Histamine Promotes Pseudomonas aeruginosa Biofilm Formation and Renders P. aeruginosa Biofilms More Resistant to Gentamicin and Azithromycin.

IF 2.2 3区 医学 Q1 MEDICINE, GENERAL & INTERNAL
Medical Principles and Practice Pub Date : 2025-01-01 Epub Date: 2025-02-12 DOI:10.1159/000544111
Karim Dib
{"title":"Histamine Promotes Pseudomonas aeruginosa Biofilm Formation and Renders P. aeruginosa Biofilms More Resistant to Gentamicin and Azithromycin.","authors":"Karim Dib","doi":"10.1159/000544111","DOIUrl":null,"url":null,"abstract":"<p><strong>Introduction: </strong>Pseudomonas aeruginosa biofilms contribute to the persistent presence of this bacterium in the cystic fibrosis airways. P. aeruginosa produces histamine in vitro and expresses histamine receptors. We investigated whether histamine regulated P. aeruginosa biofilm formation in vitro and contributed to bacterial virulence in Galleria mellonella.</p><p><strong>Methods: </strong>P. aeruginosa biofilms were measured by staining bacteria adhered on polystyrene with crystal violet. Histamine concentrations were measured by ELISA. G. mellonella survival upon inoculation with P. aeruginosa was measured in the absence or presence of histamine.</p><p><strong>Results: </strong>The concentration of histamine in the BHI broth was 140 ng/mL (1.3 μ<sc>m</sc>). Addition to the broth of diamine oxidase (DAO), an enzyme that catabolizes histamine, reduced by ∼3-fold the concentration of histamine and by 2-fold PAO1 strain biofilms. Addition of histamine (10-9<sc>m</sc>-10-4<sc>m</sc>) to the LB medium augmented P. aeruginosa biofilms. Maximum effects were observed with concentrations of 10-5<sc>m</sc> and 10-8<sc>m</sc> for the mucoid NH57388A strain and the PAO1 strain, respectively. DAO reduced mucoid NH57388A biofilms induced by histamine (10-4<sc>m</sc>) added to the LB medium. Addition of histamine to 48 h formed biofilms reduced anti-biofilm activities of gentamicin and azithromycin. Inoculation of G. mellonella with the PAO1 strain led to augmented histamine concentration in the haemolymph. Inoculation of histamine (10-8<sc>m</sc>) reduced the survival rate of G. mellonella infected with the PAO1 strain.</p><p><strong>Conclusion: </strong>Histamine produced during periods of infection may augment P. aeruginosa virulence by promoting the biofilm mode of life of this bacterium.</p>","PeriodicalId":18455,"journal":{"name":"Medical Principles and Practice","volume":" ","pages":"238-249"},"PeriodicalIF":2.2000,"publicationDate":"2025-01-01","publicationTypes":"Journal Article","fieldsOfStudy":null,"isOpenAccess":false,"openAccessPdf":"https://www.ncbi.nlm.nih.gov/pmc/articles/PMC12133133/pdf/","citationCount":"0","resultStr":null,"platform":"Semanticscholar","paperid":null,"PeriodicalName":"Medical Principles and Practice","FirstCategoryId":"3","ListUrlMain":"https://doi.org/10.1159/000544111","RegionNum":3,"RegionCategory":"医学","ArticlePicture":[],"TitleCN":null,"AbstractTextCN":null,"PMCID":null,"EPubDate":"2025/2/12 0:00:00","PubModel":"Epub","JCR":"Q1","JCRName":"MEDICINE, GENERAL & INTERNAL","Score":null,"Total":0}
引用次数: 0

Abstract

Introduction: Pseudomonas aeruginosa biofilms contribute to the persistent presence of this bacterium in the cystic fibrosis airways. P. aeruginosa produces histamine in vitro and expresses histamine receptors. We investigated whether histamine regulated P. aeruginosa biofilm formation in vitro and contributed to bacterial virulence in Galleria mellonella.

Methods: P. aeruginosa biofilms were measured by staining bacteria adhered on polystyrene with crystal violet. Histamine concentrations were measured by ELISA. G. mellonella survival upon inoculation with P. aeruginosa was measured in the absence or presence of histamine.

