Area per Player in Small-Sided Games to Estimate the External Load in Elite Youth Soccer Players.

IF 2.8 3区 医学 Q2 SPORT SCIENCES
Journal of Human Kinetics Pub Date : 2024-12-06 eCollection Date: 2025-01-01 DOI:10.5114/jhk/189421
Vicente de Dios-Álvarez, Alexis Padrón-Cabo, Pello Alkain-Villa, Ezequiel Rey, Julen Castellano
{"title":"Area per Player in Small-Sided Games to Estimate the External Load in Elite Youth Soccer Players.","authors":"Vicente de Dios-Álvarez, Alexis Padrón-Cabo, Pello Alkain-Villa, Ezequiel Rey, Julen Castellano","doi":"10.5114/jhk/189421","DOIUrl":null,"url":null,"abstract":"<p><p>Small-sided games (SSGs) refer to game formats where there are variations in the pitch size, the number of players, and rules as compared to official soccer matches. The purpose of this study was to assess the relationship between GPS-derived external loads and the SSGs' area per player (ApP) in elite youth soccer players to identify whether the ApP influenced GPS-derived external load measures to estimate external load variables from SSGs with different densities (i.e., ApP100: the ApP <150 m<sup>2</sup>•player<sup>-1</sup>; ApP200: the ApP ranged from 151 to 250; ApP300: the ApP > 251 m<sup>2</sup>•player<sup>-1</sup>). A cumulative count of 978 individual observations was undertaken, encompassing 15 diverse SSG configurations. The results showed moderate and large correlations between the ApP and external load measures for both U19 and U16 soccer players. The ApP300 induced higher locomotor activities than the ApP100 and the ApP200. However, the ApP100 showed higher mechanical (accelerations and decelerations) values compared to ApP200 and ApP300 conditions for both age groups. It was found that an ApP of less than 150 m<sup>2</sup>•player<sup>-1</sup> in SSGs did not stimulate enough high-speed distance relative (HSDR), very high-speed distance relative (VHSDR) and sprint distance relative (SDR) compared to official matches in youth soccer players. However, the same ApP overestimated mechanical variables such as total high accelerations and decelerations relative to time (THACCR and THDECR, respectively). The findings of this study have the potential to facilitate the effective management of training loads tailored to specific fitness components of players.</p>","PeriodicalId":16055,"journal":{"name":"Journal of Human Kinetics","volume":"95 ","pages":"123-138"},"PeriodicalIF":2.8000,"publicationDate":"2024-12-06","publicationTypes":"Journal Article","fieldsOfStudy":null,"isOpenAccess":false,"openAccessPdf":"https://www.ncbi.nlm.nih.gov/pmc/articles/PMC11812169/pdf/","citationCount":"0","resultStr":null,"platform":"Semanticscholar","paperid":null,"PeriodicalName":"Journal of Human Kinetics","FirstCategoryId":"3","ListUrlMain":"https://doi.org/10.5114/jhk/189421","RegionNum":3,"RegionCategory":"医学","ArticlePicture":[],"TitleCN":null,"AbstractTextCN":null,"PMCID":null,"EPubDate":"2025/1/1 0:00:00","PubModel":"eCollection","JCR":"Q2","JCRName":"SPORT SCIENCES","Score":null,"Total":0}
引用次数: 0

