Absence of Standard Modifiable Risk Factors in Middle Eastern Patients with Atherosclerotic Cardiovascular Disease. The Jordan Absence of Standard Modifiable Risk Factors (SMuRF-Less) Study.

IF 2.8 Q2 PERIPHERAL VASCULAR DISEASE
Vascular Health and Risk Management Pub Date : 2025-02-05 eCollection Date: 2025-01-01 DOI:10.2147/VHRM.S499355
Ayman J Hammoudeh, Mo'men Aldalal'ah, Elham A Smadi, Dima Alrishoud, Amal Alomari, Mahmoud Alkhawaldeh, Aseel Rizik, Mahmoud Fakhri Okour, Mohammad Araydah
{"title":"Absence of Standard Modifiable Risk Factors in Middle Eastern Patients with Atherosclerotic Cardiovascular Disease. The Jordan Absence of Standard Modifiable Risk Factors (SMuRF-Less) Study.","authors":"Ayman J Hammoudeh, Mo'men Aldalal'ah, Elham A Smadi, Dima Alrishoud, Amal Alomari, Mahmoud Alkhawaldeh, Aseel Rizik, Mahmoud Fakhri Okour, Mohammad Araydah","doi":"10.2147/VHRM.S499355","DOIUrl":null,"url":null,"abstract":"<p><strong>Background: </strong>A growing number of individuals develop atherosclerotic cardiovascular disease (ASCVD) despite the absence of the standard modifiable risk factors (hypertension, diabetes, dyslipidemia, and cigarette smoking) (SMuRF-less patients). Prevalence of SMuRF-less patients in the Middle East has not been studied. This study investigates the prevalence, clinical profiles and outcomes of SMuRF-less patients compared with those who have SMuRFs.</p><p><strong>Methods: </strong>We analyzed data from 6 published registries and from the Jordan SMuRF-less patients study, including baseline demographic features, cardiovascular risk factors, comorbid diseases, utilization of secondary prevention pharmacotherapy and one year outcome in SMuRF-less patients, those with 1-2 SMuRFs and with 3-4 SMuRFs. Results. A total of f 5540 ASCVD patients were enrolled. Mean age was 57.5 ± 11.6 years, and 1333 (24.1%) were women. Of the whole group, 214 (3.9%) were SMuRF-less, 3014 (54.4%) had 1-2 SMuRFs and 2312 (41.7%) had 3-4 SMuRFs. Compared with the SMuRFs groups, SMuRF-less group were younger, more likely to be men, and had lower prevalence of obesity, physical inactivity, metabolic syndrome, heart failure and chronic kidney disease. SMuRF-less patients were less likely to receive secondary prevention cardiovascular medications (antiplatelet agents, statins, renin angiotensin blockers and beta blockers); all p < 0.001. One year survival in the SMuRF-less patients was significantly lower than that in the SMuRFs groups (97.7% vs.98.4% vs.98.3%, respectively, p = 0.01). Multivariate analysis showed that young age, absence of heart failure and utilization of secondary preventive medications were associated with better one year outcome.</p><p><strong>Conclusion: </strong>In this cohort of ME patients with ASCVD, nearly four in 100 were SMuRF-less. This rate is lower than that reported by most of published studies, mainly due to the high prevalence of the 4 SMuRFs. SMuRF-less patients were younger, had less comorbid disease, received less secondary prevention pharmacotherapy and had higher rate of one year mortality than those with SMuRFs.</p><p><strong>Clinical trials: </strong>The study is registered with ClinicalTrials.gov, unique identifier number NCT06199869.</p>","PeriodicalId":23597,"journal":{"name":"Vascular Health and Risk Management","volume":"21 ","pages":"39-50"},"PeriodicalIF":2.8000,"publicationDate":"2025-02-05","publicationTypes":"Journal Article","fieldsOfStudy":null,"isOpenAccess":false,"openAccessPdf":"https://www.ncbi.nlm.nih.gov/pmc/articles/PMC11807772/pdf/","citationCount":"0","resultStr":null,"platform":"Semanticscholar","paperid":null,"PeriodicalName":"Vascular Health and Risk Management","FirstCategoryId":"1085","ListUrlMain":"https://doi.org/10.2147/VHRM.S499355","RegionNum":0,"RegionCategory":null,"ArticlePicture":[],"TitleCN":null,"AbstractTextCN":null,"PMCID":null,"EPubDate":"2025/1/1 0:00:00","PubModel":"eCollection","JCR":"Q2","JCRName":"PERIPHERAL VASCULAR DISEASE","Score":null,"Total":0}
引用次数: 0

Abstract

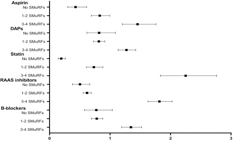
Background: A growing number of individuals develop atherosclerotic cardiovascular disease (ASCVD) despite the absence of the standard modifiable risk factors (hypertension, diabetes, dyslipidemia, and cigarette smoking) (SMuRF-less patients). Prevalence of SMuRF-less patients in the Middle East has not been studied. This study investigates the prevalence, clinical profiles and outcomes of SMuRF-less patients compared with those who have SMuRFs.

