Microbial profiling of black soldier fly larvae reared on substrates supplemented with different mineral sources originating from phosphorus recycling technologies.

IF 4.4 Q1 MICROBIOLOGY
Henry Reyer, Manfred Mielenz, Gürbüz Daş, Cornelia C Metges, Klaus Wimmers
{"title":"Microbial profiling of black soldier fly larvae reared on substrates supplemented with different mineral sources originating from phosphorus recycling technologies.","authors":"Henry Reyer, Manfred Mielenz, Gürbüz Daş, Cornelia C Metges, Klaus Wimmers","doi":"10.1186/s42523-025-00380-5","DOIUrl":null,"url":null,"abstract":"<p><strong>Background: </strong>Innovations to establish agricultural value chains utilising side streams and their reintegration into the feed and food supply are of great importance. Recyclates derived from biomass and waste are therefore becoming increasingly important as sources of nutrients. The larvae of the black soldier fly (BSF; Hermetia illucens) demonstrate considerable potential as livestock feed due to their ability to utilise a wide range of organic substrates. In this study, BSF larvae (BSFL) were reared on four different substrates: chicken feed diet (CD), high-fibre Gainesville fly diet (FD), or FD supplemented either with biochar (FD + BCH) or single superphosphate (FD + SSP) recyclates from sewage sludge processing. To validate the hypothesis that endogenous and substrate-associated microbiota significantly contribute to substrate conversion, the microbiota profiles of BSFL gut and frass were analysed by 16S rRNA gene amplicon sequencing. Results were associated to the different substrates as well as body composition, growth performance data, and mineral concentration of the larvae.</p><p><strong>Results: </strong>The CD substrate was superior in terms of larval growth, although it caused a lower microbial alpha diversity in the larval intestine and frass compared to FD, with a dominance of Morganellaceae and families of Lactobacillales. The addition of the two sewage sludge derived products to the FD substrate significantly increased the calcium content of BSFL, while the phosphorus content was only increased by the addition of SSP. The shifts in the microbiota profiles of BSFL gut and frass indicated that BCH contributed to the regulation of the microbial milieu with suppressing the growth of potentially pathogenic microbes. The addition of SSP resulted in an enrichment of microorganisms with attributed phosphate-solubilising properties such as Pseudomonas and fungal species, likely being responsible for improving the bioavailability of phosphorus from the substrate.</p><p><strong>Conclusions: </strong>The results demonstrate the high adaptability of the BSFL and its ability to change the substrate through specific microbiota in such a way that conditions are created for an optimal nutrient supply and thus growth of the larvae.</p>","PeriodicalId":72201,"journal":{"name":"Animal microbiome","volume":"7 1","pages":"14"},"PeriodicalIF":4.4000,"publicationDate":"2025-02-11","publicationTypes":"Journal Article","fieldsOfStudy":null,"isOpenAccess":false,"openAccessPdf":"https://www.ncbi.nlm.nih.gov/pmc/articles/PMC11812260/pdf/","citationCount":"0","resultStr":null,"platform":"Semanticscholar","paperid":null,"PeriodicalName":"Animal microbiome","FirstCategoryId":"1085","ListUrlMain":"https://doi.org/10.1186/s42523-025-00380-5","RegionNum":0,"RegionCategory":null,"ArticlePicture":[],"TitleCN":null,"AbstractTextCN":null,"PMCID":null,"EPubDate":"","PubModel":"","JCR":"Q1","JCRName":"MICROBIOLOGY","Score":null,"Total":0}
引用次数: 0

Abstract

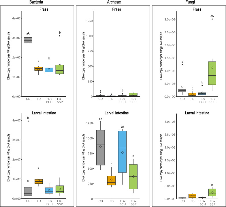
Background: Innovations to establish agricultural value chains utilising side streams and their reintegration into the feed and food supply are of great importance. Recyclates derived from biomass and waste are therefore becoming increasingly important as sources of nutrients. The larvae of the black soldier fly (BSF; Hermetia illucens) demonstrate considerable potential as livestock feed due to their ability to utilise a wide range of organic substrates. In this study, BSF larvae (BSFL) were reared on four different substrates: chicken feed diet (CD), high-fibre Gainesville fly diet (FD), or FD supplemented either with biochar (FD + BCH) or single superphosphate (FD + SSP) recyclates from sewage sludge processing. To validate the hypothesis that endogenous and substrate-associated microbiota significantly contribute to substrate conversion, the microbiota profiles of BSFL gut and frass were analysed by 16S rRNA gene amplicon sequencing. Results were associated to the different substrates as well as body composition, growth performance data, and mineral concentration of the larvae.

