The increase in risk classification using Canada's Guidance on Alcohol and Health: an empirical examination in a sample of community adults in Ontario.

IF 2.2 4区 医学 Q2 PUBLIC, ENVIRONMENTAL & OCCUPATIONAL HEALTH
Kyla L Belisario, Amanda Doggett, James MacKillop
{"title":"The increase in risk classification using Canada's Guidance on Alcohol and Health: an empirical examination in a sample of community adults in Ontario.","authors":"Kyla L Belisario, Amanda Doggett, James MacKillop","doi":"10.24095/hpcdp.45.2.03","DOIUrl":null,"url":null,"abstract":"<p><strong>Introduction: </strong>The 2023 Canadian Centre on Substance Use and Addiction drinking guidelines specify a universal low-risk threshold of 2 or fewer drinks per week, lower than previous guidelines that recommended no more than 10 drinks per week or 2 per occasion for females, and 15 per week or 3 per occasion for males. This study examined the increases in risk classification and perceptions of these new guideline thresholds.</p><p><strong>Methods: </strong>Prevalence of those exceeding the new low-risk threshold was compared with that of previous and other international guidelines in an observational cohort of community adults (N = 1502) from southern Ontario who had been followed since 2018 (11 waves of data collection). To examine awareness of the new guidelines and perceived risk of drinking beyond them, a follow-up was conducted with a subset of the cohort, three months after the release of the guidelines (April 2023).</p><p><strong>Results: </strong>Across waves, on average, 52% exceeded the new low-risk threshold compared to 11% who exceeded previous guidelines. Other international guidelines classified, on average, 16% (US), 20% (UK) and 29% (WHO) of the sample as exceeding low-risk guidelines. Approximately half of study participants (51%) were aware of Canada's new guidelines, but 77% perceived exceeding 2 drinks per week as having little to no risk.</p><p><strong>Conclusion: </strong>Over four times more adults exceeded the new low-risk drinking threshold compared to that of the previous Canadian guidelines. Additionally, more were classified as exceeding the new low-risk threshold compared to other international drinking thresholds. These results, combined with low perceptions of risk associated with consuming more than 2 drinks per week, suggest that many Canadians are at risk of exceeding the new guidelines.</p>","PeriodicalId":51316,"journal":{"name":"Health Promotion and Chronic Disease Prevention in Canada-Research Policy and Practice","volume":"45 2","pages":"85-97"},"PeriodicalIF":2.2000,"publicationDate":"2025-02-01","publicationTypes":"Journal Article","fieldsOfStudy":null,"isOpenAccess":false,"openAccessPdf":"https://www.ncbi.nlm.nih.gov/pmc/articles/PMC11987587/pdf/","citationCount":"0","resultStr":null,"platform":"Semanticscholar","paperid":null,"PeriodicalName":"Health Promotion and Chronic Disease Prevention in Canada-Research Policy and Practice","FirstCategoryId":"3","ListUrlMain":"https://doi.org/10.24095/hpcdp.45.2.03","RegionNum":4,"RegionCategory":"医学","ArticlePicture":[],"TitleCN":null,"AbstractTextCN":null,"PMCID":null,"EPubDate":"","PubModel":"","JCR":"Q2","JCRName":"PUBLIC, ENVIRONMENTAL & OCCUPATIONAL HEALTH","Score":null,"Total":0}
引用次数: 0

Abstract

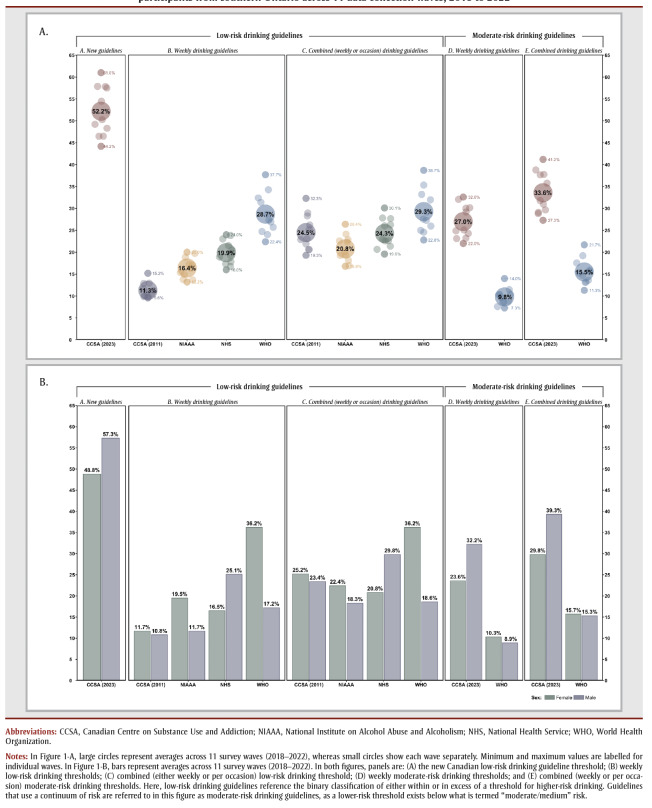
Introduction: The 2023 Canadian Centre on Substance Use and Addiction drinking guidelines specify a universal low-risk threshold of 2 or fewer drinks per week, lower than previous guidelines that recommended no more than 10 drinks per week or 2 per occasion for females, and 15 per week or 3 per occasion for males. This study examined the increases in risk classification and perceptions of these new guideline thresholds.