Methods: We analyzed data from 6 published registries and from the Jordan SMuRF-less patients study, including baseline demographic features, cardiovascular risk factors, comorbid diseases, utilization of secondary prevention pharmacotherapy and one year outcome in SMuRF-less patients, those with 1-2 SMuRFs and with 3-4 SMuRFs. Results. A total of f 5540 ASCVD patients were enrolled. Mean age was 57.5 ± 11.6 years, and 1333 (24.1%) were women. Of the whole group, 214 (3.9%) were SMuRF-less, 3014 (54.4%) had 1-2 SMuRFs and 2312 (41.7%) had 3-4 SMuRFs. Compared with the SMuRFs groups, SMuRF-less group were younger, more likely to be men, and had lower prevalence of obesity, physical inactivity, metabolic syndrome, heart failure and chronic kidney disease. SMuRF-less patients were less likely to receive secondary prevention cardiovascular medications (antiplatelet agents, statins, renin angiotensin blockers and beta blockers); all p < 0.001. One year survival in the SMuRF-less patients was significantly lower than that in the SMuRFs groups (97.7% vs.98.4% vs.98.3%, respectively, p = 0.01). Multivariate analysis showed that young age, absence of heart failure and utilization of secondary preventive medications were associated with better one year outcome.

Conclusion: In this cohort of ME patients with ASCVD, nearly four in 100 were SMuRF-less. This rate is lower than that reported by most of published studies, mainly due to the high prevalence of the 4 SMuRFs. SMuRF-less patients were younger, had less comorbid disease, received less secondary prevention pharmacotherapy and had higher rate of one year mortality than those with SMuRFs.

Clinical trials: The study is registered with ClinicalTrials.gov, unique identifier number NCT06199869.

Abstract Image

Abstract Image

中东动脉粥样硬化性心血管疾病患者缺乏标准可改变的危险因素。约旦缺乏标准可改变危险因素(SMuRF-Less)研究。
背景:尽管缺乏标准的可改变危险因素(高血压、糖尿病、血脂异常和吸烟)(SMuRF-less patients),但仍有越来越多的个体发展为动脉粥样硬化性心血管疾病(ASCVD)。中东地区缺乏smurf患者的患病率尚未得到研究。本研究调查了smurf较少患者与那些有smurf的患者的患病率、临床概况和结果。方法:我们分析了来自6个已发表的注册中心和约旦smurf减少患者研究的数据,包括基线人口统计学特征、心血管危险因素、合并症、二级预防药物治疗的使用以及smurf减少患者、1-2个smurf患者和3-4个smurf患者的1年结局。结果。共有f5540名ASCVD患者入组。平均年龄57.5±11.6岁,女性1333例(24.1%)。在整个组中,214人(3.9%)smurf较少,3014人(54.4%)有1-2个smurf, 2312人(41.7%)有3-4个smurf。与smurf组相比,较少smurf组更年轻,更有可能是男性,并且肥胖、缺乏运动、代谢综合征、心力衰竭和慢性肾病的患病率较低。smurf较少的患者接受二级预防心血管药物(抗血小板药物、他汀类药物、肾素血管紧张素阻滞剂和受体阻滞剂)的可能性较小;p均< 0.001。SMuRF-less组患者的1年生存率明显低于smurf组(97.7% vs.98.4% vs.98.3%, p = 0.01)。多因素分析显示,年轻、无心力衰竭和使用二级预防药物与较好的一年预后相关。结论:在这组ME合并ASCVD的患者中,近4 / 100的患者smurf较少。这一比率低于大多数已发表的研究报告,主要是由于4种smurf的高流行率。与使用smurf的患者相比,使用smurf的患者更年轻,合并症更少,接受的二级预防药物治疗更少,一年死亡率更高。临床试验:该研究已在ClinicalTrials.gov注册,唯一识别码NCT06199869。
本文章由计算机程序翻译,如有差异,请以英文原文为准。
求助全文
约1分钟内获得全文 求助全文
来源期刊
Vascular Health and Risk Management
Vascular Health and Risk Management PERIPHERAL VASCULAR DISEASE-
CiteScore
4.20
自引率
3.40%
发文量
109
审稿时长
16 weeks
期刊介绍: An international, peer-reviewed journal of therapeutics and risk management, focusing on concise rapid reporting of clinical studies on the processes involved in the maintenance of vascular health; the monitoring, prevention, and treatment of vascular disease and its sequelae; and the involvement of metabolic disorders, particularly diabetes. In addition, the journal will also seek to define drug usage in terms of ultimate uptake and acceptance by the patient and healthcare professional.
×
引用
GB/T 7714-2015
复制
MLA
复制
APA
复制
导出至
BibTeX EndNote RefMan NoteFirst NoteExpress
×
提示
您的信息不完整,为了账户安全,请先补充。
现在去补充
×
提示
您因"违规操作"
具体请查看互助需知
我知道了
×
提示
确定
请完成安全验证×
copy
已复制链接
快去分享给好友吧!
我知道了
右上角分享
点击右上角分享
0
联系我们:info@booksci.cn Book学术提供免费学术资源搜索服务,方便国内外学者检索中英文文献。致力于提供最便捷和优质的服务体验。 Copyright © 2023 布克学术 All rights reserved.
京ICP备2023020795号-1
ghs 京公网安备 11010802042870号
Book学术文献互助
Book学术文献互助群
群 号:604180095
Book学术官方微信