Evaluation of the Relationship between CD44 Expression and Gleason Grade among Prostate Adenocarcinoma and Benign Prostatic Hyperplasia: A Cross-Sectional Study.

IF 2.2 3区 医学 Q1 MEDICINE, GENERAL & INTERNAL
Medical Principles and Practice Pub Date : 2025-01-01 Epub Date: 2025-02-11 DOI:10.1159/000544021
Joben Kianparsa, Masood Soltanipur, Mohammadreza Jalali Nadoushan
{"title":"Evaluation of the Relationship between CD44 Expression and Gleason Grade among Prostate Adenocarcinoma and Benign Prostatic Hyperplasia: A Cross-Sectional Study.","authors":"Joben Kianparsa, Masood Soltanipur, Mohammadreza Jalali Nadoushan","doi":"10.1159/000544021","DOIUrl":null,"url":null,"abstract":"<p><strong>Introduction: </strong>This study aimed to investigate the expression of cluster of differentiation 44 (CD44) in prostate adenocarcinoma (PAC) compared to benign prostatic hyperplasia (BPH) to address the need for biomarkers that can aid in grading classification and prognosis.</p><p><strong>Methods: </strong>In this cross-sectional study, the CD44 expression in the tissue samples of the PAC and BPH was examined with hematoxylin and eosin and immunohistochemistry methods. The Gleason scores and grades and percentage of CD44 expression for specimens were determined. Data were analyzed using IBM SPSS version 23.0 software.</p><p><strong>Results: </strong>This study included 80 PAC and 83 BPH samples. The mean expression of CD44 in PAC samples was significantly lower than in BPH samples (28.59 ± 14.84 vs. 47.82 ± 14.65, p < 0.001). A moderate to strong significant negative correlation was found between CD44 expression and total Gleason scores and Gleason grade groups (r: -0.743, p < 0.001; r: -0.732, p < 0.001, respectively). Ordinal logistic regression showed that lower CD44 expression was associated with higher odds of advanced disease (OR = 0.884, p < 0.001).</p><p><strong>Conclusion: </strong>This study highlights CD44 expression not only as a potential biomarker for PAC diagnosis but also potential guide to therapeutic decision-making. Patients exhibiting lower CD44 levels may require closer monitoring and more aggressive treatment strategies, while those with higher expression may be candidates for less intensive management. Overall, our findings advocate for further investigation into CD44 as a biomarker for prostate cancer aggressiveness, which could ultimately enhance personalized treatment approaches and improve the patient outcomes.</p>","PeriodicalId":18455,"journal":{"name":"Medical Principles and Practice","volume":" ","pages":"271-280"},"PeriodicalIF":2.2000,"publicationDate":"2025-01-01","publicationTypes":"Journal Article","fieldsOfStudy":null,"isOpenAccess":false,"openAccessPdf":"https://www.ncbi.nlm.nih.gov/pmc/articles/PMC12133131/pdf/","citationCount":"0","resultStr":null,"platform":"Semanticscholar","paperid":null,"PeriodicalName":"Medical Principles and Practice","FirstCategoryId":"3","ListUrlMain":"https://doi.org/10.1159/000544021","RegionNum":3,"RegionCategory":"医学","ArticlePicture":[],"TitleCN":null,"AbstractTextCN":null,"PMCID":null,"EPubDate":"2025/2/11 0:00:00","PubModel":"Epub","JCR":"Q1","JCRName":"MEDICINE, GENERAL & INTERNAL","Score":null,"Total":0}
引用次数: 0

Abstract

Introduction: This study aimed to investigate the expression of cluster of differentiation 44 (CD44) in prostate adenocarcinoma (PAC) compared to benign prostatic hyperplasia (BPH) to address the need for biomarkers that can aid in grading classification and prognosis.

Methods: In this cross-sectional study, the CD44 expression in the tissue samples of the PAC and BPH was examined with hematoxylin and eosin and immunohistochemistry methods. The Gleason scores and grades and percentage of CD44 expression for specimens were determined. Data were analyzed using IBM SPSS version 23.0 software.

