Effect of combination of remimazolam and sevoflurane on elderly patients' recovery quality from general anesthesia after laparoscopic abdominal surgery: a randomized controlled trial.

IF 2.1 3区 医学 Q2 ANESTHESIOLOGY
Xiawei Lai, Shuxian Liu, Di Wang, Yuqing Chi, Xiaoqun Su, Lideng Guo, Zhijing Zhang, Haihui Xie
{"title":"Effect of combination of remimazolam and sevoflurane on elderly patients' recovery quality from general anesthesia after laparoscopic abdominal surgery: a randomized controlled trial.","authors":"Xiawei Lai, Shuxian Liu, Di Wang, Yuqing Chi, Xiaoqun Su, Lideng Guo, Zhijing Zhang, Haihui Xie","doi":"10.1186/s13741-025-00501-3","DOIUrl":null,"url":null,"abstract":"<p><strong>Purpose: </strong>Remimazolam toluene sulfonic acid is a short-acting benzodiazepine primarily studied for intravenous anesthesia. To date, few studies have focused on the effects of the combination of remimazolam and inhalation anesthesia or its impact on postoperative recovery. Our study aims to investigate the influence of remimazolam combined with sevoflurane for general anesthesia maintenance on postoperative recovery quality in elderly patients undergoing laparoscopic abdominal surgery.</p><p><strong>Methods: </strong>A total of 109 patients, aged 60 to 80 years old, scheduled for laparoscopic gallbladder or hernia surgery were randomly divided into two groups: remimazolam group (Group R) and remimazolam-sevoflurane combination group (Group S). Group R had remimazolam for anesthesia maintenance, while Group S received remimazolam and sevoflurane. Both groups followed the same induction protocol, with bispectral index (BIS) maintained between 40 and 60 during surgery. The primary outcome was assessed with the Quality of Recovery (QoR)-15 score. The secondary outcomes included loss of consciousness (LoC), perioperative hemodynamic variables, extubation time, and the incidence of postoperative adverse events. During the study, 7 patients were lost to follow-up, and finally, 102 patients were included in the statistical analysis. The data will be analyzed in a modified full analysis set.</p><p><strong>Results: </strong>Group S had higher QoR-15 and physical comfort scores on postoperative day (POD) 1 and POD3 compared to Group R (135.0[8.0] vs. 132.0[11.0], P = 0.004; 143.0[6.0] vs. 141.0[7.0], P = 0.007). Despite using less remifentanil (P = 0.021), Group S had a significantly longer extubation time (P = 0.048). There were no significant differences in induction time, perioperative hemodynamic variables, or postoperative adverse events between the groups.</p><p><strong>Conclusion: </strong>Combining remimazolam with sevoflurane improves postoperative recovery quality in elderly patients undergoing laparoscopic abdominal surgery. This approach ensures optimal anesthesia depth and sedation while minimizing adverse events and complications.</p><p><strong>Trial registration: </strong>Chinese Clinical Trial Registry ChiCTR2200065332. Date of registration: 02/11/2022.</p>","PeriodicalId":19764,"journal":{"name":"Perioperative Medicine","volume":"14 1","pages":"20"},"PeriodicalIF":2.1000,"publicationDate":"2025-02-13","publicationTypes":"Journal Article","fieldsOfStudy":null,"isOpenAccess":false,"openAccessPdf":"https://www.ncbi.nlm.nih.gov/pmc/articles/PMC11823161/pdf/","citationCount":"0","resultStr":null,"platform":"Semanticscholar","paperid":null,"PeriodicalName":"Perioperative Medicine","FirstCategoryId":"3","ListUrlMain":"https://doi.org/10.1186/s13741-025-00501-3","RegionNum":3,"RegionCategory":"医学","ArticlePicture":[],"TitleCN":null,"AbstractTextCN":null,"PMCID":null,"EPubDate":"","PubModel":"","JCR":"Q2","JCRName":"ANESTHESIOLOGY","Score":null,"Total":0}
引用次数: 0

Abstract

Purpose: Remimazolam toluene sulfonic acid is a short-acting benzodiazepine primarily studied for intravenous anesthesia. To date, few studies have focused on the effects of the combination of remimazolam and inhalation anesthesia or its impact on postoperative recovery. Our study aims to investigate the influence of remimazolam combined with sevoflurane for general anesthesia maintenance on postoperative recovery quality in elderly patients undergoing laparoscopic abdominal surgery.

