Velocity Loss as an Indicator of Resistance Training Volume in Women.

IF 2.8 3区 医学 Q2 SPORT SCIENCES
Journal of Human Kinetics Pub Date : 2024-12-06 eCollection Date: 2025-01-01 DOI:10.5114/jhk/190387
Beatriz Bachero-Mena, Luis Rodiles-Guerrero, Juan Sánchez-Valdepeñas, Pedro J Cornejo-Daza, Clara Cano-Castillo, Fernando Pareja-Blanco, Miguel Sánchez-Moreno
{"title":"Velocity Loss as an Indicator of Resistance Training Volume in Women.","authors":"Beatriz Bachero-Mena, Luis Rodiles-Guerrero, Juan Sánchez-Valdepeñas, Pedro J Cornejo-Daza, Clara Cano-Castillo, Fernando Pareja-Blanco, Miguel Sánchez-Moreno","doi":"10.5114/jhk/190387","DOIUrl":null,"url":null,"abstract":"<p><p>This study aimed to analyze the evolution of repetition velocity throughout a set until failure in the bench-press exercise and to analyze the relationships between the percentage of performed repetitions (%Rep) regarding the maximum number of repetitions that can be completed (MNR) and the percentage of velocity loss (VL) in women. Sixteen women performed one set until failure with four different intensities (50%, 60%, 70%, and 80% of one-repetition maximum, 1RM). Two-testing sessions were performed with 50% and 80% 1RM to evaluate data stability. The level of significance was set at p ≤ 0.05. A close relationship was observed between the magnitude of VL and the %Rep (R<sup>2</sup> = 0.85-0.92) and a low standard error of the estimation (6.85-9.81%). Regarding reliability, the MNR showed a coefficient of variation (CV) of 16.1% and 20.8% for 50% and 80% 1RM, respectively. Regarding the %Rep for a given VL (from 15% VL), CVs were: 6.3-19.6%, being higher when VL reached in the set was lower. This study shows the usefulness of monitoring VL to estimate, with considerable precision, the %Rep in women. However, the %Rep when a given VL was reached revealed only satisfactory absolute reliability from a certain VL threshold (>15% VL).</p>","PeriodicalId":16055,"journal":{"name":"Journal of Human Kinetics","volume":"95 ","pages":"111-122"},"PeriodicalIF":2.8000,"publicationDate":"2024-12-06","publicationTypes":"Journal Article","fieldsOfStudy":null,"isOpenAccess":false,"openAccessPdf":"https://www.ncbi.nlm.nih.gov/pmc/articles/PMC11812168/pdf/","citationCount":"0","resultStr":null,"platform":"Semanticscholar","paperid":null,"PeriodicalName":"Journal of Human Kinetics","FirstCategoryId":"3","ListUrlMain":"https://doi.org/10.5114/jhk/190387","RegionNum":3,"RegionCategory":"医学","ArticlePicture":[],"TitleCN":null,"AbstractTextCN":null,"PMCID":null,"EPubDate":"2025/1/1 0:00:00","PubModel":"eCollection","JCR":"Q2","JCRName":"SPORT SCIENCES","Score":null,"Total":0}
引用次数: 0

Abstract

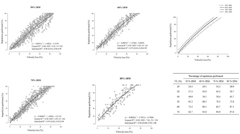
This study aimed to analyze the evolution of repetition velocity throughout a set until failure in the bench-press exercise and to analyze the relationships between the percentage of performed repetitions (%Rep) regarding the maximum number of repetitions that can be completed (MNR) and the percentage of velocity loss (VL) in women. Sixteen women performed one set until failure with four different intensities (50%, 60%, 70%, and 80% of one-repetition maximum, 1RM). Two-testing sessions were performed with 50% and 80% 1RM to evaluate data stability. The level of significance was set at p ≤ 0.05. A close relationship was observed between the magnitude of VL and the %Rep (R2 = 0.85-0.92) and a low standard error of the estimation (6.85-9.81%). Regarding reliability, the MNR showed a coefficient of variation (CV) of 16.1% and 20.8% for 50% and 80% 1RM, respectively. Regarding the %Rep for a given VL (from 15% VL), CVs were: 6.3-19.6%, being higher when VL reached in the set was lower. This study shows the usefulness of monitoring VL to estimate, with considerable precision, the %Rep in women. However, the %Rep when a given VL was reached revealed only satisfactory absolute reliability from a certain VL threshold (>15% VL).

Abstract Image

速度损失作为女性阻力训练量的指标。
本研究旨在分析在仰卧推训练中直到失败之前的重复速度演变,并分析女性可完成的最大重复次数百分比(%Rep)与速度损失百分比(VL)之间的关系。16名女性用四种不同的强度(50%,60%,70%和80%的单次重复最大值,1RM)进行一组直到失败。分别用50%和80%的1RM进行两次测试,以评估数据的稳定性。p≤0.05为显著性水平。VL的大小与%Rep之间关系密切(R2 = 0.85 ~ 0.92),估计的标准误差较低(6.85 ~ 9.81%)。在信度方面,对于50%和80%的rm, MNR的变异系数(CV)分别为16.1%和20.8%。关于给定VL的%Rep(从15% VL开始),cv为:6.3-19.6%,当集合中达到的VL较低时,cv越高。这项研究表明,监测VL对估计女性Rep的准确度相当高。然而,当达到给定VL时的%Rep仅显示从某个VL阈值(>15% VL)的绝对可靠性令人满意。
本文章由计算机程序翻译,如有差异,请以英文原文为准。
求助全文
约1分钟内获得全文 求助全文
来源期刊
Journal of Human Kinetics
Journal of Human Kinetics 医学-运动科学
CiteScore
4.80
自引率
0.00%
发文量
83
审稿时长
3 months
期刊介绍: The Journal of Human Kinetics is an open access interdisciplinary periodical offering the latest research in the science of human movement studies. This comprehensive professional journal features articles and research notes encompassing such topic areas as: Kinesiology, Exercise Physiology and Nutrition, Sports Training and Behavioural Sciences in Sport, but especially considering elite and competitive aspects of sport. The journal publishes original papers, invited reviews, short communications and letters to the Editors. Manuscripts submitted to the journal must contain novel data on theoretical or experimental research or on practical applications in the field of sport sciences. The Journal of Human Kinetics is published in March, June, September and December. We encourage scientists from around the world to submit their papers to our periodical.
×
引用
GB/T 7714-2015
复制
MLA
复制
APA
复制
导出至
BibTeX EndNote RefMan NoteFirst NoteExpress
×
提示
您的信息不完整,为了账户安全,请先补充。
现在去补充
×
提示
您因"违规操作"
具体请查看互助需知
我知道了
×
提示
确定
请完成安全验证×
copy
已复制链接
快去分享给好友吧!
我知道了
右上角分享
点击右上角分享
0
联系我们:info@booksci.cn Book学术提供免费学术资源搜索服务,方便国内外学者检索中英文文献。致力于提供最便捷和优质的服务体验。 Copyright © 2023 布克学术 All rights reserved.
京ICP备2023020795号-1
ghs 京公网安备 11010802042870号
Book学术文献互助
Book学术文献互助群
群 号:604180095
Book学术官方微信