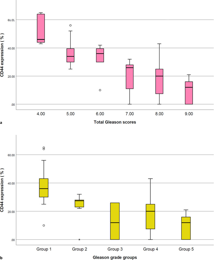
Results: This study included 80 PAC and 83 BPH samples. The mean expression of CD44 in PAC samples was significantly lower than in BPH samples (28.59 ± 14.84 vs. 47.82 ± 14.65, p < 0.001). A moderate to strong significant negative correlation was found between CD44 expression and total Gleason scores and Gleason grade groups (r: -0.743, p < 0.001; r: -0.732, p < 0.001, respectively). Ordinal logistic regression showed that lower CD44 expression was associated with higher odds of advanced disease (OR = 0.884, p < 0.001).

Conclusion: This study highlights CD44 expression not only as a potential biomarker for PAC diagnosis but also potential guide to therapeutic decision-making. Patients exhibiting lower CD44 levels may require closer monitoring and more aggressive treatment strategies, while those with higher expression may be candidates for less intensive management. Overall, our findings advocate for further investigation into CD44 as a biomarker for prostate cancer aggressiveness, which could ultimately enhance personalized treatment approaches and improve the patient outcomes.

Abstract Image

Abstract Image

前列腺腺癌和良性前列腺增生组织中CD44表达与Gleason分级关系的横断面研究
背景:本研究旨在探讨前列腺腺癌(PAC)与良性前列腺增生(BPH)中CD44 (cluster of differentiation 44)的表达情况,以寻求有助于分级、分类和预后的生物标志物。方法:在横断面研究中,采用苏木精法检测PAC和BPH组织样本中CD44的表达;伊红和免疫组织化学方法。测定标本的Gleason评分、分级及CD44表达百分比。数据分析采用IBM SPSS 23.0软件。结果:本研究包括80例PAC和83例BPH样本。CD44在PAC中的平均表达量明显低于BPH(28.59±14.84 vs 47.82±14.65,p < 0.001)。CD44表达与Gleason总评分和Gleason分级组呈中至强显著负相关(r: - 0.743, p < 0.001;R: - 0.732, p < 0.001)。有序逻辑回归显示,CD44表达较低与晚期疾病的高发生率相关(OR= 0.884, p < 0.001)。结论:本研究强调CD44表达不仅是PAC诊断的潜在生物标志物,而且是治疗决策的潜在指导。表现出较低CD44水平的患者可能需要更密切的监测和更积极的治疗策略,而那些表达较高的患者可能需要不那么强化的管理。总的来说,我们的研究结果支持进一步研究CD44作为前列腺癌侵袭性的生物标志物,最终可以增强个性化治疗方法并改善患者预后。
本文章由计算机程序翻译,如有差异,请以英文原文为准。
求助全文
约1分钟内获得全文 求助全文
来源期刊
Medical Principles and Practice
Medical Principles and Practice 医学-医学:内科
CiteScore
6.10
自引率
0.00%
发文量
72
审稿时长
6-12 weeks
期刊介绍: ''Medical Principles and Practice'', as the journal of the Health Sciences Centre, Kuwait University, aims to be a publication of international repute that will be a medium for dissemination and exchange of scientific knowledge in the health sciences.
×
引用
GB/T 7714-2015
复制
MLA
复制
APA
复制
导出至
BibTeX EndNote RefMan NoteFirst NoteExpress
×
提示
您的信息不完整,为了账户安全,请先补充。
现在去补充
×
提示
您因"违规操作"
具体请查看互助需知
我知道了
×
提示
确定
请完成安全验证×
copy
已复制链接
快去分享给好友吧!
我知道了
右上角分享
点击右上角分享
0
联系我们:info@booksci.cn Book学术提供免费学术资源搜索服务,方便国内外学者检索中英文文献。致力于提供最便捷和优质的服务体验。 Copyright © 2023 布克学术 All rights reserved.
京ICP备2023020795号-1
ghs 京公网安备 11010802042870号
Book学术文献互助
Book学术文献互助群
群 号:604180095
Book学术官方微信