Delayed Effects of Different Velocity Loss-Based Resistance Training on Autonomic Regulation, Sleep Quality and Muscle Soreness.

IF 2.8 3区 医学 Q2 SPORT SCIENCES
Journal of Human Kinetics Pub Date : 2024-12-06 eCollection Date: 2025-01-01 DOI:10.5114/jhk/189703
Juan P Medellín Ruiz, Oriol Abellán-Aynés, Diana P García, Luis M Martínez-Aranda
{"title":"Delayed Effects of Different Velocity Loss-Based Resistance Training on Autonomic Regulation, Sleep Quality and Muscle Soreness.","authors":"Juan P Medellín Ruiz, Oriol Abellán-Aynés, Diana P García, Luis M Martínez-Aranda","doi":"10.5114/jhk/189703","DOIUrl":null,"url":null,"abstract":"<p><p>Resistance training has been shown to be a stressor factor on the autonomic nervous system, and these changes can be detected by heart rate variability (HRV) analysis. The aim of the present study was to evaluate the delayed effects of velocity loss-based resistance training strategies on heart rate variability (HRV), the sleep quality index (SQI) and delayed onset muscle soreness (DOMS). Fourteen men performed daily recordings. After a baseline period of 14 days of no training, they performed one session per week of resistance training focused on lower body exercise (squats) based on movement velocity. Three resistance training sessions composed of four sets up to 10%, 20% and 40% of velocity loss were performed each week of the study. Statistically significant changes (p < 0.05) after 24 hours of training were found in DOMS, and HRV variables, specifically in RR intervals (RR), root mean square of successive differences of RR intervals (RMSSD), and the percentage of successive RR intervals that differed by more than 50 ms (pNN50), between 40% of velocity movement loss and the rest of conditions. We can conclude that greater losses of execution velocity may result in greater internal load stimuli according to the autonomic modulation measured by HRV. RR, RMSSD and pNN50 seem to be the most sensitive indicators of HRV to fatigue produced by resistance training. This research opens the door to the study of HRV behavior related to resistance training. New research possibilities are raised by measuring the effect of guiding resistance training by means of HRV behavior.</p>","PeriodicalId":16055,"journal":{"name":"Journal of Human Kinetics","volume":"95 ","pages":"83-94"},"PeriodicalIF":2.8000,"publicationDate":"2024-12-06","publicationTypes":"Journal Article","fieldsOfStudy":null,"isOpenAccess":false,"openAccessPdf":"https://www.ncbi.nlm.nih.gov/pmc/articles/PMC11812170/pdf/","citationCount":"0","resultStr":null,"platform":"Semanticscholar","paperid":null,"PeriodicalName":"Journal of Human Kinetics","FirstCategoryId":"3","ListUrlMain":"https://doi.org/10.5114/jhk/189703","RegionNum":3,"RegionCategory":"医学","ArticlePicture":[],"TitleCN":null,"AbstractTextCN":null,"PMCID":null,"EPubDate":"2025/1/1 0:00:00","PubModel":"eCollection","JCR":"Q2","JCRName":"SPORT SCIENCES","Score":null,"Total":0}
引用次数: 0

Abstract

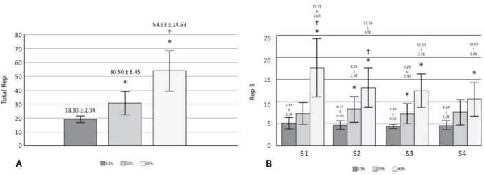
Resistance training has been shown to be a stressor factor on the autonomic nervous system, and these changes can be detected by heart rate variability (HRV) analysis. The aim of the present study was to evaluate the delayed effects of velocity loss-based resistance training strategies on heart rate variability (HRV), the sleep quality index (SQI) and delayed onset muscle soreness (DOMS). Fourteen men performed daily recordings. After a baseline period of 14 days of no training, they performed one session per week of resistance training focused on lower body exercise (squats) based on movement velocity. Three resistance training sessions composed of four sets up to 10%, 20% and 40% of velocity loss were performed each week of the study. Statistically significant changes (p < 0.05) after 24 hours of training were found in DOMS, and HRV variables, specifically in RR intervals (RR), root mean square of successive differences of RR intervals (RMSSD), and the percentage of successive RR intervals that differed by more than 50 ms (pNN50), between 40% of velocity movement loss and the rest of conditions. We can conclude that greater losses of execution velocity may result in greater internal load stimuli according to the autonomic modulation measured by HRV. RR, RMSSD and pNN50 seem to be the most sensitive indicators of HRV to fatigue produced by resistance training. This research opens the door to the study of HRV behavior related to resistance training. New research possibilities are raised by measuring the effect of guiding resistance training by means of HRV behavior.

