Occupational health topics series on the effects of chemicals: epidemiological and toxicological risk assessments of ortho-toluidine for bladder cancer.

IF 2 4区 医学 Q2 PUBLIC, ENVIRONMENTAL & OCCUPATIONAL HEALTH
Makiko Nakano, Min Gi, Tatsushi Toyooka, Shugo Suzuki, Hideki Wanibuchi, Toru Takebayashi
{"title":"Occupational health topics series on the effects of chemicals: epidemiological and toxicological risk assessments of ortho-toluidine for bladder cancer.","authors":"Makiko Nakano, Min Gi, Tatsushi Toyooka, Shugo Suzuki, Hideki Wanibuchi, Toru Takebayashi","doi":"10.1093/joccuh/uiaf005","DOIUrl":null,"url":null,"abstract":"<p><strong>Objectives: </strong>Our aim was to report integrative evidence for the health risk assessment of ortho-toluidine (OT) in bladder cancer in a mini-review of the recent studies of humans, experimental animals, and OT skin permeability.</p><p><strong>Methods: </strong>Bladder cancer cases were identified in workers in Japan who were occupationally exposed in 2014-2017 to aromatic amines, primarily to the human carcinogen OT.</p><p><strong>Results: </strong>A key epidemiological study of 98 aromatic amine-exposed workers in Japan showed a clear OT exposure-response relationship with a standardized incidence ratio. A rat model experimental study also indicated that OT and acetoaceto-o-toluidine are potent bladder carcinogens. Multiple mechanisms of OT-related bladder cancer have been proposed: metabolic activation to reactive metabolites that bind DNA and proteins, mutagenicity, oxidative DNA damage, chromosomal damage, and cytotoxicity by OT. Recent comprehensive analyses of DNA adducts in rats identified a number of common oxidative DNA adducts, including 8-OHdG, in the rat urothelium and indicated that oxidative stress may play a crucial role in the development of urinary cancer caused by OT. The skin permeability of 6 aromatic amines (o-toluidine, aniline, p-toluidine, o-anisidine, 2,4-dimethylaniline, and o-chloroaniline) was examined with the use of a 3-dimensional (3D) reconstructed human skin model; ~70%-80% of the 6 aromatic amines had permeated through the 3D skin within 8 hours. Genotoxic potency testing in a human urothelial cell line using γ-H2AX, a marker of DNA damage, suggested that OT exhibited strong γ-H2AX generation.</p><p><strong>Conclusions: </strong>Prolonged dermal exposure to OT along with other genotoxic aromatic amines over many years may contribute to the development of bladder cancer.</p>","PeriodicalId":16632,"journal":{"name":"Journal of Occupational Health","volume":" ","pages":""},"PeriodicalIF":2.0000,"publicationDate":"2025-01-07","publicationTypes":"Journal Article","fieldsOfStudy":null,"isOpenAccess":false,"openAccessPdf":"https://www.ncbi.nlm.nih.gov/pmc/articles/PMC11858003/pdf/","citationCount":"0","resultStr":null,"platform":"Semanticscholar","paperid":null,"PeriodicalName":"Journal of Occupational Health","FirstCategoryId":"3","ListUrlMain":"https://doi.org/10.1093/joccuh/uiaf005","RegionNum":4,"RegionCategory":"医学","ArticlePicture":[],"TitleCN":null,"AbstractTextCN":null,"PMCID":null,"EPubDate":"","PubModel":"","JCR":"Q2","JCRName":"PUBLIC, ENVIRONMENTAL & OCCUPATIONAL HEALTH","Score":null,"Total":0}
引用次数: 0

Abstract

Objectives: Our aim was to report integrative evidence for the health risk assessment of ortho-toluidine (OT) in bladder cancer in a mini-review of the recent studies of humans, experimental animals, and OT skin permeability.

Methods: Bladder cancer cases were identified in workers in Japan who were occupationally exposed in 2014-2017 to aromatic amines, primarily to the human carcinogen OT.

