Systemic oxidative stress levels and their associations with the risk of neovascular age-related macular degeneration and treatment response.

IF 2.4 Q2 OPHTHALMOLOGY
Maiko Abe, Hiroshi Kunikata, Naoko Aizawa, Masayuki Yasuda, Fumihiko Nitta, Toshiaki Abe, Toru Nakazawa
{"title":"Systemic oxidative stress levels and their associations with the risk of neovascular age-related macular degeneration and treatment response.","authors":"Maiko Abe, Hiroshi Kunikata, Naoko Aizawa, Masayuki Yasuda, Fumihiko Nitta, Toshiaki Abe, Toru Nakazawa","doi":"10.1186/s40942-025-00632-1","DOIUrl":null,"url":null,"abstract":"<p><strong>Purpose: </strong>To investigate the association between oxidative stress (OS) and both the risk of neovascular age-related macular degeneration (nAMD) and the treatment response to intravitreal anti-vascular endothelial growth factor injections (anti-VEGF IVIs).</p><p><strong>Methods: </strong>This retrospective study included 46 treatment-naïve nAMD eyes of 46 patients (26 male and 20 female) who received anti-VEGF IVIs with a \"treat-and-extend\" regimen following an initial loading phase for one year. The patients were divided into two groups according to the total number of anti-VEGF IVIs administered during the year: the \"effective\" group and the \"resistant\" group. OS was evaluated by diacron reactive oxygen metabolites (d-ROMs), biological antioxidant potential (BAP), and skin autofluorescence (SAF) at baseline. For comparison, 54 control subjects were recruited.</p><p><strong>Results: </strong>There were no significant differences in d-ROM or BAP levels between control subjects and nAMD patients, regardless of sex, whereas SAF levels were higher in nAMD patients overall and in male nAMD patients than in controls (P < 0.001 for both). The effective and resistant groups included 30 and 16 eyes, respectively. Among the male nAMD patients, the effective and resistant groups had similar baseline characteristics, including age, smoking history, visual acuity, and central macular thickness; however, the resistant group had higher SAF levels (effective vs. resistant: 2.3 vs. 2.6 arbitrary units [AU]; P = 0.02). This finding was further supported by a multiple logistic regression analysis, which showed that the odds ratio for SAF was 1.57 per 0.1 AU increase (P = 0.01).</p><p><strong>Conclusion: </strong>SAF levels were significantly higher in nAMD patients than in controls. The total number of anti-VEGF IVIs required over one year in male nAMD patients depended on SAF levels, suggesting that the SAF levels may serve as a potential biomarker for the response to anti-VEGF IVIs in nAMD.</p>","PeriodicalId":14289,"journal":{"name":"International Journal of Retina and Vitreous","volume":"11 1","pages":"16"},"PeriodicalIF":2.4000,"publicationDate":"2025-02-10","publicationTypes":"Journal Article","fieldsOfStudy":null,"isOpenAccess":false,"openAccessPdf":"https://www.ncbi.nlm.nih.gov/pmc/articles/PMC11809058/pdf/","citationCount":"0","resultStr":null,"platform":"Semanticscholar","paperid":null,"PeriodicalName":"International Journal of Retina and Vitreous","FirstCategoryId":"1085","ListUrlMain":"https://doi.org/10.1186/s40942-025-00632-1","RegionNum":0,"RegionCategory":null,"ArticlePicture":[],"TitleCN":null,"AbstractTextCN":null,"PMCID":null,"EPubDate":"","PubModel":"","JCR":"Q2","JCRName":"OPHTHALMOLOGY","Score":null,"Total":0}
引用次数: 0

Abstract

Purpose: To investigate the association between oxidative stress (OS) and both the risk of neovascular age-related macular degeneration (nAMD) and the treatment response to intravitreal anti-vascular endothelial growth factor injections (anti-VEGF IVIs).

Methods: This retrospective study included 46 treatment-naïve nAMD eyes of 46 patients (26 male and 20 female) who received anti-VEGF IVIs with a "treat-and-extend" regimen following an initial loading phase for one year. The patients were divided into two groups according to the total number of anti-VEGF IVIs administered during the year: the "effective" group and the "resistant" group. OS was evaluated by diacron reactive oxygen metabolites (d-ROMs), biological antioxidant potential (BAP), and skin autofluorescence (SAF) at baseline. For comparison, 54 control subjects were recruited.