Abstract Image

Abstract Image

Abstract Image

基于不同速度损失的阻力训练对自主调节、睡眠质量和肌肉酸痛的延迟效应。
阻力训练已被证明是自主神经系统的应激因素,这些变化可以通过心率变异性(HRV)分析来检测。本研究的目的是评估基于速度损失的阻力训练策略对心率变异性(HRV)、睡眠质量指数(SQI)和延迟性肌肉酸痛(DOMS)的延迟效应。14人每天录音。在14天没有训练的基线期后,他们每周进行一次基于运动速度的下体运动(深蹲)阻力训练。每周进行三次阻力训练,由四组组成,分别为速度损失的10%,20%和40%。训练24小时后,迟发性肌肉酸痛(DOMS)和HRV变量,特别是RR区间(RR)、RR区间连续差异的均方根(RMSSD)和连续RR区间差异大于50 ms的百分比(pNN50)在40%的速度运动损失和其余条件之间发生了统计学意义上的变化(p < 0.05)。根据HRV测量的自主调节,我们可以得出结论,执行速度的较大损失可能导致更大的内部负载刺激。RR、RMSSD和pNN50似乎是HRV对阻力训练产生的疲劳最敏感的指标。这项研究为研究HRV行为与抗阻训练的关系打开了大门。利用HRV行为测量指导抗阻训练的效果,提出了新的研究可能性。
本文章由计算机程序翻译,如有差异,请以英文原文为准。
求助全文
约1分钟内获得全文 求助全文
来源期刊
Journal of Human Kinetics
Journal of Human Kinetics 医学-运动科学
CiteScore
4.80
自引率
0.00%
发文量
83
审稿时长
3 months
期刊介绍: The Journal of Human Kinetics is an open access interdisciplinary periodical offering the latest research in the science of human movement studies. This comprehensive professional journal features articles and research notes encompassing such topic areas as: Kinesiology, Exercise Physiology and Nutrition, Sports Training and Behavioural Sciences in Sport, but especially considering elite and competitive aspects of sport. The journal publishes original papers, invited reviews, short communications and letters to the Editors. Manuscripts submitted to the journal must contain novel data on theoretical or experimental research or on practical applications in the field of sport sciences. The Journal of Human Kinetics is published in March, June, September and December. We encourage scientists from around the world to submit their papers to our periodical.
×
引用
GB/T 7714-2015
复制
MLA
复制
APA
复制
导出至
BibTeX EndNote RefMan NoteFirst NoteExpress
×
提示
您的信息不完整,为了账户安全,请先补充。
现在去补充
×
提示
您因"违规操作"
具体请查看互助需知
我知道了
×
提示
确定
请完成安全验证×
copy
已复制链接
快去分享给好友吧!
我知道了
右上角分享
点击右上角分享
0
联系我们:info@booksci.cn Book学术提供免费学术资源搜索服务,方便国内外学者检索中英文文献。致力于提供最便捷和优质的服务体验。 Copyright © 2023 布克学术 All rights reserved.
京ICP备2023020795号-1
ghs 京公网安备 11010802042870号
Book学术文献互助
Book学术文献互助群
群 号:604180095
Book学术官方微信