Individual differences in treatment effects of internet-based cognitive behavioral therapy in primary care: a moderation analysis of a randomized clinical trial.

IF 3.2 2区 医学 Q1 SUBSTANCE ABUSE
Karin Hyland, Danilo Romero, Sven Andreasson, Anders Hammarberg, Erik Hedman-Lagerlöf, Magnus Johansson
{"title":"Individual differences in treatment effects of internet-based cognitive behavioral therapy in primary care: a moderation analysis of a randomized clinical trial.","authors":"Karin Hyland, Danilo Romero, Sven Andreasson, Anders Hammarberg, Erik Hedman-Lagerlöf, Magnus Johansson","doi":"10.1186/s13722-025-00546-1","DOIUrl":null,"url":null,"abstract":"<p><strong>Background and aims: </strong>Little is known regarding predictors of outcome in treatment of alcohol dependence via the internet and in primary care. The aim of the present study was to investigate the role of socio-demographic and clinical factors for outcomes in internet-based cognitive behavioral treatment (ICBT) added to treatment as usual (TAU) for alcohol dependence in primary care.</p><p><strong>Design: </strong>Secondary analyses based on data from a randomized controlled trial in which participants were randomized to ICBT + TAU or to TAU only.</p><p><strong>Setting: </strong>The study was conducted in collaboration with 14 primary care centers in Stockholm, Sweden.</p><p><strong>Participants: </strong>The randomized trial included 264 adult primary care patients with alcohol dependence enrolled between September 2017 and November 2019.</p><p><strong>Interventions: </strong>Patients in the parent trial were randomized to ICBT that was added to TAU (n = 132) or to TAU only (n = 132). ICBT was a 12-week intervention based on motivational interviewing, relapse prevention and behavioral self-control training.</p><p><strong>Measures: </strong>Primary outcome was number of standard drinks last 30 days. Sociodemographic and clinical predictors were tested in separate models using linear mixed effects models.</p><p><strong>Findings: </strong>Severity of dependence, assessed by ICD-10 criteria for alcohol dependence, was the only predictor for changes in alcohol consumption and the only moderator of the effect of treatment. Participants with severe dependence showed a larger reduction in alcohol consumption between baseline and 3-months follow-up compared to participants with moderate dependence. The patients with moderate dependence continued to reduce their alcohol consumption between 3- and 12-months follow-up, while patients with severe dependence did not.</p><p><strong>Conclusions: </strong>Dependence severity predicted changes in alcohol consumption following treatment of alcohol dependence in primary care, with or without added ICBT. Dependence severity was also found to moderate the effect of treatment. The results suggest that treatment for both moderate and severe alcohol dependence is viable in primary care.</p><p><strong>Clinical trial registration: </strong>The study was approved by the Regional Ethics Board in Stockholm, no. 2016/1367-31/2. The study protocol was published in Trials 30 December 2019. The trial identifier is ISRCTN69957414, available at http://www.isrctn.com , assigned 7 June 2018, retrospectively registered.</p>","PeriodicalId":54223,"journal":{"name":"Addiction Science & Clinical Practice","volume":"20 1","pages":"17"},"PeriodicalIF":3.2000,"publicationDate":"2025-02-14","publicationTypes":"Journal Article","fieldsOfStudy":null,"isOpenAccess":false,"openAccessPdf":"https://www.ncbi.nlm.nih.gov/pmc/articles/PMC11827356/pdf/","citationCount":"0","resultStr":null,"platform":"Semanticscholar","paperid":null,"PeriodicalName":"Addiction Science & Clinical Practice","FirstCategoryId":"3","ListUrlMain":"https://doi.org/10.1186/s13722-025-00546-1","RegionNum":2,"RegionCategory":"医学","ArticlePicture":[],"TitleCN":null,"AbstractTextCN":null,"PMCID":null,"EPubDate":"","PubModel":"","JCR":"Q1","JCRName":"SUBSTANCE ABUSE","Score":null,"Total":0}
引用次数: 0

Abstract

Background and aims: Little is known regarding predictors of outcome in treatment of alcohol dependence via the internet and in primary care. The aim of the present study was to investigate the role of socio-demographic and clinical factors for outcomes in internet-based cognitive behavioral treatment (ICBT) added to treatment as usual (TAU) for alcohol dependence in primary care.

Design: Secondary analyses based on data from a randomized controlled trial in which participants were randomized to ICBT + TAU or to TAU only.

Setting: The study was conducted in collaboration with 14 primary care centers in Stockholm, Sweden.

Participants: The randomized trial included 264 adult primary care patients with alcohol dependence enrolled between September 2017 and November 2019.

Interventions: Patients in the parent trial were randomized to ICBT that was added to TAU (n = 132) or to TAU only (n = 132). ICBT was a 12-week intervention based on motivational interviewing, relapse prevention and behavioral self-control training.

Measures: Primary outcome was number of standard drinks last 30 days. Sociodemographic and clinical predictors were tested in separate models using linear mixed effects models.

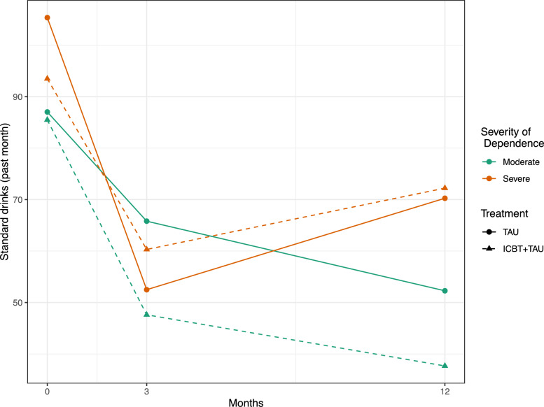
Findings: Severity of dependence, assessed by ICD-10 criteria for alcohol dependence, was the only predictor for changes in alcohol consumption and the only moderator of the effect of treatment. Participants with severe dependence showed a larger reduction in alcohol consumption between baseline and 3-months follow-up compared to participants with moderate dependence. The patients with moderate dependence continued to reduce their alcohol consumption between 3- and 12-months follow-up, while patients with severe dependence did not.

