Evaluation of thyroid ultrasound reports' quality in the Community of Madrid, Spain.

IF 4.3 2区 医学 Q2 ENDOCRINOLOGY & METABOLISM
European Thyroid Journal Pub Date : 2025-02-17 Print Date: 2025-02-01 DOI:10.1530/ETJ-24-0390
Pablo Valderrabano, Jhonatan Boris Quiñones Silva, Sandra Campos Mena, Cristina Familiar Casado, María Paz de Miguel Novoa, María Concepción Sanabria Pérez, Elisa Fernández Fernández, Aurelio López Guerra, Marcel Sambo, Patricia Martín Rojas-Marcos, Paola Parra Ramírez, Clara Tasende Fernández, María Jesús Rodríguez Troyano, Victoria Alcázar Lázaro, Marcos Lahera Vargas, Nuria Palacios García
{"title":"Evaluation of thyroid ultrasound reports' quality in the Community of Madrid, Spain.","authors":"Pablo Valderrabano, Jhonatan Boris Quiñones Silva, Sandra Campos Mena, Cristina Familiar Casado, María Paz de Miguel Novoa, María Concepción Sanabria Pérez, Elisa Fernández Fernández, Aurelio López Guerra, Marcel Sambo, Patricia Martín Rojas-Marcos, Paola Parra Ramírez, Clara Tasende Fernández, María Jesús Rodríguez Troyano, Victoria Alcázar Lázaro, Marcos Lahera Vargas, Nuria Palacios García","doi":"10.1530/ETJ-24-0390","DOIUrl":null,"url":null,"abstract":"<p><strong>Objective: </strong>To evaluate the current quality of thyroid ultrasound reports in the Community of Madrid.</p><p><strong>Methods: </strong>Consecutive thyroid ultrasound reports from patients evaluated in the endocrine outpatient clinics of eight academic hospitals in the Community of Madrid were assessed for quality during 2021 and 2022. Descriptions of eight different features were evaluated: number and axes of dimensions, composition, echogenicity, margins, shape, calcifications and category of suspicion. Features were considered adequately reported if described for all nodules ≥1 cm. The number of correctly reported features was compared by year of data capture (2021 vs 2022), specialty of the informant (radiologist vs endocrinologist), and origin of the report (in-house vs outsourced center). The quality of reports for assessing the need for cytological evaluation and/or growth during follow-up was evaluated.</p><p><strong>Results: </strong>A total of 1234 reports were included, 63% from 2021; 82% were issued by radiologists and 89% were issued in-house. Composition and echogenicity were the most frequently reported (79% and 72%, respectively). The rest of the features were appropriately described in less than half of the reports. Forty percent of the reports were good to select nodules for biopsy, 23% had sufficient data to assess growth during follow-up, and only 13% met both quality criteria. The overall quality of reports was worse in outsourced centers (median number of described features 2 vs 4, P < 0.001) and better when issued by endocrinologists (median number of described features 6 vs 3, P < 0.001).</p><p><strong>Conclusions: </strong>Most thyroid ultrasound reports issued in the Community of Madrid provide insufficient data to make management decisions regarding thyroid nodules.</p>","PeriodicalId":12159,"journal":{"name":"European Thyroid Journal","volume":"14 1","pages":""},"PeriodicalIF":4.3000,"publicationDate":"2025-02-17","publicationTypes":"Journal Article","fieldsOfStudy":null,"isOpenAccess":false,"openAccessPdf":"https://www.ncbi.nlm.nih.gov/pmc/articles/PMC11850041/pdf/","citationCount":"0","resultStr":null,"platform":"Semanticscholar","paperid":null,"PeriodicalName":"European Thyroid Journal","FirstCategoryId":"3","ListUrlMain":"https://doi.org/10.1530/ETJ-24-0390","RegionNum":2,"RegionCategory":"医学","ArticlePicture":[],"TitleCN":null,"AbstractTextCN":null,"PMCID":null,"EPubDate":"2025/2/1 0:00:00","PubModel":"Print","JCR":"Q2","JCRName":"ENDOCRINOLOGY & METABOLISM","Score":null,"Total":0}
引用次数: 0

Abstract

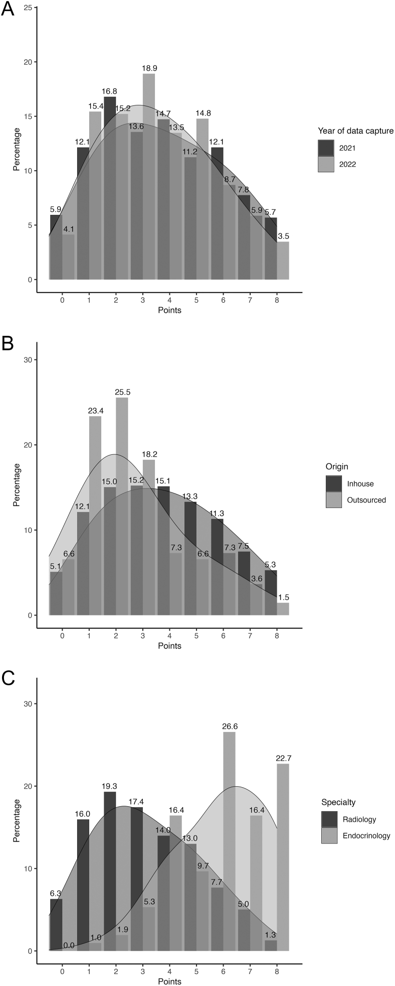
Objective: To evaluate the current quality of thyroid ultrasound reports in the Community of Madrid.