Abstract

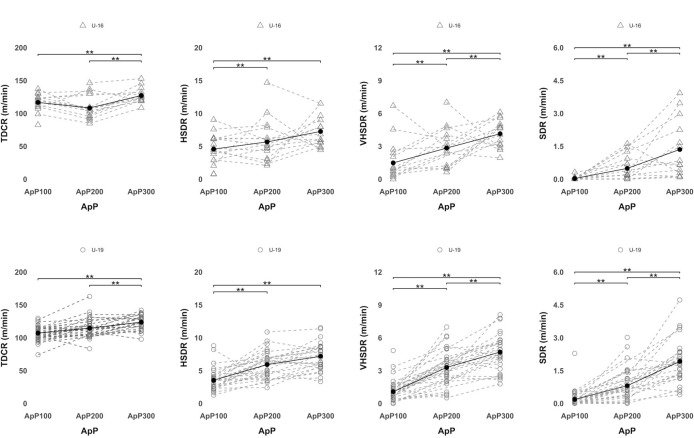
Small-sided games (SSGs) refer to game formats where there are variations in the pitch size, the number of players, and rules as compared to official soccer matches. The purpose of this study was to assess the relationship between GPS-derived external loads and the SSGs' area per player (ApP) in elite youth soccer players to identify whether the ApP influenced GPS-derived external load measures to estimate external load variables from SSGs with different densities (i.e., ApP100: the ApP <150 m2•player-1; ApP200: the ApP ranged from 151 to 250; ApP300: the ApP > 251 m2•player-1). A cumulative count of 978 individual observations was undertaken, encompassing 15 diverse SSG configurations. The results showed moderate and large correlations between the ApP and external load measures for both U19 and U16 soccer players. The ApP300 induced higher locomotor activities than the ApP100 and the ApP200. However, the ApP100 showed higher mechanical (accelerations and decelerations) values compared to ApP200 and ApP300 conditions for both age groups. It was found that an ApP of less than 150 m2•player-1 in SSGs did not stimulate enough high-speed distance relative (HSDR), very high-speed distance relative (VHSDR) and sprint distance relative (SDR) compared to official matches in youth soccer players. However, the same ApP overestimated mechanical variables such as total high accelerations and decelerations relative to time (THACCR and THDECR, respectively). The findings of this study have the potential to facilitate the effective management of training loads tailored to specific fitness components of players.

Abstract Image

Abstract Image

Abstract Image

小型比赛中每个球员的面积估算精英青年足球运动员的外部负荷。
小型足球比赛(Small-sided games, ssg)是指与正式足球比赛相比,在场地大小、球员人数、规则等方面都有所不同的比赛形式。本研究的目的是评估gps衍生的外负荷与精英青年足球运动员ssg的人均面积(ApP)之间的关系,以确定ApP是否影响gps衍生的外负荷测量,以估计不同密度的ssg的外负荷变量(即ApP100: ApP 2•player-1;ApP200: ApP在151 ~ 250之间;ApP300: ApP bb0 251 m2•玩家-1)。累计进行了978次单独观测,包括15种不同的SSG配置。结果显示U19和U16足球运动员ApP与外部负荷测量之间存在中度和高度相关。ApP300诱导的运动活动高于ApP100和ApP200。然而,在两个年龄组中,与ApP200和ApP300相比,ApP100表现出更高的机械(加速和减速)值。研究发现,与正式比赛相比,ssg中小于150 m2•player-1的ApP对青少年足球运动员的高速相对距离(HSDR)、超高速相对距离(VHSDR)和冲刺相对距离(SDR)的刺激不足。然而,同样的ApP高估了机械变量,如相对于时间的总高加速度和减速度(分别为THACCR和THDECR)。这项研究的发现有可能促进有效管理训练负荷,以适应球员的特定健身成分。
本文章由计算机程序翻译,如有差异,请以英文原文为准。
求助全文
约1分钟内获得全文 求助全文
来源期刊
Journal of Human Kinetics
Journal of Human Kinetics 医学-运动科学
CiteScore
4.80
自引率
0.00%
发文量
83
审稿时长
3 months
期刊介绍: The Journal of Human Kinetics is an open access interdisciplinary periodical offering the latest research in the science of human movement studies. This comprehensive professional journal features articles and research notes encompassing such topic areas as: Kinesiology, Exercise Physiology and Nutrition, Sports Training and Behavioural Sciences in Sport, but especially considering elite and competitive aspects of sport. The journal publishes original papers, invited reviews, short communications and letters to the Editors. Manuscripts submitted to the journal must contain novel data on theoretical or experimental research or on practical applications in the field of sport sciences. The Journal of Human Kinetics is published in March, June, September and December. We encourage scientists from around the world to submit their papers to our periodical.
×
引用
GB/T 7714-2015
复制
MLA
复制
APA
复制
导出至
BibTeX EndNote RefMan NoteFirst NoteExpress
×
提示
您的信息不完整,为了账户安全,请先补充。
现在去补充
×
提示
您因"违规操作"
具体请查看互助需知
我知道了
×
提示
确定
请完成安全验证×
copy
已复制链接
快去分享给好友吧!
我知道了
右上角分享
点击右上角分享
0
联系我们:info@booksci.cn Book学术提供免费学术资源搜索服务,方便国内外学者检索中英文文献。致力于提供最便捷和优质的服务体验。 Copyright © 2023 布克学术 All rights reserved.
京ICP备2023020795号-1
ghs 京公网安备 11010802042870号
Book学术文献互助
Book学术文献互助群
群 号:604180095
Book学术官方微信