Results: The CD substrate was superior in terms of larval growth, although it caused a lower microbial alpha diversity in the larval intestine and frass compared to FD, with a dominance of Morganellaceae and families of Lactobacillales. The addition of the two sewage sludge derived products to the FD substrate significantly increased the calcium content of BSFL, while the phosphorus content was only increased by the addition of SSP. The shifts in the microbiota profiles of BSFL gut and frass indicated that BCH contributed to the regulation of the microbial milieu with suppressing the growth of potentially pathogenic microbes. The addition of SSP resulted in an enrichment of microorganisms with attributed phosphate-solubilising properties such as Pseudomonas and fungal species, likely being responsible for improving the bioavailability of phosphorus from the substrate.

Conclusions: The results demonstrate the high adaptability of the BSFL and its ability to change the substrate through specific microbiota in such a way that conditions are created for an optimal nutrient supply and thus growth of the larvae.

Abstract Image

Abstract Image

Abstract Image

在磷回收技术中添加不同矿物来源的基质上饲养的黑虻幼虫的微生物特征分析。
背景:利用侧流建立农业价值链并将其重新纳入饲料和食品供应的创新非常重要。因此,来自生物质和废物的回收物作为营养来源变得越来越重要。黑兵蝇(BSF;由于能够利用广泛的有机基质,黑草(Hermetia illucens)作为牲畜饲料显示出相当大的潜力。在本研究中,BSF幼虫(BSFL)饲养在4种不同的基质上:鸡饲料饲粮(CD)、高纤维盖恩斯维尔蝇饲粮(FD)或在饲料中添加生物炭(FD + BCH)或污水污泥处理中回收的单一过磷酸钙(FD + SSP)。为了验证内源性和底物相关微生物群显著促进底物转化的假设,我们通过16S rRNA基因扩增子测序分析了BSFL肠道和杂草的微生物群谱。结果与不同基质、体组成、生长性能数据和幼虫矿物质浓度有关。结果:与FD相比,CD底物在幼虫生长方面具有优势,尽管它在幼虫肠道和肠道中引起的微生物α多样性较低,并以摩根菌科和乳酸杆菌科为主。在FD底物中添加两种污泥衍生产物可显著提高BSFL的钙含量,而磷含量仅通过添加SSP而提高。BSFL肠道和草地微生物群分布的变化表明,BCH通过抑制潜在致病性微生物的生长来调节微生物环境。SSP的添加导致具有磷酸盐溶解特性的微生物(如假单胞菌和真菌)的富集,这可能是提高底物中磷的生物利用度的原因。结论:研究结果表明,BSFL具有高度的适应性,能够通过特定的微生物群改变基质,从而为幼虫的最佳营养供应和生长创造条件。
本文章由计算机程序翻译,如有差异,请以英文原文为准。
求助全文
约1分钟内获得全文 求助全文
来源期刊
CiteScore
7.20
自引率
0.00%
发文量
0
审稿时长
13 weeks
×
引用
GB/T 7714-2015
复制
MLA
复制
APA
复制
导出至
BibTeX EndNote RefMan NoteFirst NoteExpress
×
提示
您的信息不完整,为了账户安全,请先补充。
现在去补充
×
提示
您因"违规操作"
具体请查看互助需知
我知道了
×
提示
确定
请完成安全验证×
copy
已复制链接
快去分享给好友吧!
我知道了
右上角分享
点击右上角分享
0
联系我们:info@booksci.cn Book学术提供免费学术资源搜索服务,方便国内外学者检索中英文文献。致力于提供最便捷和优质的服务体验。 Copyright © 2023 布克学术 All rights reserved.
京ICP备2023020795号-1
ghs 京公网安备 11010802042870号
Book学术文献互助
Book学术文献互助群
群 号:604180095
Book学术官方微信