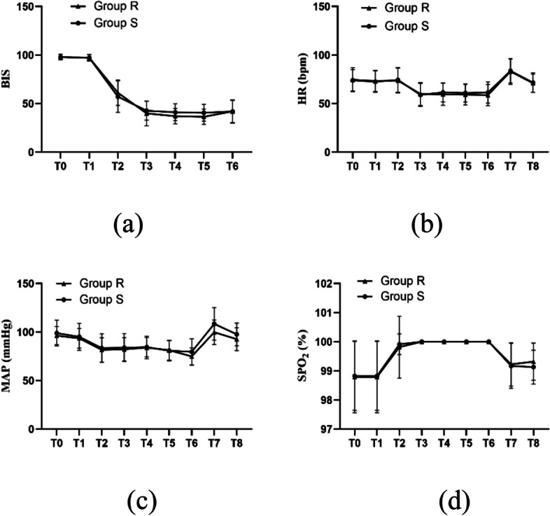
Methods: A total of 109 patients, aged 60 to 80 years old, scheduled for laparoscopic gallbladder or hernia surgery were randomly divided into two groups: remimazolam group (Group R) and remimazolam-sevoflurane combination group (Group S). Group R had remimazolam for anesthesia maintenance, while Group S received remimazolam and sevoflurane. Both groups followed the same induction protocol, with bispectral index (BIS) maintained between 40 and 60 during surgery. The primary outcome was assessed with the Quality of Recovery (QoR)-15 score. The secondary outcomes included loss of consciousness (LoC), perioperative hemodynamic variables, extubation time, and the incidence of postoperative adverse events. During the study, 7 patients were lost to follow-up, and finally, 102 patients were included in the statistical analysis. The data will be analyzed in a modified full analysis set.

Results: Group S had higher QoR-15 and physical comfort scores on postoperative day (POD) 1 and POD3 compared to Group R (135.0[8.0] vs. 132.0[11.0], P = 0.004; 143.0[6.0] vs. 141.0[7.0], P = 0.007). Despite using less remifentanil (P = 0.021), Group S had a significantly longer extubation time (P = 0.048). There were no significant differences in induction time, perioperative hemodynamic variables, or postoperative adverse events between the groups.

Conclusion: Combining remimazolam with sevoflurane improves postoperative recovery quality in elderly patients undergoing laparoscopic abdominal surgery. This approach ensures optimal anesthesia depth and sedation while minimizing adverse events and complications.

Trial registration: Chinese Clinical Trial Registry ChiCTR2200065332. Date of registration: 02/11/2022.

Abstract Image

Abstract Image

Abstract Image

雷马唑仑联合七氟醚对老年腹腔镜腹部手术患者全身麻醉后恢复质量的影响:一项随机对照试验。
目的:雷马唑仑甲苯磺酸是一种短效苯二氮卓类药物,主要用于静脉麻醉。迄今为止,很少有研究关注雷马唑仑与吸入麻醉联合使用的效果或对术后恢复的影响。本研究旨在探讨雷马唑仑联合七氟醚全麻维持对老年腹腔镜腹部手术患者术后恢复质量的影响。方法:将109例60 ~ 80岁计划行腹腔镜胆囊或疝手术的患者随机分为雷马唑仑组(R组)和雷马唑仑-七氟醚联合组(S组)。R组使用雷马唑仑维持麻醉,S组使用雷马唑仑和七氟醚。两组均采用相同的诱导方案,手术期间双谱指数(BIS)保持在40 ~ 60之间。主要结局以康复质量(QoR)-15评分进行评估。次要结果包括意识丧失(LoC)、围手术期血流动力学变量、拔管时间和术后不良事件发生率。研究期间失访7例,最终纳入统计分析102例。数据将在修改后的完整分析集中进行分析。结果:S组术后1、3天QoR-15评分及身体舒适评分高于R组(135.0[8.0]比132.0[11.0],P = 0.004;143.0[6.0] vs. 141.0[7.0], P = 0.007)。尽管使用较少的瑞芬太尼(P = 0.021),但S组拔管时间明显更长(P = 0.048)。两组在诱导时间、围手术期血流动力学变量和术后不良事件方面均无显著差异。结论:雷马唑仑联合七氟醚可提高老年腹腔镜腹部手术患者术后恢复质量。这种方法确保最佳的麻醉深度和镇静,同时尽量减少不良事件和并发症。试验注册:中国临床试验注册中心ChiCTR2200065332。报名日期:2022年11月2日。
本文章由计算机程序翻译,如有差异,请以英文原文为准。
求助全文
约1分钟内获得全文 求助全文
来源期刊
自引率
3.80%
发文量
55
审稿时长
10 weeks
×
引用
GB/T 7714-2015
复制
MLA
复制
APA
复制
导出至
BibTeX EndNote RefMan NoteFirst NoteExpress
×
提示
您的信息不完整,为了账户安全,请先补充。
现在去补充
×
提示
您因"违规操作"
具体请查看互助需知
我知道了
×
提示
确定
请完成安全验证×
copy
已复制链接
快去分享给好友吧!
我知道了
右上角分享
点击右上角分享
0
联系我们:info@booksci.cn Book学术提供免费学术资源搜索服务,方便国内外学者检索中英文文献。致力于提供最便捷和优质的服务体验。 Copyright © 2023 布克学术 All rights reserved.
京ICP备2023020795号-1
ghs 京公网安备 11010802042870号
Book学术文献互助
Book学术文献互助群
群 号:604180095
Book学术官方微信