Single acupressure on ST36 does not modulate skin blood flow and sympathetic nerve activity during and after cold stimulation of the hand.

IF 3.2 4区 医学 Q2 PHYSIOLOGY
Journal of Physiological Sciences Pub Date : 2025-03-01 Epub Date: 2025-02-08 DOI:10.1016/j.jphyss.2025.100011
Hironori Watanabe, Mitsuko Hanaoka, Taisuke Sugi, Yuta Masuda, Kei Nagashima
{"title":"Single acupressure on ST36 does not modulate skin blood flow and sympathetic nerve activity during and after cold stimulation of the hand.","authors":"Hironori Watanabe, Mitsuko Hanaoka, Taisuke Sugi, Yuta Masuda, Kei Nagashima","doi":"10.1016/j.jphyss.2025.100011","DOIUrl":null,"url":null,"abstract":"<p><p>Acupressure on ST36 (Zusanli), located on the lower leg, commonly used to optimize autonomic nerve activity and systemic blood flow in traditional Chinese medicine. However, its efficacy remains controversial. This study hypothesized that a single acupressure on ST36 attenuates sympathetic nerve activity and mitigate skin vasoconstriction in response to cold stimulation. Twelve participants received either 5-min acupressure or sham pressure in the right ST36; subsequently, their left hand was immersed in cold water (10°C) for 10 min. Heart rate (HR), arterial pressure, skin temperature, and blood flow in both fingers were monitored. Autonomic nerve activity was assessed by HR variability. Water immersion decreased skin temperature and blood flow in both fingers with an increase in arterial pressure. However, there were no differences in these values or HR variability between the acupressure and sham trials. Acupressure on ST36 affected neither sympathetic nerve activity nor skin vasoconstrictive response during cold-water immersion.</p>","PeriodicalId":16832,"journal":{"name":"Journal of Physiological Sciences","volume":"75 1","pages":"100011"},"PeriodicalIF":3.2000,"publicationDate":"2025-03-01","publicationTypes":"Journal Article","fieldsOfStudy":null,"isOpenAccess":false,"openAccessPdf":"https://www.ncbi.nlm.nih.gov/pmc/articles/PMC11875143/pdf/","citationCount":"0","resultStr":null,"platform":"Semanticscholar","paperid":null,"PeriodicalName":"Journal of Physiological Sciences","FirstCategoryId":"3","ListUrlMain":"https://doi.org/10.1016/j.jphyss.2025.100011","RegionNum":4,"RegionCategory":"医学","ArticlePicture":[],"TitleCN":null,"AbstractTextCN":null,"PMCID":null,"EPubDate":"2025/2/8 0:00:00","PubModel":"Epub","JCR":"Q2","JCRName":"PHYSIOLOGY","Score":null,"Total":0}
引用次数: 0

