Nonreciprocal unconventional photon blockade in a spinning microwave magnomechanical system.

IF 3.9 2区 综合性期刊 Q1 MULTIDISCIPLINARY SCIENCES
Rui Hou, Wei Zhang, Xue Han, Hong-Fu Wang, Shou Zhang
{"title":"Nonreciprocal unconventional photon blockade in a spinning microwave magnomechanical system.","authors":"Rui Hou, Wei Zhang, Xue Han, Hong-Fu Wang, Shou Zhang","doi":"10.1038/s41598-025-89185-9","DOIUrl":null,"url":null,"abstract":"<p><p>We propose a method for realizing the nonreciprocal unconventional photon blockade (NUPB) effect in a spinning microwave magnomechanical system. We determine the optimal parameter conditions for achieving this effect and observe that the numerical solutions are in excellent agreement with the analytical results. Under these optimal conditions, driving the system from the right induces photon antibunching, while driving from the left with identical amplitude leads to photon bunching. This pronounced asymmetry gives rise to NUPB, which arises from the combined effects of destructive quantum interference in two-photon excitation pathways and the Sagnac effect. Furthermore, NUPB can be tuned by adjusting the angular velocity of the microwave resonator. This work provides significant theoretical support for the realization of nonreciprocal single-photon sources and opens new avenues for the design and application of nonreciprocal quantum devices.</p>","PeriodicalId":21811,"journal":{"name":"Scientific Reports","volume":"15 1","pages":"5145"},"PeriodicalIF":3.9000,"publicationDate":"2025-02-12","publicationTypes":"Journal Article","fieldsOfStudy":null,"isOpenAccess":false,"openAccessPdf":"https://www.ncbi.nlm.nih.gov/pmc/articles/PMC11814314/pdf/","citationCount":"0","resultStr":null,"platform":"Semanticscholar","paperid":null,"PeriodicalName":"Scientific Reports","FirstCategoryId":"103","ListUrlMain":"https://doi.org/10.1038/s41598-025-89185-9","RegionNum":2,"RegionCategory":"综合性期刊","ArticlePicture":[],"TitleCN":null,"AbstractTextCN":null,"PMCID":null,"EPubDate":"","PubModel":"","JCR":"Q1","JCRName":"MULTIDISCIPLINARY SCIENCES","Score":null,"Total":0}
引用次数: 0

Abstract

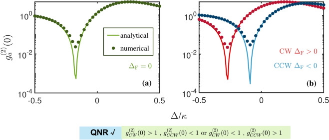
We propose a method for realizing the nonreciprocal unconventional photon blockade (NUPB) effect in a spinning microwave magnomechanical system. We determine the optimal parameter conditions for achieving this effect and observe that the numerical solutions are in excellent agreement with the analytical results. Under these optimal conditions, driving the system from the right induces photon antibunching, while driving from the left with identical amplitude leads to photon bunching. This pronounced asymmetry gives rise to NUPB, which arises from the combined effects of destructive quantum interference in two-photon excitation pathways and the Sagnac effect. Furthermore, NUPB can be tuned by adjusting the angular velocity of the microwave resonator. This work provides significant theoretical support for the realization of nonreciprocal single-photon sources and opens new avenues for the design and application of nonreciprocal quantum devices.

Abstract Image

Abstract Image

Abstract Image

自旋微波磁机械系统中的非互反非常规光子阻滞。
提出了一种在自旋微波磁机械系统中实现非互易非常规光子阻滞(NUPB)效应的方法。我们确定了达到这一效果的最佳参数条件,并观察到数值解与解析结果非常吻合。在此最优条件下,从右侧驱动系统引起光子反聚束,而从相同振幅的左侧驱动系统引起光子聚束。这种明显的不对称性产生了NUPB,它是由双光子激发途径中的破坏性量子干涉和Sagnac效应的综合效应引起的。此外,可以通过调节微波谐振器的角速度来调节NUPB。这项工作为非倒易单光子源的实现提供了重要的理论支持,为非倒易量子器件的设计和应用开辟了新的途径。
本文章由计算机程序翻译,如有差异,请以英文原文为准。
求助全文
约1分钟内获得全文 求助全文
来源期刊
Scientific Reports
Scientific Reports Natural Science Disciplines-
CiteScore
7.50
自引率
4.30%
发文量
19567
审稿时长
3.9 months
期刊介绍: We publish original research from all areas of the natural sciences, psychology, medicine and engineering. You can learn more about what we publish by browsing our specific scientific subject areas below or explore Scientific Reports by browsing all articles and collections. Scientific Reports has a 2-year impact factor: 4.380 (2021), and is the 6th most-cited journal in the world, with more than 540,000 citations in 2020 (Clarivate Analytics, 2021). •Engineering Engineering covers all aspects of engineering, technology, and applied science. It plays a crucial role in the development of technologies to address some of the world''s biggest challenges, helping to save lives and improve the way we live. •Physical sciences Physical sciences are those academic disciplines that aim to uncover the underlying laws of nature — often written in the language of mathematics. It is a collective term for areas of study including astronomy, chemistry, materials science and physics. •Earth and environmental sciences Earth and environmental sciences cover all aspects of Earth and planetary science and broadly encompass solid Earth processes, surface and atmospheric dynamics, Earth system history, climate and climate change, marine and freshwater systems, and ecology. It also considers the interactions between humans and these systems. •Biological sciences Biological sciences encompass all the divisions of natural sciences examining various aspects of vital processes. The concept includes anatomy, physiology, cell biology, biochemistry and biophysics, and covers all organisms from microorganisms, animals to plants. •Health sciences The health sciences study health, disease and healthcare. This field of study aims to develop knowledge, interventions and technology for use in healthcare to improve the treatment of patients.
×
引用
GB/T 7714-2015
复制
MLA
复制
APA
复制
导出至
BibTeX EndNote RefMan NoteFirst NoteExpress
×
提示
您的信息不完整,为了账户安全,请先补充。
现在去补充
×
提示
您因"违规操作"
具体请查看互助需知
我知道了
×
提示
确定
请完成安全验证×
copy
已复制链接
快去分享给好友吧!
我知道了
右上角分享
点击右上角分享
0
联系我们:info@booksci.cn Book学术提供免费学术资源搜索服务,方便国内外学者检索中英文文献。致力于提供最便捷和优质的服务体验。 Copyright © 2023 布克学术 All rights reserved.
京ICP备2023020795号-1
ghs 京公网安备 11010802042870号
Book学术文献互助
Book学术文献互助群
群 号:604180095
Book学术官方微信