Methods: Prevalence of those exceeding the new low-risk threshold was compared with that of previous and other international guidelines in an observational cohort of community adults (N = 1502) from southern Ontario who had been followed since 2018 (11 waves of data collection). To examine awareness of the new guidelines and perceived risk of drinking beyond them, a follow-up was conducted with a subset of the cohort, three months after the release of the guidelines (April 2023).

Results: Across waves, on average, 52% exceeded the new low-risk threshold compared to 11% who exceeded previous guidelines. Other international guidelines classified, on average, 16% (US), 20% (UK) and 29% (WHO) of the sample as exceeding low-risk guidelines. Approximately half of study participants (51%) were aware of Canada's new guidelines, but 77% perceived exceeding 2 drinks per week as having little to no risk.

Conclusion: Over four times more adults exceeded the new low-risk drinking threshold compared to that of the previous Canadian guidelines. Additionally, more were classified as exceeding the new low-risk threshold compared to other international drinking thresholds. These results, combined with low perceptions of risk associated with consuming more than 2 drinks per week, suggest that many Canadians are at risk of exceeding the new guidelines.

Abstract Image

Abstract Image

使用《加拿大酒精与健康指南》增加风险分类:对安大略省社区成年人样本的实证检查。
导言:2023年加拿大物质使用和饮酒成瘾中心指南规定了每周饮酒2次或更少的普遍低风险阈值,低于之前建议女性每周饮酒不超过10次或每次饮酒2次,男性每周饮酒不超过15次或每次饮酒3次的指南。这项研究检查了风险分类的增加和对这些新的指导阈值的认识。方法:在安大略省南部社区成人观察队列(N = 1502)中,将超过新的低风险阈值的患病率与先前和其他国际指南进行比较,该队列自2018年以来一直被跟踪(11波数据收集)。为了检查对新指南的认识以及对超出指南的饮酒风险的感知,在指南发布三个月后(2023年4月),对该队列的一部分进行了随访。结果:平均而言,52%的人超过了新的低风险阈值,而11%的人超过了以前的指导方针。其他国际指南平均将16%(美国)、20%(英国)和29%(世卫组织)的样本归类为超出低风险指南。大约一半的研究参与者(51%)知道加拿大的新指南,但77%的人认为每周饮酒超过2杯几乎没有风险。结论:与之前的加拿大指南相比,超过新的低风险饮酒阈值的成年人增加了四倍以上。此外,与其他国际饮酒阈值相比,更多的人被归类为超过新的低风险阈值。这些结果,再加上每周饮酒超过两杯对风险的认知较低,表明许多加拿大人有超过新指南的风险。
本文章由计算机程序翻译,如有差异,请以英文原文为准。
求助全文
约1分钟内获得全文 求助全文
来源期刊
CiteScore
4.10
自引率
0.00%
发文量
65
审稿时长
40 weeks
期刊介绍: Health Promotion and Chronic Disease Prevention in Canada: Research, Policy and Practice (the HPCDP Journal) is the monthly, online scientific journal of the Health Promotion and Chronic Disease Prevention Branch of the Public Health Agency of Canada. The journal publishes articles on disease prevention, health promotion and health equity in the areas of chronic diseases, injuries and life course health. Content includes research from fields such as public/community health, epidemiology, biostatistics, the behavioural and social sciences, and health services or economics.
×
引用
GB/T 7714-2015
复制
MLA
复制
APA
复制
导出至
BibTeX EndNote RefMan NoteFirst NoteExpress
×
提示
您的信息不完整,为了账户安全,请先补充。
现在去补充
×
提示
您因"违规操作"
具体请查看互助需知
我知道了
×
提示
确定
请完成安全验证×
copy
已复制链接
快去分享给好友吧!
我知道了
右上角分享
点击右上角分享
0
联系我们:info@booksci.cn Book学术提供免费学术资源搜索服务,方便国内外学者检索中英文文献。致力于提供最便捷和优质的服务体验。 Copyright © 2023 布克学术 All rights reserved.
京ICP备2023020795号-1
ghs 京公网安备 11010802042870号
Book学术文献互助
Book学术文献互助群
群 号:604180095
Book学术官方微信