title is ''Korean Circ J''. Korean Circulation Journal, established in 1971, is a professional, peer-reviewed journal covering all aspects of cardiovascular medicine, including original articles of basic research and clinical findings, review articles, editorials, images in cardiovascular medicine, and letters to the editor. Korean Circulation Journal is published monthly in English and publishes scientific and state-of-the-art clinical articles aimed at improving human health in general and contributing to the treatment and prevention of cardiovascular diseases in particular. The journal is published on the official website (https://e-kcj.org). It is indexed in PubMed, PubMed Central, Science Citation Index Expanded (SCIE, Web of Science), Scopus, EMBASE, Chemical Abstracts Service (CAS), Google Scholar, KoreaMed, KoreaMed Synapse and KoMCI, and easily available to wide international researchers
×
引用
GB/T 7714-2015
复制
MLA
复制
APA
复制
导出至
BibTeX EndNote RefMan NoteFirst NoteExpress
×
提示
您的信息不完整,为了账户安全,请先补充。
现在去补充
×
提示
您因"违规操作"
具体请查看互助需知
我知道了
×
提示
确定
请完成安全验证×
copy
已复制链接
快去分享给好友吧!
我知道了
右上角分享
点击右上角分享
0
联系我们:info@booksci.cn Book学术提供免费学术资源搜索服务,方便国内外学者检索中英文文献。致力于提供最便捷和优质的服务体验。 Copyright © 2023 布克学术 All rights reserved.
京ICP备2023020795号-1
ghs 京公网安备 11010802042870号
Book学术文献互助
Book学术文献互助群
群 号:604180095
Book学术官方微信