Metabolic depression and non-specific immune response during hibernation of common Asian toad, Duttaphrynus melanostictus.

IF 1.7 4区 生物学 Q3 BIOLOGY
Biology Open Pub Date : 2025-07-15 Epub Date: 2025-07-07 DOI:10.1242/bio.061789
Debadas Sahoo, Sibakalyani Acharya
{"title":"Metabolic depression and non-specific immune response during hibernation of common Asian toad, Duttaphrynus melanostictus.","authors":"Debadas Sahoo, Sibakalyani Acharya","doi":"10.1242/bio.061789","DOIUrl":null,"url":null,"abstract":"<p><p>To assess metabolic depression and non-specific immune response during hibernation in male common Asian toads, Duttaphrynus melanostictus, we measured activities of different enzymes of both aerobic (oxygen-dependent) and anaerobic (oxygen-independent) metabolic pathways in liver tissue and some non-specific immune responses in blood and liver tissue by obtaining hibernating toads directly from their hibernaculum in nature. Though decreased activities of enzymes and suppressions of non-specific immune responses were hypothesised, some contrasting results were found. Activities of citrate synthase (CS) and isocitrate dehydrogenase (ICDH) enzymes of aerobic metabolic pathways showed a significant decrease in their activities during hibernation up to 29% and 61% respectively of their active period value. Contrary to our hypothesis enzymes of oxygen-independent metabolic pathways i.e. pyruvate kinase (PK) and lactate dehydrogenase (LDH) showed no significant changes in their activities during hibernation compared to the active period. This shows aerobic metabolic depression during normoxic hibernation in common Asian toads and maintenance of vital activities at a minimum level with use of energy (ATP) generated from the oxygen-independent metabolic pathway. Likewise, the non-specific immune response comprising total leucocyte count, individual leucocytes like neutrophil, eosinophil, basophil, lymphocyte and monocytes showed a significant decrease in their count during hibernation along with a reduction in complement proteins indicated by serum bacteria-killing ability, compared to active period. In contrast, the levels of reactive oxygen species (ROS) in liver tissue resulting in oxidative stress in terms of TBARS formed and GSSG/GSH ratio were significantly higher during hibernation, suggesting some components of non-specific immunity remain elevated. We conclude that, though there is suppression of non-specific immune response during hibernation to a maximum extent to conserve energy, some components of it in terms of oxidative stress are still in an active state to provide the signal to adaptive immunity for a quick response that is expected during post hibernation phase. Further, it indicates that non-specific immune response during hibernation is variable and tissue-specific.</p>","PeriodicalId":9216,"journal":{"name":"Biology Open","volume":" ","pages":""},"PeriodicalIF":1.7000,"publicationDate":"2025-07-15","publicationTypes":"Journal Article","fieldsOfStudy":null,"isOpenAccess":false,"openAccessPdf":"https://www.ncbi.nlm.nih.gov/pmc/articles/PMC12309895/pdf/","citationCount":"0","resultStr":null,"platform":"Semanticscholar","paperid":null,"PeriodicalName":"Biology Open","FirstCategoryId":"99","ListUrlMain":"https://doi.org/10.1242/bio.061789","RegionNum":4,"RegionCategory":"生物学","ArticlePicture":[],"TitleCN":null,"AbstractTextCN":null,"PMCID":null,"EPubDate":"2025/7/7 0:00:00","PubModel":"Epub","JCR":"Q3","JCRName":"BIOLOGY","Score":null,"Total":0}
引用次数: 0