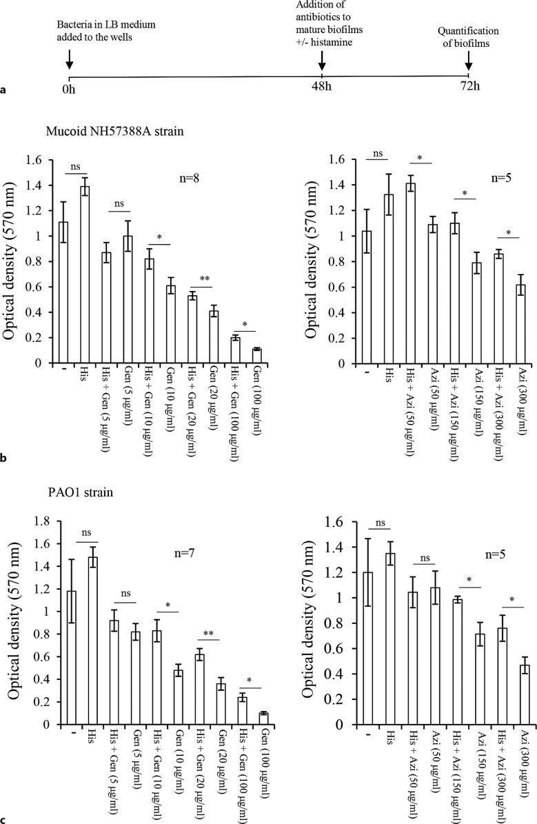
Results: The concentration of histamine in the BHI broth was 140 ng/mL (1.3 μm). Addition to the broth of diamine oxidase (DAO), an enzyme that catabolizes histamine, reduced by ∼3-fold the concentration of histamine and by 2-fold PAO1 strain biofilms. Addition of histamine (10-9m-10-4m) to the LB medium augmented P. aeruginosa biofilms. Maximum effects were observed with concentrations of 10-5m and 10-8m for the mucoid NH57388A strain and the PAO1 strain, respectively. DAO reduced mucoid NH57388A biofilms induced by histamine (10-4m) added to the LB medium. Addition of histamine to 48 h formed biofilms reduced anti-biofilm activities of gentamicin and azithromycin. Inoculation of G. mellonella with the PAO1 strain led to augmented histamine concentration in the haemolymph. Inoculation of histamine (10-8m) reduced the survival rate of G. mellonella infected with the PAO1 strain.

Conclusion: Histamine produced during periods of infection may augment P. aeruginosa virulence by promoting the biofilm mode of life of this bacterium.

Abstract Image

Abstract Image

Abstract Image

组胺促进铜绿假单胞菌生物膜的形成并使铜绿假单胞菌生物膜对庆大霉素和阿奇霉素更耐药。
目的:铜绿假单胞菌生物膜有助于囊性纤维化气道中这种细菌的持续存在。铜绿假单胞菌在体外产生组胺并表达组胺受体。我们研究了组胺是否在体外调节铜绿假单胞菌生物膜的形成,并参与了mellonella的细菌毒力。目的与方法:用结晶紫染色法测定细菌粘附在聚苯乙烯上的铜绿假单胞菌生物膜。ELISA法测定组胺浓度。在没有组胺或存在组胺的情况下,用铜绿假单胞菌接种后,测量了黑孢杆菌的存活率。结果:BHI肉汤中组胺浓度为140 ng/ml(1.3M)。在肉汤中加入二胺氧化酶(DAO)(一种分解组胺的酶),组胺浓度降低了约3倍,PAO1菌株生物膜降低了2倍。LB培养基中添加组胺(10-9 M - 10-4 M)增强了铜绿假单胞菌的生物膜。黏液NH57388A菌株和PAO1菌株在浓度为10-5 M和10-8 M时效果最大。在LB培养基中添加组胺(10-4 M)诱导的黏液NH57388A生物膜被DAO还原。生物膜形成48 h后加入组胺,庆大霉素和阿奇霉素的抗生物膜活性降低。用PAO1菌株接种大棉铃虫导致血淋巴组胺浓度升高。接种组胺(10-8 M)可降低感染PAO1菌株的大麦香杆菌的存活率。结论:感染期间产生的组胺可能通过促进铜绿假单胞菌的生物膜生活方式而增强其毒力。
本文章由计算机程序翻译,如有差异,请以英文原文为准。
求助全文
约1分钟内获得全文 求助全文
来源期刊
Medical Principles and Practice
Medical Principles and Practice 医学-医学:内科
CiteScore
6.10
自引率
0.00%
发文量
72
审稿时长
6-12 weeks
期刊介绍: ''Medical Principles and Practice'', as the journal of the Health Sciences Centre, Kuwait University, aims to be a publication of international repute that will be a medium for dissemination and exchange of scientific knowledge in the health sciences.
×
引用
GB/T 7714-2015
复制
MLA
复制
APA
复制
导出至
BibTeX EndNote RefMan NoteFirst NoteExpress
×
提示
您的信息不完整,为了账户安全,请先补充。
现在去补充
×
提示
您因"违规操作"
具体请查看互助需知
我知道了
×
提示
确定
请完成安全验证×
copy
已复制链接
快去分享给好友吧!
我知道了
右上角分享
点击右上角分享
0
联系我们:info@booksci.cn Book学术提供免费学术资源搜索服务,方便国内外学者检索中英文文献。致力于提供最便捷和优质的服务体验。 Copyright © 2023 布克学术 All rights reserved.
京ICP备2023020795号-1
ghs 京公网安备 11010802042870号
Book学术文献互助
Book学术文献互助群
群 号:604180095
Book学术官方微信