Abstract

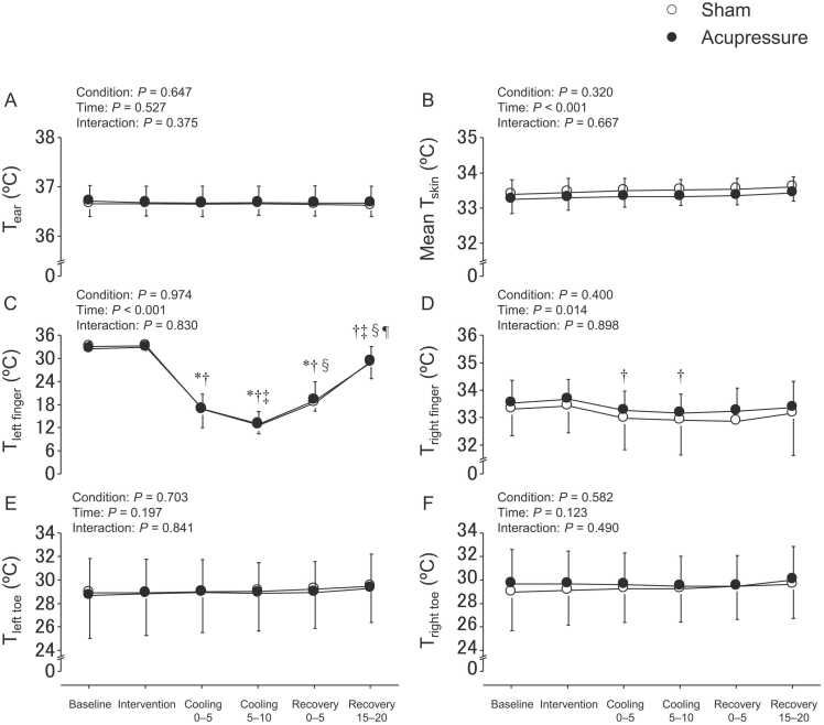
Acupressure on ST36 (Zusanli), located on the lower leg, commonly used to optimize autonomic nerve activity and systemic blood flow in traditional Chinese medicine. However, its efficacy remains controversial. This study hypothesized that a single acupressure on ST36 attenuates sympathetic nerve activity and mitigate skin vasoconstriction in response to cold stimulation. Twelve participants received either 5-min acupressure or sham pressure in the right ST36; subsequently, their left hand was immersed in cold water (10°C) for 10 min. Heart rate (HR), arterial pressure, skin temperature, and blood flow in both fingers were monitored. Autonomic nerve activity was assessed by HR variability. Water immersion decreased skin temperature and blood flow in both fingers with an increase in arterial pressure. However, there were no differences in these values or HR variability between the acupressure and sham trials. Acupressure on ST36 affected neither sympathetic nerve activity nor skin vasoconstrictive response during cold-water immersion.

Abstract Image

Abstract Image

Abstract Image

单次穴位按压ST36不调节手部冷刺激期间和之后的皮肤血流量和交感神经活动。
穴位按压位于小腿的ST36(足三里),中医常用来优化自主神经活动和全身血流量。然而,它的功效仍然存在争议。本研究假设单次穴位按压ST36可减弱交感神经活动,减轻皮肤在冷刺激下的血管收缩。12名参与者在右侧ST36接受5分钟指压或假压;随后,将他们的左手浸入冷水(10°C)中10分钟。监测心率(HR)、动脉压、皮肤温度和两指血流量。自主神经活动通过心率变异性评估。水浸泡降低皮肤温度和血流量的两个手指,动脉压升高。然而,在指压试验和假试验之间,这些值或HR变异性没有差异。冷水浸泡时,穴位按压ST36既不影响交感神经活动,也不影响皮肤血管收缩反应。
本文章由计算机程序翻译,如有差异,请以英文原文为准。
求助全文
约1分钟内获得全文 求助全文
来源期刊
CiteScore
4.40
自引率
4.30%
发文量
27
审稿时长
6-12 weeks
期刊介绍: The Journal of Physiological Sciences publishes peer-reviewed original papers, reviews, short communications, technical notes, and letters to the editor, based on the principles and theories of modern physiology and addressed to the international scientific community. All fields of physiology are covered, encompassing molecular, cellular and systems physiology. The emphasis is on human and vertebrate physiology, but comparative papers are also considered. The process of obtaining results must be ethically sound. Fields covered: Adaptation and environment Autonomic nervous function Biophysics Cell sensors and signaling Central nervous system and brain sciences Endocrinology and metabolism Excitable membranes and neural cell physiology Exercise physiology Gastrointestinal and kidney physiology Heart and circulatory physiology Molecular and cellular physiology Muscle physiology Physiome/systems biology Respiration physiology Senses.
×
引用
GB/T 7714-2015
复制
MLA
复制
APA
复制
导出至
BibTeX EndNote RefMan NoteFirst NoteExpress
×
提示
您的信息不完整,为了账户安全,请先补充。
现在去补充
×
提示
您因"违规操作"
具体请查看互助需知
我知道了
×
提示
确定
请完成安全验证×
copy
已复制链接
快去分享给好友吧!
我知道了
右上角分享
点击右上角分享
0
联系我们:info@booksci.cn Book学术提供免费学术资源搜索服务,方便国内外学者检索中英文文献。致力于提供最便捷和优质的服务体验。 Copyright © 2023 布克学术 All rights reserved.
京ICP备2023020795号-1
ghs 京公网安备 11010802042870号
Book学术文献互助
Book学术文献互助群
群 号:604180095
Book学术官方微信