Angiotensin-Converting Enzyme Inhibitors versus Angiotensin Receptor Blockers in Older Patients with acute Myocardial Infarction after a Successful Stent Implantation.

IF 3.2 Q3 GERIATRICS & GERONTOLOGY
Annals of Geriatric Medicine and Research Pub Date : 2025-06-01 Epub Date: 2025-02-04 DOI:10.4235/agmr.24.0187
Geum Ko, Jae-Geun Lee, Ki Yung Boo, Joon-Hyouk Choi, Song-Yi Kim, Seung-Jae Joo, Jin-Yong Hwang, Seung-Ho Hur, Seok Kyu Oh, Myung Ho Jeong
{"title":"Angiotensin-Converting Enzyme Inhibitors versus Angiotensin Receptor Blockers in Older Patients with acute Myocardial Infarction after a Successful Stent Implantation.","authors":"Geum Ko, Jae-Geun Lee, Ki Yung Boo, Joon-Hyouk Choi, Song-Yi Kim, Seung-Jae Joo, Jin-Yong Hwang, Seung-Ho Hur, Seok Kyu Oh, Myung Ho Jeong","doi":"10.4235/agmr.24.0187","DOIUrl":null,"url":null,"abstract":"<p><strong>Background: </strong>This study aimed to evaluate the long-term clinical outcomes of patients with acute myocardial infarction (AMI) who underwent successful stent implantation and were subsequently treated with angiotensin-converting enzyme inhibitors (ACEI) or angiotensin receptor blockers (ARB).</p><p><strong>Methods: </strong>Among 13,104 patients enrolled in the Korean AMI registry, 2,763 older patients aged 70 years or older, who were prescribed either ACEI or ARB at discharge, were included in this study. Propensity score matching (PSM) was performed to adjust for baseline confounders. The primary outcome was a composite of cardiac death and recurrent myocardial infarction (MI) at the 3-year follow-up.</p><p><strong>Results: </strong>In PSM cohort, use of ACEI at discharge was associated with a significantly lower incidence of primary outcome (hazard ratio, 1.60; 95% confidence interval, 1.20-2.14; p=0.001) compared to those of ARB at discharge. Additionally, incidences of cardiac death, recurrent MI and all-cause death were lower in use of ACEI at discharge than in those of ARB. However, there were no statistically significant differences between the two groups in hospitalization for heart failure, any revascularization, stent thrombosis, or stroke.</p><p><strong>Conclusion: </strong>The findings of this study suggest that ACEI use at discharge, compared with ARB use, was associated with lower incidences of cardiac death, and recurrent MI in older patients with AMI after successful stent implantation.</p>","PeriodicalId":44729,"journal":{"name":"Annals of Geriatric Medicine and Research","volume":" ","pages":"213-222"},"PeriodicalIF":3.2000,"publicationDate":"2025-06-01","publicationTypes":"Journal Article","fieldsOfStudy":null,"isOpenAccess":false,"openAccessPdf":"https://www.ncbi.nlm.nih.gov/pmc/articles/PMC12214979/pdf/","citationCount":"0","resultStr":null,"platform":"Semanticscholar","paperid":null,"PeriodicalName":"Annals of Geriatric Medicine and Research","FirstCategoryId":"1085","ListUrlMain":"https://doi.org/10.4235/agmr.24.0187","RegionNum":0,"RegionCategory":null,"ArticlePicture":[],"TitleCN":null,"AbstractTextCN":null,"PMCID":null,"EPubDate":"2025/2/4 0:00:00","PubModel":"Epub","JCR":"Q3","JCRName":"GERIATRICS & GERONTOLOGY","Score":null,"Total":0}
引用次数: 0

Abstract

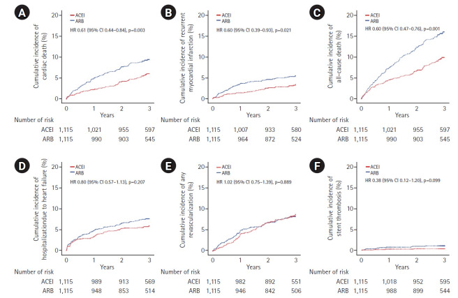
Background: This study aimed to evaluate the long-term clinical outcomes of patients with acute myocardial infarction (AMI) who underwent successful stent implantation and were subsequently treated with angiotensin-converting enzyme inhibitors (ACEI) or angiotensin receptor blockers (ARB).

