Effects of supplement L-theanine on cognitive anxiety, salivary alpha-amylase, and cortisol in archery competition.

Physical activity and nutrition Pub Date : 2024-12-01 Epub Date: 2024-12-31 DOI:10.20463/pan.2024.0034
In-Soo Lim
{"title":"Effects of supplement L-theanine on cognitive anxiety, salivary alpha-amylase, and cortisol in archery competition.","authors":"In-Soo Lim","doi":"10.20463/pan.2024.0034","DOIUrl":null,"url":null,"abstract":"<p><strong>Purpose: </strong>Archery is a representative sport requiring high levels of concentration. Accordingly, assessing participants' physiological and psychological factors related to tension, anxiety, and stress represents a valuable resource for enhancing performance. This study examines the impact of L-theanine administration on archers&apos; cognitive anxiety levels, salivary alpha-amylase (sAA), and salivary cortisol (sC) in archery competition.</p><p><strong>Methods: </strong>The study included 18 athletes from women&apos;s colleges who participated in the 50-meter individual competition at the 40th president&apos;s cup national archery competition in June 2023. Athletes' anxiety levels were assessed on a Likert scale, ranging from 1 \"not at all\" to 10 \"extremely anxious.\" Saliva samples were collected 30, 20, and 10 minutes before and 20 minutes after the game. Repeated measures of the general linear model ANOVA were performed to compare the mean values of sAA and anxiety level.</p><p><strong>Results: </strong>Cognitive anxiety levels were significantly reduced in the treatment compared to the placebo group at 10 minutes before the game (p&lt;.05); sAA levels were significantly reduced in the treatment group compared to the placebo group at 20 and 10 minutes before the game (pre-20 and pre-10, respectively); and sC levels were significantly reduced in the treatment compared to the placebo group at 10 minutes before the game (p&lt;.05).</p><p><strong>Conclusion: </strong>The findings demonstrate that L-theanine treatment is an efficacious intervention for reducing cognitive anxiety, sAA, and sC levels in sports. Therefore, it is recommended to alleviate competitive anxiety in sports requiring high concentration levels such as archery.</p>","PeriodicalId":74444,"journal":{"name":"Physical activity and nutrition","volume":"28 4","pages":"70-74"},"PeriodicalIF":0.0000,"publicationDate":"2024-12-01","publicationTypes":"Journal Article","fieldsOfStudy":null,"isOpenAccess":false,"openAccessPdf":"https://www.ncbi.nlm.nih.gov/pmc/articles/PMC11811612/pdf/","citationCount":"0","resultStr":null,"platform":"Semanticscholar","paperid":null,"PeriodicalName":"Physical activity and nutrition","FirstCategoryId":"1085","ListUrlMain":"https://doi.org/10.20463/pan.2024.0034","RegionNum":0,"RegionCategory":null,"ArticlePicture":[],"TitleCN":null,"AbstractTextCN":null,"PMCID":null,"EPubDate":"2024/12/31 0:00:00","PubModel":"Epub","JCR":"","JCRName":"","Score":null,"Total":0}
引用次数: 0

Abstract

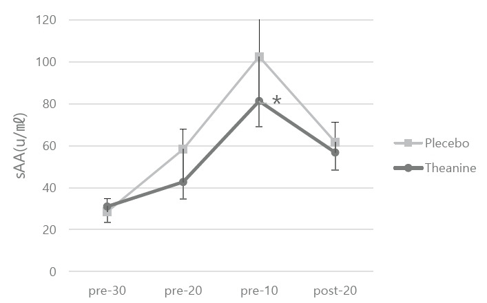
Purpose: Archery is a representative sport requiring high levels of concentration. Accordingly, assessing participants' physiological and psychological factors related to tension, anxiety, and stress represents a valuable resource for enhancing performance. This study examines the impact of L-theanine administration on archers' cognitive anxiety levels, salivary alpha-amylase (sAA), and salivary cortisol (sC) in archery competition.

Methods: The study included 18 athletes from women's colleges who participated in the 50-meter individual competition at the 40th president's cup national archery competition in June 2023. Athletes' anxiety levels were assessed on a Likert scale, ranging from 1 "not at all" to 10 "extremely anxious." Saliva samples were collected 30, 20, and 10 minutes before and 20 minutes after the game. Repeated measures of the general linear model ANOVA were performed to compare the mean values of sAA and anxiety level.

Results: Cognitive anxiety levels were significantly reduced in the treatment compared to the placebo group at 10 minutes before the game (p<.05); sAA levels were significantly reduced in the treatment group compared to the placebo group at 20 and 10 minutes before the game (pre-20 and pre-10, respectively); and sC levels were significantly reduced in the treatment compared to the placebo group at 10 minutes before the game (p<.05).

Conclusion: The findings demonstrate that L-theanine treatment is an efficacious intervention for reducing cognitive anxiety, sAA, and sC levels in sports. Therefore, it is recommended to alleviate competitive anxiety in sports requiring high concentration levels such as archery.

Abstract Image

Abstract Image

Abstract Image

补充l -茶氨酸对射箭比赛中认知焦虑、唾液α -淀粉酶和皮质醇的影响。
目的:射箭是一项需要高度集中注意力的代表性运动。因此,评估参与者与紧张、焦虑和压力相关的生理和心理因素是提高表现的宝贵资源。本研究探讨了l -茶氨酸给药对心血管疾病的影响;射箭比赛中的认知焦虑水平、唾液α -淀粉酶(sAA)和唾液皮质醇(sC)。方法:以2023年6月参加第40届总统杯全国射箭比赛50米个人比赛的18名女子射箭院校运动员为研究对象。运动员的焦虑水平用李克特量表进行评估,从1分“完全不焦虑”到10分“极度焦虑”。在比赛前30分钟、20分钟、10分钟和20分钟后分别采集唾液样本。采用一般线性模型方差分析进行重复测量,比较sAA和焦虑水平的平均值。结果:与安慰剂组相比,治疗组在游戏前10分钟的认知焦虑水平显著降低(p< 0.05);与安慰剂组相比,治疗组的sAA水平在游戏前20分钟和10分钟显著降低(分别为20分钟前和10分钟前);与安慰剂组相比,治疗组在游戏前10分钟的sC水平显著降低(p< 0.05)。结论:研究结果表明,l -茶氨酸治疗是降低运动认知焦虑、sAA和sC水平的有效干预措施。因此,建议在射箭等需要高度集中的运动中缓解竞争焦虑。
本文章由计算机程序翻译,如有差异,请以英文原文为准。
求助全文
约1分钟内获得全文 求助全文
来源期刊
CiteScore
2.00
自引率
0.00%
发文量
0
×
引用
GB/T 7714-2015
复制
MLA
复制
APA
复制
导出至
BibTeX EndNote RefMan NoteFirst NoteExpress
×
提示
您的信息不完整,为了账户安全,请先补充。
现在去补充
×
提示
您因"违规操作"
具体请查看互助需知
我知道了
×
提示
确定
请完成安全验证×
copy
已复制链接
快去分享给好友吧!
我知道了
右上角分享
点击右上角分享
0
联系我们:info@booksci.cn Book学术提供免费学术资源搜索服务,方便国内外学者检索中英文文献。致力于提供最便捷和优质的服务体验。 Copyright © 2023 布克学术 All rights reserved.
京ICP备2023020795号-1
ghs 京公网安备 11010802042870号
Book学术文献互助
Book学术文献互助群
群 号:604180095
Book学术官方微信