Predicting Throwing Performance with Force-Velocity Mechanical Properties of the Upper Limb in Experienced Handball Players.

IF 2.8 3区 医学 Q2 SPORT SCIENCES
Journal of Human Kinetics Pub Date : 2024-12-06 eCollection Date: 2025-01-01 DOI:10.5114/jhk/190224
Qingshan Zhang, Robin Gassier, Noémie Eymard, Félicie Pommel, Philippe Berthier, Abderrahmane Rahmani, Christophe A Hautier
{"title":"Predicting Throwing Performance with Force-Velocity Mechanical Properties of the Upper Limb in Experienced Handball Players.","authors":"Qingshan Zhang, Robin Gassier, Noémie Eymard, Félicie Pommel, Philippe Berthier, Abderrahmane Rahmani, Christophe A Hautier","doi":"10.5114/jhk/190224","DOIUrl":null,"url":null,"abstract":"<p><p>This study investigated the relationship between force-power-velocity (F-P-V) mechanical variables measured during the ballistic bench press throw (BPT), shoulder isokinetic rotation strength, and the throwing velocity in handball players. Twenty-seven experienced male handball players (age: 20.0 ± 3.2 yrs, body height: 180.5 ± 6.3 cm, body mass: 73.9 ± 7.9 kg) volunteered for the investigation. F-P-V mechanical variables (i.e., theoretical maximal force [F0], velocity [V0], power [P<sub>max</sub>]) were obtained during the single-arm BPT and an isokinetic shoulder isokinetic internal rotation test. Throwing performance was assessed for the standing and 3-step throwing velocity. Participants were divided into a \"High/Fast\" and a \"Low/Slow\" group considering their throwing performance based on a median split analysis. A strong correlation was found between V<sub>0</sub> obtained from the BPT and maximal throwing velocity for standing throwing (r<sup>2</sup> = 0.51, f<sup>2</sup> = 1.04) and three-step throwing (r<sup>2</sup> = 0.46, f<sup>2</sup> = 0.85). At the same time, P<sub>max</sub> obtained from the BPT had a weak association with three-step throwing performance (r<sup>2</sup> = 0.18, f<sup>2</sup> = 0.22). Furthermore, no significant correlation was found between all the mechanical variables obtained from the isokinetic rotation and throwing performance (all p-values > 0.05). The High/Fast group showed that only V<sub>0</sub> and P<sub>max</sub> obtained from the ballistic BPT had a small to moderate effect size (ES [0.06 0.23]) compared to the Low/Slow group. This finding indicates the importance of measuring the upper limb F-P-V profile obtained from the BPT in predicting throwing performance. Thus, training programs should focus on F-P-V mechanical properties to design specific training methods to optimize throwing performance in handball players.</p>","PeriodicalId":16055,"journal":{"name":"Journal of Human Kinetics","volume":"95 ","pages":"43-53"},"PeriodicalIF":2.8000,"publicationDate":"2024-12-06","publicationTypes":"Journal Article","fieldsOfStudy":null,"isOpenAccess":false,"openAccessPdf":"https://www.ncbi.nlm.nih.gov/pmc/articles/PMC11812159/pdf/","citationCount":"0","resultStr":null,"platform":"Semanticscholar","paperid":null,"PeriodicalName":"Journal of Human Kinetics","FirstCategoryId":"3","ListUrlMain":"https://doi.org/10.5114/jhk/190224","RegionNum":3,"RegionCategory":"医学","ArticlePicture":[],"TitleCN":null,"AbstractTextCN":null,"PMCID":null,"EPubDate":"2025/1/1 0:00:00","PubModel":"eCollection","JCR":"Q2","JCRName":"SPORT SCIENCES","Score":null,"Total":0}
引用次数: 0