Methods: Among 13,104 patients enrolled in the Korean AMI registry, 2,763 older patients aged 70 years or older, who were prescribed either ACEI or ARB at discharge, were included in this study. Propensity score matching (PSM) was performed to adjust for baseline confounders. The primary outcome was a composite of cardiac death and recurrent myocardial infarction (MI) at the 3-year follow-up.

Results: In PSM cohort, use of ACEI at discharge was associated with a significantly lower incidence of primary outcome (hazard ratio, 1.60; 95% confidence interval, 1.20-2.14; p=0.001) compared to those of ARB at discharge. Additionally, incidences of cardiac death, recurrent MI and all-cause death were lower in use of ACEI at discharge than in those of ARB. However, there were no statistically significant differences between the two groups in hospitalization for heart failure, any revascularization, stent thrombosis, or stroke.

Conclusion: The findings of this study suggest that ACEI use at discharge, compared with ARB use, was associated with lower incidences of cardiac death, and recurrent MI in older patients with AMI after successful stent implantation.

Abstract Image

Abstract Image

Abstract Image

血管紧张素转换酶抑制剂与血管紧张素受体阻滞剂在支架置入术后老年急性心肌梗死患者中的作用。
背景:本研究旨在评估急性心肌梗死(AMI)患者成功接受支架植入术并随后接受血管紧张素转换酶抑制剂(ACEI)或血管紧张素受体阻滞剂(ARB)治疗的长期临床结果。方法:在韩国AMI登记的13104例患者中,2763例70岁及以上的老年患者在出院时服用ACEI或ARB,纳入本研究。采用倾向评分匹配(PSM)来调整基线混杂因素。在3年的随访中,主要结局是心源性死亡和复发性心肌梗死(MI)的复合。结果:在PSM队列中,出院时使用ACEI与主要结局的发生率显著降低相关(风险比,1.60;95%置信区间为1.20-2.14;p=0.001),与出院时的ARB相比。此外,出院时使用ACEI的心脏死亡、复发性心肌梗死和全因死亡的发生率低于ARB组。然而,两组在因心力衰竭、任何血运重建术、支架血栓形成或中风住院方面没有统计学上的显著差异。结论:本研究结果表明,与使用ARB相比,出院时使用ACEI可降低老年AMI患者支架置入术成功后心脏死亡和心肌梗死复发的发生率。
本文章由计算机程序翻译,如有差异,请以英文原文为准。
求助全文
约1分钟内获得全文 求助全文
来源期刊
Annals of Geriatric Medicine and Research
Annals of Geriatric Medicine and Research GERIATRICS & GERONTOLOGY-
CiteScore
4.90
自引率
11.10%
发文量
35
审稿时长
4 weeks
×
引用
GB/T 7714-2015
复制
MLA
复制
APA
复制
导出至
BibTeX EndNote RefMan NoteFirst NoteExpress
×
提示
您的信息不完整,为了账户安全,请先补充。
现在去补充
×
提示
您因"违规操作"
具体请查看互助需知
我知道了
×
提示
确定
请完成安全验证×
copy
已复制链接
快去分享给好友吧!
我知道了
右上角分享
点击右上角分享
0
联系我们:info@booksci.cn Book学术提供免费学术资源搜索服务,方便国内外学者检索中英文文献。致力于提供最便捷和优质的服务体验。 Copyright © 2023 布克学术 All rights reserved.
京ICP备2023020795号-1
ghs 京公网安备 11010802042870号
Book学术文献互助
Book学术文献互助群
群 号:604180095
Book学术官方微信