Sperm vitrification of Prochilodus brevis: influence of diluent, stored volume and supplementation with sulfated polysaccharides of Nile tilapia (Oreochromis niloticus) skin.

IF 2.1 4区 农林科学 Q2 AGRICULTURE, DAIRY & ANIMAL SCIENCE
Animal Reproduction Pub Date : 2025-02-07 eCollection Date: 2025-01-01 DOI:10.1590/1984-3143-AR2024-0075
Priscila Silva de Almeida-Monteiro, Romulo Roberto Ribeiro Pinheiro, Mayara Setúbal Oliveira-Araújo, Thais Maia Torres, Renata Vieira do Nascimento, Vanessa Alves Pereira, Yasmim Maia Ferreira, Yara Silvino Sales, Jéssica Sales Lobato, Ianna Wivianne Fernandes Araújo, José Ariévilo Gurgel Rodrigues, Assis Rubens Montenegro, Carminda Sandra Brito Salmito-Vanderley
{"title":"Sperm vitrification <i>of Prochilodus brevis</i>: influence of diluent, stored volume and supplementation with sulfated polysaccharides of Nile tilapia (<i>Oreochromis niloticus</i>) skin.","authors":"Priscila Silva de Almeida-Monteiro, Romulo Roberto Ribeiro Pinheiro, Mayara Setúbal Oliveira-Araújo, Thais Maia Torres, Renata Vieira do Nascimento, Vanessa Alves Pereira, Yasmim Maia Ferreira, Yara Silvino Sales, Jéssica Sales Lobato, Ianna Wivianne Fernandes Araújo, José Ariévilo Gurgel Rodrigues, Assis Rubens Montenegro, Carminda Sandra Brito Salmito-Vanderley","doi":"10.1590/1984-3143-AR2024-0075","DOIUrl":null,"url":null,"abstract":"<p><p>The aim of this study was to evaluate the influence of diluent, stored volume and the cryodiluent medium supplementation with sulfated polysaccharides (SP) extracted from Nile tilapia skin on <i>P. brevis</i> vitrified sperm. Six pools were diluted in 5% Glucose or Powder Coconut Water (ACP-104), supplemented or not with 0.5 mg/mL of SP, and submitted to vitrification. Subsequently, they were stored in cryotubes in two volumes (60 μL and 420 μL). After 15 days, the samples were devitrified and evaluated for kinetics, membrane integrity and sperm DNA integrity. ACP-104 proved to be the best diluent for <i>P. brevis</i> sperm vitrification. Membrane and DNA integrity rates were higher (P < 0.05) when stored in smaller and larger volume, respectively. Additionally, the best rates (P < 0.05) of these same parameters were obtained with supplemented medium. There was interaction (P < 0.05) between diluent and stored volume, with ACP-104 exceeding 5% Glucose for motility in both volumes, while for average path speed (VAP) and membrane integrity the same happened in the larger volume. 5% Glucose had higher VAP and membrane integrity when stored in smaller volume. There was a triple interaction (P < 0.05) for DNA integrity, and better results were obtained when semen was vitrified in ACP-104 and stored in the larger volume, regardless of supplementation, which influenced only the 5% Glucose medium in the smaller volume. It was concluded that ACP-104, supplemented with SP and stored in larger volume make up the best treatment for <i>P. brevis</i> sperm vitrification.</p>","PeriodicalId":7889,"journal":{"name":"Animal Reproduction","volume":"22 1","pages":"e20240075"},"PeriodicalIF":2.1000,"publicationDate":"2025-02-07","publicationTypes":"Journal Article","fieldsOfStudy":null,"isOpenAccess":false,"openAccessPdf":"https://www.ncbi.nlm.nih.gov/pmc/articles/PMC11813166/pdf/","citationCount":"0","resultStr":null,"platform":"Semanticscholar","paperid":null,"PeriodicalName":"Animal Reproduction","FirstCategoryId":"97","ListUrlMain":"https://doi.org/10.1590/1984-3143-AR2024-0075","RegionNum":4,"RegionCategory":"农林科学","ArticlePicture":[],"TitleCN":null,"AbstractTextCN":null,"PMCID":null,"EPubDate":"2025/1/1 0:00:00","PubModel":"eCollection","JCR":"Q2","JCRName":"AGRICULTURE, DAIRY & ANIMAL SCIENCE","Score":null,"Total":0}
引用次数: 0

