Phase Angle following Intradialytic Neuromuscular Electrical Stimulation and Oral Protein Supplementation in Patients undergoing Chronic Hemodialysis.

IF 3.2 Q3 GERIATRICS & GERONTOLOGY
Annals of Geriatric Medicine and Research Pub Date : 2025-06-01 Epub Date: 2025-02-13 DOI:10.4235/agmr.24.0108
Jungho Shin, Jae Hyeon Park, Jae Yoon Park, Ran-Hui Cha
{"title":"Phase Angle following Intradialytic Neuromuscular Electrical Stimulation and Oral Protein Supplementation in Patients undergoing Chronic Hemodialysis.","authors":"Jungho Shin, Jae Hyeon Park, Jae Yoon Park, Ran-Hui Cha","doi":"10.4235/agmr.24.0108","DOIUrl":null,"url":null,"abstract":"<p><strong>Background: </strong>Sarcopenia is a prevalent condition in patients undergoing chronic hemodialysis. Therefore, a convenient and reliable method of monitoring muscle health is required. This study identified the utility of the phase angle (PhA) to estimate muscle health, and evaluated its changes following intradialytic neuromuscular electrical stimulation (NMES) and oral nutritional supplement interventions in patients undergoing chronic hemodialysis.</p><p><strong>Methods: </strong>This post-hoc analysis was conducted using data obtained from a 12-week multicenter randomized trial that examined the effects of NMES and protein supplementation. The participants were divided into four groups according to intradialytic NMES and protein supplementation. The PhA, muscle mass, muscle strength, and physical performance were measured every 4 weeks.</p><p><strong>Results: </strong>Overall, 59 participants completed the study. PhA values were linearly associated with muscle mass and muscle strength. Additionally, high PhA levels indicated fast gait speed and shortened timed up-and-go test (TUG) results. We further evaluated the association between the PhA slope and muscle health-related parameters. In participants with the PhA slope &lt;0° over 12 weeks, TUG results worsened over time, relative to those with a slope ≥0° over 12 weeks, independent of age, sex, diabetes, and body mass index. NMES did not improve the PhA values over time; however, protein supplementation tended to increase the PhA values.</p><p><strong>Conclusion: </strong>PhA is a reliable marker for estimating and monitoring muscle health in patients undergoing chronic hemodialysis, and a strong association exists between PhA and TUG results.</p>","PeriodicalId":44729,"journal":{"name":"Annals of Geriatric Medicine and Research","volume":" ","pages":"223-232"},"PeriodicalIF":3.2000,"publicationDate":"2025-06-01","publicationTypes":"Journal Article","fieldsOfStudy":null,"isOpenAccess":false,"openAccessPdf":"https://www.ncbi.nlm.nih.gov/pmc/articles/PMC12214980/pdf/","citationCount":"0","resultStr":null,"platform":"Semanticscholar","paperid":null,"PeriodicalName":"Annals of Geriatric Medicine and Research","FirstCategoryId":"1085","ListUrlMain":"https://doi.org/10.4235/agmr.24.0108","RegionNum":0,"RegionCategory":null,"ArticlePicture":[],"TitleCN":null,"AbstractTextCN":null,"PMCID":null,"EPubDate":"2025/2/13 0:00:00","PubModel":"Epub","JCR":"Q3","JCRName":"GERIATRICS & GERONTOLOGY","Score":null,"Total":0}
引用次数: 0

Abstract

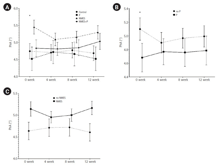
Background: Sarcopenia is a prevalent condition in patients undergoing chronic hemodialysis. Therefore, a convenient and reliable method of monitoring muscle health is required. This study identified the utility of the phase angle (PhA) to estimate muscle health, and evaluated its changes following intradialytic neuromuscular electrical stimulation (NMES) and oral nutritional supplement interventions in patients undergoing chronic hemodialysis.

Methods: This post-hoc analysis was conducted using data obtained from a 12-week multicenter randomized trial that examined the effects of NMES and protein supplementation. The participants were divided into four groups according to intradialytic NMES and protein supplementation. The PhA, muscle mass, muscle strength, and physical performance were measured every 4 weeks.

Results: Overall, 59 participants completed the study. PhA values were linearly associated with muscle mass and muscle strength. Additionally, high PhA levels indicated fast gait speed and shortened timed up-and-go test (TUG) results. We further evaluated the association between the PhA slope and muscle health-related parameters. In participants with the PhA slope <0° over 12 weeks, TUG results worsened over time, relative to those with a slope ≥0° over 12 weeks, independent of age, sex, diabetes, and body mass index. NMES did not improve the PhA values over time; however, protein supplementation tended to increase the PhA values.

Conclusion: PhA is a reliable marker for estimating and monitoring muscle health in patients undergoing chronic hemodialysis, and a strong association exists between PhA and TUG results.

Abstract Image

Abstract Image

慢性血液透析患者分析性神经肌肉电刺激和口服蛋白质补充后的相位角。
背景:骨骼肌减少症是慢性血液透析患者的常见病。因此,需要一种方便可靠的肌肉健康监测方法。本研究确定了相位角(PhA)用于评估肌肉健康状况的效用,并评估了慢性血液透析患者在分析性神经肌肉电刺激(NMES)和口服营养补充剂干预后的相位角变化。方法:采用一项为期12周的多中心随机试验的数据进行事后分析,该试验检验了NMES和蛋白质补充的效果。根据分析内NMES和蛋白质补充情况将参与者分为四组。每4周测量PhA、肌肉量、肌肉力量和体能表现。结果:总共有59名参与者完成了研究。PhA值与肌肉质量和肌肉力量呈线性相关。此外,PhA水平高表明步态速度快,起跑时间短(TUG)。我们进一步评估了PhA斜率与肌肉健康相关参数之间的关系。结论:PhA是评估和监测慢性血液透析患者肌肉健康的可靠指标,PhA与TUG结果之间存在很强的相关性。
本文章由计算机程序翻译,如有差异,请以英文原文为准。
求助全文
约1分钟内获得全文 求助全文
来源期刊
Annals of Geriatric Medicine and Research
Annals of Geriatric Medicine and Research GERIATRICS & GERONTOLOGY-
CiteScore
4.90
自引率
11.10%
发文量
35
审稿时长
4 weeks
×
引用
GB/T 7714-2015
复制
MLA
复制
APA
复制
导出至
BibTeX EndNote RefMan NoteFirst NoteExpress
×
提示
您的信息不完整,为了账户安全,请先补充。
现在去补充
×
提示
您因"违规操作"
具体请查看互助需知
我知道了
×
提示
确定
请完成安全验证×
copy
已复制链接
快去分享给好友吧!
我知道了
右上角分享
点击右上角分享
0
联系我们:info@booksci.cn Book学术提供免费学术资源搜索服务,方便国内外学者检索中英文文献。致力于提供最便捷和优质的服务体验。 Copyright © 2023 布克学术 All rights reserved.
京ICP备2023020795号-1
ghs 京公网安备 11010802042870号
Book学术文献互助
Book学术文献互助群
群 号:604180095
Book学术官方微信