Conclusions: Dependence severity predicted changes in alcohol consumption following treatment of alcohol dependence in primary care, with or without added ICBT. Dependence severity was also found to moderate the effect of treatment. The results suggest that treatment for both moderate and severe alcohol dependence is viable in primary care.

Clinical trial registration: The study was approved by the Regional Ethics Board in Stockholm, no. 2016/1367-31/2. The study protocol was published in Trials 30 December 2019. The trial identifier is ISRCTN69957414, available at http://www.isrctn.com , assigned 7 June 2018, retrospectively registered.

Abstract Image

基于网络的认知行为疗法在初级保健治疗效果的个体差异:一项随机临床试验的适度分析。
背景和目的:关于通过互联网和初级保健治疗酒精依赖的结果预测因素,人们知之甚少。本研究旨在调查社会人口学和临床因素对初级保健中酒精依赖症的互联网认知行为治疗(ICBT)和常规治疗(TAU)的疗效的影响:设计:根据随机对照试验的数据进行二次分析,在该试验中,参与者被随机分配接受 ICBT + TAU 或仅接受 TAU:研究与瑞典斯德哥尔摩的14个初级保健中心合作进行:随机试验包括2017年9月至2019年11月期间入组的264名成年酒精依赖初级保健患者:母体试验中的患者被随机分配到在TAU基础上添加ICBT(n = 132)或仅TAU(n = 132)。ICBT是一项为期12周的干预措施,以动机访谈、复发预防和行为自控训练为基础:主要结果为过去 30 天内标准饮酒次数。采用线性混合效应模型对社会人口学和临床预测因素进行了单独测试:根据ICD-10酒精依赖标准评估的酒精依赖严重程度是酒精消耗量变化的唯一预测因素,也是治疗效果的唯一调节因素。与中度依赖患者相比,重度依赖患者从基线到3个月随访期间的饮酒量下降幅度更大。中度依赖患者在3个月至12个月的随访期间继续减少饮酒量,而重度依赖患者则没有:结论:无论是否添加 ICBT,依赖严重程度都能预测初级保健中酒精依赖治疗后酒精消耗量的变化。研究还发现,依赖严重程度也会影响治疗效果。研究结果表明,在初级保健中治疗中度和重度酒精依赖都是可行的:该研究获得了斯德哥尔摩地区伦理委员会的批准,批准号为2016/1367-31/2。研究方案于2019年12月30日发表在《试验》上。试验标识符为ISRCTN69957414,可在http://www.isrctn.com ,分配日期为2018年6月7日,回顾性注册。
本文章由计算机程序翻译,如有差异,请以英文原文为准。
求助全文
约1分钟内获得全文 求助全文
来源期刊
Addiction Science & Clinical Practice
Addiction Science & Clinical Practice Psychology-Clinical Psychology
CiteScore
3.90
自引率
10.80%
发文量
64
审稿时长
28 weeks
期刊介绍: Addiction Science & Clinical Practice provides a forum for clinically relevant research and perspectives that contribute to improving the quality of care for people with unhealthy alcohol, tobacco, or other drug use and addictive behaviours across a spectrum of clinical settings. Addiction Science & Clinical Practice accepts articles of clinical relevance related to the prevention and treatment of unhealthy alcohol, tobacco, and other drug use across the spectrum of clinical settings. Topics of interest address issues related to the following: the spectrum of unhealthy use of alcohol, tobacco, and other drugs among the range of affected persons (e.g., not limited by age, race/ethnicity, gender, or sexual orientation); the array of clinical prevention and treatment practices (from health messages, to identification and early intervention, to more extensive interventions including counseling and pharmacotherapy and other management strategies); and identification and management of medical, psychiatric, social, and other health consequences of substance use. Addiction Science & Clinical Practice is particularly interested in articles that address how to improve the quality of care for people with unhealthy substance use and related conditions as described in the (US) Institute of Medicine report, Improving the Quality of Healthcare for Mental Health and Substance Use Conditions (Washington, DC: National Academies Press, 2006). Such articles address the quality of care and of health services. Although the journal also welcomes submissions that address these conditions in addiction speciality-treatment settings, the journal is particularly interested in including articles that address unhealthy use outside these settings, including experience with novel models of care and outcomes, and outcomes of research-practice collaborations. Although Addiction Science & Clinical Practice is generally not an outlet for basic science research, we will accept basic science research manuscripts that have clearly described potential clinical relevance and are accessible to audiences outside a narrow laboratory research field.
×
引用
GB/T 7714-2015
复制
MLA
复制
APA
复制
导出至
BibTeX EndNote RefMan NoteFirst NoteExpress
×
提示
您的信息不完整,为了账户安全,请先补充。
现在去补充
×
提示
您因"违规操作"
具体请查看互助需知
我知道了
×
提示
确定
请完成安全验证×
copy
已复制链接
快去分享给好友吧!
我知道了
右上角分享
点击右上角分享
0
联系我们:info@booksci.cn Book学术提供免费学术资源搜索服务,方便国内外学者检索中英文文献。致力于提供最便捷和优质的服务体验。 Copyright © 2023 布克学术 All rights reserved.
京ICP备2023020795号-1
ghs 京公网安备 11010802042870号
Book学术文献互助
Book学术文献互助群
群 号:604180095
Book学术官方微信