Abstract

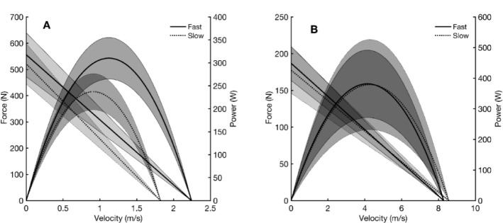
This study investigated the relationship between force-power-velocity (F-P-V) mechanical variables measured during the ballistic bench press throw (BPT), shoulder isokinetic rotation strength, and the throwing velocity in handball players. Twenty-seven experienced male handball players (age: 20.0 ± 3.2 yrs, body height: 180.5 ± 6.3 cm, body mass: 73.9 ± 7.9 kg) volunteered for the investigation. F-P-V mechanical variables (i.e., theoretical maximal force [F0], velocity [V0], power [Pmax]) were obtained during the single-arm BPT and an isokinetic shoulder isokinetic internal rotation test. Throwing performance was assessed for the standing and 3-step throwing velocity. Participants were divided into a "High/Fast" and a "Low/Slow" group considering their throwing performance based on a median split analysis. A strong correlation was found between V0 obtained from the BPT and maximal throwing velocity for standing throwing (r2 = 0.51, f2 = 1.04) and three-step throwing (r2 = 0.46, f2 = 0.85). At the same time, Pmax obtained from the BPT had a weak association with three-step throwing performance (r2 = 0.18, f2 = 0.22). Furthermore, no significant correlation was found between all the mechanical variables obtained from the isokinetic rotation and throwing performance (all p-values > 0.05). The High/Fast group showed that only V0 and Pmax obtained from the ballistic BPT had a small to moderate effect size (ES [0.06 0.23]) compared to the Low/Slow group. This finding indicates the importance of measuring the upper limb F-P-V profile obtained from the BPT in predicting throwing performance. Thus, training programs should focus on F-P-V mechanical properties to design specific training methods to optimize throwing performance in handball players.

Abstract Image

Abstract Image

用经验手球运动员上肢力-速度力学特性预测投掷成绩。
本研究探讨了手球运动员在弹道卧推投掷(BPT)过程中测量的力-功率-速度(F-P-V)力学变量、肩部等速旋转强度和投掷速度之间的关系。27名有经验的男子手球运动员(年龄:20.0±3.2岁,身高:180.5±6.3 cm,体重:73.9±7.9 kg)自愿参加调查。在单臂BPT和等速肩部等速内旋试验中获得了F-P-V力学变量(即理论最大力[F0],速度[V0],功率[Pmax])。以站立投掷速度和三步投掷速度评价投掷成绩。根据中位数分裂分析,将参与者分为“高/快”组和“低/慢”组。BPT测得的V0与立定投掷(r2 = 0.51, f2 = 1.04)和三步投掷(r2 = 0.46, f2 = 0.85)的最大投掷速度有较强的相关性。同时,BPT获得的Pmax与三步投掷成绩有弱相关性(r2 = 0.18, f2 = 0.22)。此外,从等速旋转中获得的所有力学变量与投掷性能之间没有显著相关性(p值均为> 0.05)。高/快组显示,与低/慢组相比,只有从弹道BPT获得的V0和Pmax具有小到中等的效应大小(ES[0.06 0.23])。这一发现表明,测量从BPT获得的上肢F-P-V分布在预测投掷成绩中的重要性。因此,训练计划应侧重于F-P-V力学特性,以设计特定的训练方法来优化手球运动员的投掷性能。
本文章由计算机程序翻译,如有差异,请以英文原文为准。
求助全文
约1分钟内获得全文 求助全文
来源期刊
Journal of Human Kinetics
Journal of Human Kinetics 医学-运动科学
CiteScore
4.80
自引率
0.00%
发文量
83
审稿时长
3 months
期刊介绍: The Journal of Human Kinetics is an open access interdisciplinary periodical offering the latest research in the science of human movement studies. This comprehensive professional journal features articles and research notes encompassing such topic areas as: Kinesiology, Exercise Physiology and Nutrition, Sports Training and Behavioural Sciences in Sport, but especially considering elite and competitive aspects of sport. The journal publishes original papers, invited reviews, short communications and letters to the Editors. Manuscripts submitted to the journal must contain novel data on theoretical or experimental research or on practical applications in the field of sport sciences. The Journal of Human Kinetics is published in March, June, September and December. We encourage scientists from around the world to submit their papers to our periodical.
×
引用
GB/T 7714-2015
复制
MLA
复制
APA
复制
导出至
BibTeX EndNote RefMan NoteFirst NoteExpress
×
提示
您的信息不完整,为了账户安全,请先补充。
现在去补充
×
提示
您因"违规操作"
具体请查看互助需知
我知道了
×
提示
确定
请完成安全验证×
copy
已复制链接
快去分享给好友吧!
我知道了
右上角分享
点击右上角分享
0
联系我们:info@booksci.cn Book学术提供免费学术资源搜索服务,方便国内外学者检索中英文文献。致力于提供最便捷和优质的服务体验。 Copyright © 2023 布克学术 All rights reserved.
京ICP备2023020795号-1
ghs 京公网安备 11010802042870号
Book学术文献互助
Book学术文献互助群
群 号:604180095
Book学术官方微信