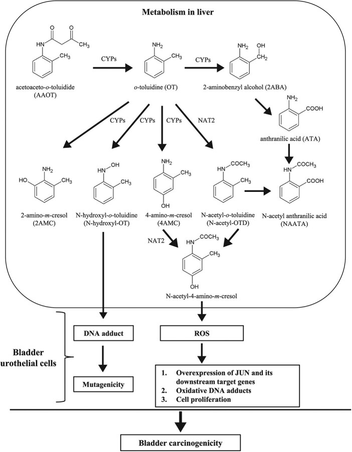
Results: A key epidemiological study of 98 aromatic amine-exposed workers in Japan showed a clear OT exposure-response relationship with a standardized incidence ratio. A rat model experimental study also indicated that OT and acetoaceto-o-toluidine are potent bladder carcinogens. Multiple mechanisms of OT-related bladder cancer have been proposed: metabolic activation to reactive metabolites that bind DNA and proteins, mutagenicity, oxidative DNA damage, chromosomal damage, and cytotoxicity by OT. Recent comprehensive analyses of DNA adducts in rats identified a number of common oxidative DNA adducts, including 8-OHdG, in the rat urothelium and indicated that oxidative stress may play a crucial role in the development of urinary cancer caused by OT. The skin permeability of 6 aromatic amines (o-toluidine, aniline, p-toluidine, o-anisidine, 2,4-dimethylaniline, and o-chloroaniline) was examined with the use of a 3-dimensional (3D) reconstructed human skin model; ~70%-80% of the 6 aromatic amines had permeated through the 3D skin within 8 hours. Genotoxic potency testing in a human urothelial cell line using γ-H2AX, a marker of DNA damage, suggested that OT exhibited strong γ-H2AX generation.

Conclusions: Prolonged dermal exposure to OT along with other genotoxic aromatic amines over many years may contribute to the development of bladder cancer.

Abstract Image

Abstract Image

Abstract Image

关于化学品影响的职业健康专题系列:邻甲苯胺对膀胱癌的流行病学和毒理学风险评估。
背景:2014-2017 年,在日本发现了职业暴露于芳香胺(主要是人类致癌物邻甲苯胺(OT))的工人患膀胱癌的病例:2014-2017年,日本发现了职业暴露于芳香胺(主要是人类致癌物邻甲苯胺(OT))的工人罹患膀胱癌的病例:我们通过对近期有关人类、实验动物和 OT 皮肤渗透性的研究进行微型综述,报告了 OT 在膀胱癌中的健康风险评估的综合证据:结果:对日本 98 名接触过芳香胺的工人进行的一项重要流行病学研究显示,OT 暴露与标准化发病率比率之间存在明确的反应关系。大鼠模型实验研究也表明,OT 和乙酰乙酰甲苯胺是强效的膀胱致癌物。与 OT 有关的膀胱癌有多种发生机制:代谢活化生成与 DNA 和蛋白质结合的活性代谢物、诱变性、DNA 氧化损伤、染色体损伤以及 OT 的细胞毒性。最近对大鼠 DNA 加合物的综合分析发现,大鼠尿路上皮细胞中存在一些常见的氧化 DNA 加合物,其中包括 8-OHdG,这表明氧化应激可能在 OT 导致的泌尿系统癌症的发生中起着至关重要的作用。利用三维(3D)重建人体皮肤模型对六种芳香胺(邻甲苯胺、苯胺、对甲苯胺、邻甲氧基苯胺、2,4-二甲基苯胺和邻氯苯胺)的皮肤渗透性进行了检测,结果表明在 8 小时内,约 70%-80% 的六种芳香胺渗透过三维皮肤。使用 DNA 损伤标记物 γ-H2AX 对人类尿道细胞系进行的遗传毒性测试表明,OT 具有很强的 γ-H2AX 生成能力:结论:OT 和其他具有遗传毒性的芳香胺多年来长期通过皮肤接触可能会导致膀胱癌的发生。
本文章由计算机程序翻译,如有差异,请以英文原文为准。
求助全文
约1分钟内获得全文 求助全文
来源期刊
Journal of Occupational Health
Journal of Occupational Health 医学-公共卫生、环境卫生与职业卫生
CiteScore
5.60
自引率
3.30%
发文量
57
审稿时长
6-12 weeks
期刊介绍: The scope of the journal is broad, covering toxicology, ergonomics, psychosocial factors and other relevant health issues of workers, with special emphasis on the current developments in occupational health. The JOH also accepts various methodologies that are relevant to investigation of occupational health risk factors and exposures, such as large-scale epidemiological studies, human studies employing biological techniques and fundamental experiments on animals, and also welcomes submissions concerning occupational health practices and related issues.
×
引用
GB/T 7714-2015
复制
MLA
复制
APA
复制
导出至
BibTeX EndNote RefMan NoteFirst NoteExpress
×
提示
您的信息不完整,为了账户安全,请先补充。
现在去补充
×
提示
您因"违规操作"
具体请查看互助需知
我知道了
×
提示
确定
请完成安全验证×
copy
已复制链接
快去分享给好友吧!
我知道了
右上角分享
点击右上角分享
0
联系我们:info@booksci.cn Book学术提供免费学术资源搜索服务,方便国内外学者检索中英文文献。致力于提供最便捷和优质的服务体验。 Copyright © 2023 布克学术 All rights reserved.
京ICP备2023020795号-1
ghs 京公网安备 11010802042870号
Book学术文献互助
Book学术文献互助群
群 号:604180095
Book学术官方微信