Abstract

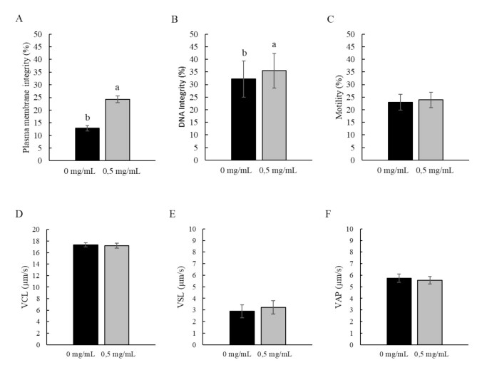
The aim of this study was to evaluate the influence of diluent, stored volume and the cryodiluent medium supplementation with sulfated polysaccharides (SP) extracted from Nile tilapia skin on P. brevis vitrified sperm. Six pools were diluted in 5% Glucose or Powder Coconut Water (ACP-104), supplemented or not with 0.5 mg/mL of SP, and submitted to vitrification. Subsequently, they were stored in cryotubes in two volumes (60 μL and 420 μL). After 15 days, the samples were devitrified and evaluated for kinetics, membrane integrity and sperm DNA integrity. ACP-104 proved to be the best diluent for P. brevis sperm vitrification. Membrane and DNA integrity rates were higher (P < 0.05) when stored in smaller and larger volume, respectively. Additionally, the best rates (P < 0.05) of these same parameters were obtained with supplemented medium. There was interaction (P < 0.05) between diluent and stored volume, with ACP-104 exceeding 5% Glucose for motility in both volumes, while for average path speed (VAP) and membrane integrity the same happened in the larger volume. 5% Glucose had higher VAP and membrane integrity when stored in smaller volume. There was a triple interaction (P < 0.05) for DNA integrity, and better results were obtained when semen was vitrified in ACP-104 and stored in the larger volume, regardless of supplementation, which influenced only the 5% Glucose medium in the smaller volume. It was concluded that ACP-104, supplemented with SP and stored in larger volume make up the best treatment for P. brevis sperm vitrification.

Abstract Image

Abstract Image

Abstract Image

Prochilodus brevis 的精子玻璃化:稀释剂、储存量和补充尼罗罗非鱼(Oreochromis niloticus)皮肤硫酸化多糖的影响。
本研究的目的是评价稀释剂、储存量以及在冷冻稀释剂中添加从尼罗罗非鱼皮肤中提取的硫酸多糖(SP)对短须鱼玻璃化精子的影响。用5%葡萄糖或粉末椰子水(ACP-104)稀释6个池,添加或不添加0.5 mg/mL SP,玻璃化保存。分别以60 μL和420 μL的体积保存于低温试管中。15天后,将样品脱氮并评估动力学、膜完整性和精子DNA完整性。ACP-104是短蛸精子玻璃化的最佳稀释剂。体积越小、体积越大,膜和DNA完整性率越高(P < 0.05)。在添加培养基的情况下,这些参数的回收率最高(P < 0.05)。稀释液与储存体积之间存在交互作用(P < 0.05),两个体积内ACP-104的运动性均超过5%葡萄糖,而在更大体积内,平均路径速度(VAP)和膜完整性也相同。5%葡萄糖在小体积储存时具有较高的VAP和膜完整性。在DNA完整性方面存在三重相互作用(P < 0.05),且精液在ACP-104中玻璃化并保存在较大体积时,无论是否添加,都能获得更好的结果,仅影响较小体积的5%葡萄糖培养基。结果表明,ACP-104加SP和大体积保存是短蛸精子玻璃化的最佳处理方法。
本文章由计算机程序翻译,如有差异,请以英文原文为准。
求助全文
约1分钟内获得全文 求助全文
来源期刊
Animal Reproduction
Animal Reproduction AGRICULTURE, DAIRY & ANIMAL SCIENCE-
CiteScore
2.30
自引率
11.80%
发文量
49
审稿时长
70 days
期刊介绍: Animal Reproduction (AR) publishes original scientific papers and invited literature reviews, in the form of Basic Research, Biotechnology, Applied Research and Review Articles, with the goal of contributing to a better understanding of phenomena related to animal reproduction. The scope of the journal applies to students, researchers and practitioners in the fields of veterinary, biology and animal science, also being of interest to practitioners of human medicine. Animal Reproduction Journal is the official organ of the Brazilian College of Animal Reproduction in Brazil.
×
引用
GB/T 7714-2015
复制
MLA
复制
APA
复制
导出至
BibTeX EndNote RefMan NoteFirst NoteExpress
×
提示
您的信息不完整,为了账户安全,请先补充。
现在去补充
×
提示
您因"违规操作"
具体请查看互助需知
我知道了
×
提示
确定
请完成安全验证×
copy
已复制链接
快去分享给好友吧!
我知道了
右上角分享
点击右上角分享
0
联系我们:info@booksci.cn Book学术提供免费学术资源搜索服务,方便国内外学者检索中英文文献。致力于提供最便捷和优质的服务体验。 Copyright © 2023 布克学术 All rights reserved.
京ICP备2023020795号-1
ghs 京公网安备 11010802042870号
Book学术文献互助
Book学术文献互助群
群 号:604180095
Book学术官方微信