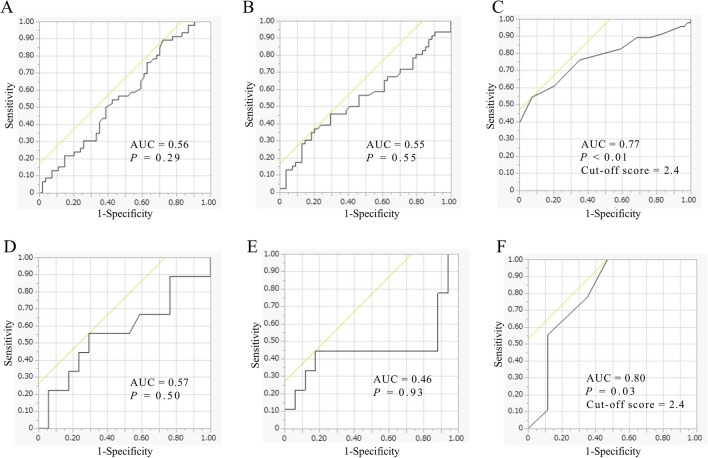
Results: There were no significant differences in d-ROM or BAP levels between control subjects and nAMD patients, regardless of sex, whereas SAF levels were higher in nAMD patients overall and in male nAMD patients than in controls (P < 0.001 for both). The effective and resistant groups included 30 and 16 eyes, respectively. Among the male nAMD patients, the effective and resistant groups had similar baseline characteristics, including age, smoking history, visual acuity, and central macular thickness; however, the resistant group had higher SAF levels (effective vs. resistant: 2.3 vs. 2.6 arbitrary units [AU]; P = 0.02). This finding was further supported by a multiple logistic regression analysis, which showed that the odds ratio for SAF was 1.57 per 0.1 AU increase (P = 0.01).

Conclusion: SAF levels were significantly higher in nAMD patients than in controls. The total number of anti-VEGF IVIs required over one year in male nAMD patients depended on SAF levels, suggesting that the SAF levels may serve as a potential biomarker for the response to anti-VEGF IVIs in nAMD.

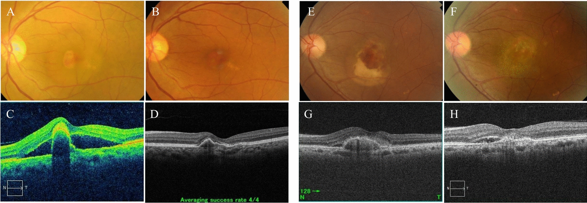
Abstract Image

Abstract Image

系统性氧化应激水平及其与新生血管性年龄相关性黄斑变性风险和治疗反应的关系
目的:探讨氧化应激(OS)与新生血管性年龄相关性黄斑变性(nAMD)风险及玻璃体内抗血管内皮生长因子注射(anti-VEGF IVIs)治疗反应的关系。方法:这项回顾性研究包括46例treatment-naïve nAMD患者(26例男性和20例女性),他们在初始加载阶段接受了为期一年的抗vegf静脉注射和“治疗-延长”方案。将患者按年内抗vegf静脉注射总次数分为“有效”组和“耐药”组。基线时通过diacron活性氧代谢物(d-ROMs)、生物抗氧化潜能(BAP)和皮肤自身荧光(SAF)评估OS。为了进行比较,我们招募了54名对照受试者。结果:在对照组和nAMD患者之间,无论性别,rom或BAP水平均无显著差异,而nAMD患者和男性nAMD患者的SAF水平均高于对照组(P < 0.001)。有效组30只,抗药组16只。在男性nAMD患者中,有效组和抵抗组具有相似的基线特征,包括年龄、吸烟史、视力和中央黄斑厚度;然而,耐药组SAF水平较高(有效vs耐药:2.3 vs 2.6任意单位[AU];p = 0.02)。多元logistic回归分析进一步支持了这一发现,结果显示,每增加0.1 AU, SAF的优势比为1.57 (P = 0.01)。结论:nAMD患者的SAF水平明显高于对照组。男性nAMD患者一年内所需的抗vegf静脉注射总次数取决于SAF水平,这表明SAF水平可能作为nAMD患者抗vegf静脉注射反应的潜在生物标志物。
本文章由计算机程序翻译,如有差异,请以英文原文为准。
求助全文
约1分钟内获得全文 求助全文
来源期刊
CiteScore
3.50
自引率
4.30%
发文量
81
审稿时长
19 weeks
期刊介绍: International Journal of Retina and Vitreous focuses on the ophthalmic subspecialty of vitreoretinal disorders. The journal presents original articles on new approaches to diagnosis, outcomes of clinical trials, innovations in pharmacological therapy and surgical techniques, as well as basic science advances that impact clinical practice. Topical areas include, but are not limited to: -Imaging of the retina, choroid and vitreous -Innovations in optical coherence tomography (OCT) -Small-gauge vitrectomy, retinal detachment, chromovitrectomy -Electroretinography (ERG), microperimetry, other functional tests -Intraocular tumors -Retinal pharmacotherapy & drug delivery -Diabetic retinopathy & other vascular diseases -Age-related macular degeneration (AMD) & other macular entities
×
引用
GB/T 7714-2015
复制
MLA
复制
APA
复制
导出至
BibTeX EndNote RefMan NoteFirst NoteExpress
×
提示
您的信息不完整,为了账户安全,请先补充。
现在去补充
×
提示
您因"违规操作"
具体请查看互助需知
我知道了
×
提示
确定
请完成安全验证×
copy
已复制链接
快去分享给好友吧!
我知道了
右上角分享
点击右上角分享
0
联系我们:info@booksci.cn Book学术提供免费学术资源搜索服务,方便国内外学者检索中英文文献。致力于提供最便捷和优质的服务体验。 Copyright © 2023 布克学术 All rights reserved.
京ICP备2023020795号-1
ghs 京公网安备 11010802042870号
Book学术文献互助
Book学术文献互助群
群 号:604180095
Book学术官方微信