Methods: Consecutive thyroid ultrasound reports from patients evaluated in the endocrine outpatient clinics of eight academic hospitals in the Community of Madrid were assessed for quality during 2021 and 2022. Descriptions of eight different features were evaluated: number and axes of dimensions, composition, echogenicity, margins, shape, calcifications and category of suspicion. Features were considered adequately reported if described for all nodules ≥1 cm. The number of correctly reported features was compared by year of data capture (2021 vs 2022), specialty of the informant (radiologist vs endocrinologist), and origin of the report (in-house vs outsourced center). The quality of reports for assessing the need for cytological evaluation and/or growth during follow-up was evaluated.

Results: A total of 1234 reports were included, 63% from 2021; 82% were issued by radiologists and 89% were issued in-house. Composition and echogenicity were the most frequently reported (79% and 72%, respectively). The rest of the features were appropriately described in less than half of the reports. Forty percent of the reports were good to select nodules for biopsy, 23% had sufficient data to assess growth during follow-up, and only 13% met both quality criteria. The overall quality of reports was worse in outsourced centers (median number of described features 2 vs 4, P < 0.001) and better when issued by endocrinologists (median number of described features 6 vs 3, P < 0.001).

Conclusions: Most thyroid ultrasound reports issued in the Community of Madrid provide insufficient data to make management decisions regarding thyroid nodules.

Abstract Image

Abstract Image

Abstract Image

西班牙马德里社区甲状腺超声报告质量评价。
目的:评价目前马德里社区甲状腺超声报告的质量。方法:对2021年和2022年马德里社区8家学术医院内分泌门诊评估患者的连续甲状腺超声报告进行质量评估。评估了八个不同特征的描述:尺寸的数量和轴,组成,回声性,边缘,形状,钙化和怀疑的类别。所有≥1cm的结节均被认为有充分的特征报告。正确报告的特征数量按数据捕获年份(2021年与2022年)、信息提供者的专业(放射科医生与内分泌科医生)和报告来源(内部与外包中心)进行比较。评估随访期间评估细胞学评估和/或生长需求报告的质量。结果:共纳入1234份报告,其中63%来自2021年;82%由放射科医师签发,89%由内部签发。组成和回声性是最常报道的(分别为79%和72%)。其余的特性在不到一半的报告中得到了适当的描述。40%的报告能够很好地选择结节进行活检,23%的报告有足够的数据来评估随访期间的生长情况,只有13%的报告同时满足两个质量标准。外包中心报告的总体质量较差(描述特征的中位数为2比4,P < 0.001),而由内分泌学家发表的报告质量较好(描述特征的中位数为6比3,P < 0.001)。结论:马德里社区发布的大多数甲状腺超声报告提供的数据不足,无法做出甲状腺结节的管理决策。
本文章由计算机程序翻译,如有差异,请以英文原文为准。
求助全文
约1分钟内获得全文 求助全文
来源期刊
European Thyroid Journal
European Thyroid Journal Medicine-Endocrinology, Diabetes and Metabolism
CiteScore
6.70
自引率
2.10%
发文量
156
期刊介绍: The ''European Thyroid Journal'' publishes papers reporting original research in basic, translational and clinical thyroidology. Original contributions cover all aspects of the field, from molecular and cellular biology to immunology and biochemistry, from physiology to pathology, and from pediatric to adult thyroid diseases with a special focus on thyroid cancer. Readers also benefit from reviews by noted experts, which highlight especially active areas of current research. The journal will further publish formal guidelines in the field, produced and endorsed by the European Thyroid Association.
×
引用
GB/T 7714-2015
复制
MLA
复制
APA
复制
导出至
BibTeX EndNote RefMan NoteFirst NoteExpress
×
提示
您的信息不完整,为了账户安全,请先补充。
现在去补充
×
提示
您因"违规操作"
具体请查看互助需知
我知道了
×
提示
确定
请完成安全验证×
copy
已复制链接
快去分享给好友吧!
我知道了
右上角分享
点击右上角分享
0
联系我们:info@booksci.cn Book学术提供免费学术资源搜索服务,方便国内外学者检索中英文文献。致力于提供最便捷和优质的服务体验。 Copyright © 2023 布克学术 All rights reserved.
京ICP备2023020795号-1
ghs 京公网安备 11010802042870号
Book学术文献互助
Book学术文献互助群
群 号:604180095
Book学术官方微信