Abstract

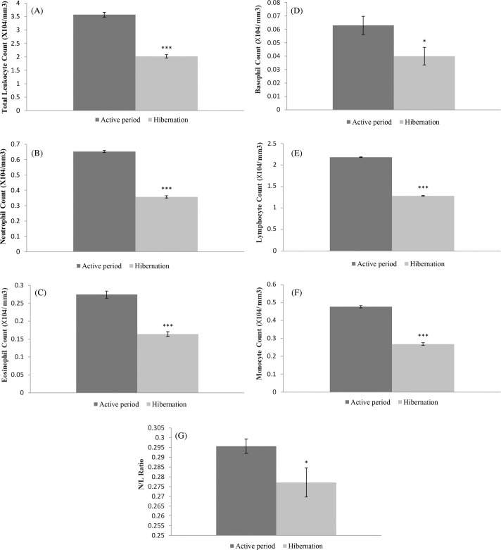
To assess metabolic depression and non-specific immune response during hibernation in male common Asian toads, Duttaphrynus melanostictus, we measured activities of different enzymes of both aerobic (oxygen-dependent) and anaerobic (oxygen-independent) metabolic pathways in liver tissue and some non-specific immune responses in blood and liver tissue by obtaining hibernating toads directly from their hibernaculum in nature. Though decreased activities of enzymes and suppressions of non-specific immune responses were hypothesised, some contrasting results were found. Activities of citrate synthase (CS) and isocitrate dehydrogenase (ICDH) enzymes of aerobic metabolic pathways showed a significant decrease in their activities during hibernation up to 29% and 61% respectively of their active period value. Contrary to our hypothesis enzymes of oxygen-independent metabolic pathways i.e. pyruvate kinase (PK) and lactate dehydrogenase (LDH) showed no significant changes in their activities during hibernation compared to the active period. This shows aerobic metabolic depression during normoxic hibernation in common Asian toads and maintenance of vital activities at a minimum level with use of energy (ATP) generated from the oxygen-independent metabolic pathway. Likewise, the non-specific immune response comprising total leucocyte count, individual leucocytes like neutrophil, eosinophil, basophil, lymphocyte and monocytes showed a significant decrease in their count during hibernation along with a reduction in complement proteins indicated by serum bacteria-killing ability, compared to active period. In contrast, the levels of reactive oxygen species (ROS) in liver tissue resulting in oxidative stress in terms of TBARS formed and GSSG/GSH ratio were significantly higher during hibernation, suggesting some components of non-specific immunity remain elevated. We conclude that, though there is suppression of non-specific immune response during hibernation to a maximum extent to conserve energy, some components of it in terms of oxidative stress are still in an active state to provide the signal to adaptive immunity for a quick response that is expected during post hibernation phase. Further, it indicates that non-specific immune response during hibernation is variable and tissue-specific.

Abstract Image

Abstract Image

Abstract Image

亚洲蟾蜍冬眠期间的代谢抑制和非特异性免疫反应。
为了评估亚洲蟾蜍(Duttaphrynus melanotictus)在冬眠期间的代谢抑制和非特异性免疫反应,我们通过直接从冬眠地获取冬眠蟾蜍,测量肝脏组织中有氧(依赖氧)和厌氧(不依赖氧)代谢途径的不同酶的活性,以及血液和肝脏组织中的一些非特异性免疫反应。虽然假设酶活性降低和非特异性免疫反应抑制,但发现了一些相反的结果。冬眠期间,有氧代谢途径的柠檬酸合成酶(CS)和异柠檬酸脱氢酶(ICDH)活性显著下降,分别下降了活性期值的29%和61%。与我们的假设相反,氧不依赖代谢途径的酶,即丙酮酸激酶(PK)和乳酸脱氢酶(LDH)在冬眠期间的活性与活动期相比没有显著变化。这表明普通亚洲蟾蜍在正常环境下冬眠时有氧代谢抑制,并通过利用由不依赖氧的代谢途径产生的能量(ATP)将重要活动维持在最低水平。同样,非特异性免疫反应包括总白细胞计数、单个白细胞如中性粒细胞、嗜酸性粒细胞、嗜碱性粒细胞、淋巴细胞和单核细胞在冬眠期间的计数显著减少,同时补体蛋白的减少表明血清杀菌能力,与活动期相比。相比之下,在冬眠期间,肝脏组织中活性氧(ROS)水平导致氧化应激的TBARS形成和GSSG/GSH比值显著升高,表明非特异性免疫的某些成分仍然升高。因此,我们得出结论,尽管冬眠期间非特异性免疫反应受到最大程度的抑制以保存能量,但其氧化应激方面的一些成分仍处于活跃状态,为适应性免疫提供信号,以便在冬眠后阶段进行预期的快速反应。此外,这表明冬眠期间的非特异性免疫反应是可变的和组织特异性的。
本文章由计算机程序翻译,如有差异,请以英文原文为准。
求助全文
约1分钟内获得全文 求助全文
来源期刊
Biology Open
Biology Open BIOLOGY-
CiteScore
3.90
自引率
0.00%
发文量
162
审稿时长
8 weeks
期刊介绍: Biology Open (BiO) is an online Open Access journal that publishes peer-reviewed original research across all aspects of the biological sciences. BiO aims to provide rapid publication for scientifically sound observations and valid conclusions, without a requirement for perceived impact.
×
引用
GB/T 7714-2015
复制
MLA
复制
APA
复制
导出至
BibTeX EndNote RefMan NoteFirst NoteExpress
×
提示
您的信息不完整,为了账户安全,请先补充。
现在去补充
×
提示
您因"违规操作"
具体请查看互助需知
我知道了
×
提示
确定
请完成安全验证×
copy
已复制链接
快去分享给好友吧!
我知道了
右上角分享
点击右上角分享
0
联系我们:info@booksci.cn Book学术提供免费学术资源搜索服务,方便国内外学者检索中英文文献。致力于提供最便捷和优质的服务体验。 Copyright © 2023 布克学术 All rights reserved.
京ICP备2023020795号-1
ghs 京公网安备 11010802042870号
Book学术文献互助
Book学术文献互助群
群 号:604180095
Book学术官方微信