Relative Fat Mass, A Better Predictor of Erectile Dysfunction: Insights From the NHANES 2001-2004.

IF 2.4 4区 医学 Q3 PUBLIC, ENVIRONMENTAL & OCCUPATIONAL HEALTH
BoWen Yang, HanYu Wang, Luyi Tang, JiuHuan Feng, ShuFang Hou
{"title":"Relative Fat Mass, A Better Predictor of Erectile Dysfunction: Insights From the NHANES 2001-2004.","authors":"BoWen Yang, HanYu Wang, Luyi Tang, JiuHuan Feng, ShuFang Hou","doi":"10.1177/15579883241311218","DOIUrl":null,"url":null,"abstract":"<p><p>Obesity is a significant factor contributing to erectile dysfunction (ED). Early detection of ED generally results in improved treatment outcomes. Our study aims to elucidate the association between relative fat mass (RFM) and ED by analyzing data from the National Health and Nutrition Inspection Survey (NHANES) spanning 2001 to 2004. We used data from NHANES 2001-2004, employing weighted, multivariable-adjusted logistic regression to assess the relationship between RFM and the risk of ED. Additional analyses included subgroup analysis, smooth curve fitting, and threshold effect analysis. Subsequently, the predictive utility of RFM, body mass index (BMI), and waist circumference (WC) for ED was evaluated using the receiver operating characteristic curve and area under the curve (AUC) calculations. A total of 3,947 American male participants were included in this retrospective study within NHANES. Weighted multivariate logistic regression analysis indicated that, after adjusting for potential confounding factors, RFM was positively associated with the risk of ED (OR = 1.03, 95% CI = 1.01-1.05, <i>p</i> < .001). No significant saturation effects between RFM and ED were observed (all <i>ps</i> > .05). In addition, RFM demonstrated superior predictive capability for ED (AUC = 0.644) compared with BMI (AUC = 0.525) and WC (AUC = 0.612). Our findings suggest that higher RFM levels are associated with an increased risk of ED, highlighting its potential utility as a predictive marker for this condition.</p>","PeriodicalId":7429,"journal":{"name":"American Journal of Men's Health","volume":"19 1","pages":"15579883241311218"},"PeriodicalIF":2.4000,"publicationDate":"2025-01-01","publicationTypes":"Journal Article","fieldsOfStudy":null,"isOpenAccess":false,"openAccessPdf":"https://www.ncbi.nlm.nih.gov/pmc/articles/PMC11811978/pdf/","citationCount":"0","resultStr":null,"platform":"Semanticscholar","paperid":null,"PeriodicalName":"American Journal of Men's Health","FirstCategoryId":"3","ListUrlMain":"https://doi.org/10.1177/15579883241311218","RegionNum":4,"RegionCategory":"医学","ArticlePicture":[],"TitleCN":null,"AbstractTextCN":null,"PMCID":null,"EPubDate":"","PubModel":"","JCR":"Q3","JCRName":"PUBLIC, ENVIRONMENTAL & OCCUPATIONAL HEALTH","Score":null,"Total":0}
引用次数: 0

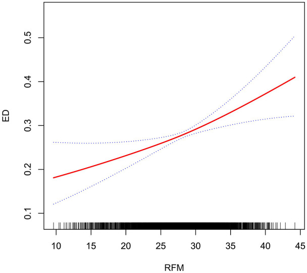
Abstract

Obesity is a significant factor contributing to erectile dysfunction (ED). Early detection of ED generally results in improved treatment outcomes. Our study aims to elucidate the association between relative fat mass (RFM) and ED by analyzing data from the National Health and Nutrition Inspection Survey (NHANES) spanning 2001 to 2004. We used data from NHANES 2001-2004, employing weighted, multivariable-adjusted logistic regression to assess the relationship between RFM and the risk of ED. Additional analyses included subgroup analysis, smooth curve fitting, and threshold effect analysis. Subsequently, the predictive utility of RFM, body mass index (BMI), and waist circumference (WC) for ED was evaluated using the receiver operating characteristic curve and area under the curve (AUC) calculations. A total of 3,947 American male participants were included in this retrospective study within NHANES. Weighted multivariate logistic regression analysis indicated that, after adjusting for potential confounding factors, RFM was positively associated with the risk of ED (OR = 1.03, 95% CI = 1.01-1.05, p < .001). No significant saturation effects between RFM and ED were observed (all ps > .05). In addition, RFM demonstrated superior predictive capability for ED (AUC = 0.644) compared with BMI (AUC = 0.525) and WC (AUC = 0.612). Our findings suggest that higher RFM levels are associated with an increased risk of ED, highlighting its potential utility as a predictive marker for this condition.

Abstract Image

Abstract Image

Abstract Image

相对脂肪量,一个更好的预测勃起功能障碍:来自NHANES 2001-2004的见解。
肥胖是导致勃起功能障碍(ED)的重要因素。早期发现ED通常会改善治疗效果。本研究旨在通过分析2001年至2004年美国国家健康与营养检查调查(NHANES)的数据,阐明相对脂肪量(RFM)与ED之间的关系。我们使用NHANES 2001-2004的数据,采用加权、多变量调整的逻辑回归来评估RFM与ED风险之间的关系。其他分析包括亚组分析、平滑曲线拟合和阈值效应分析。随后,使用受试者工作特征曲线和曲线下面积(AUC)计算评估RFM、体重指数(BMI)和腰围(WC)对ED的预测效用。NHANES的这项回顾性研究共纳入了3947名美国男性参与者。加权多因素logistic回归分析显示,在校正潜在混杂因素后,RFM与ED风险呈正相关(OR = 1.03, 95% CI = 1.01-1.05, p / ps / >.05)。此外,RFM对ED的预测能力(AUC = 0.644)优于BMI (AUC = 0.525)和WC (AUC = 0.612)。我们的研究结果表明,较高的RFM水平与ED风险增加有关,突出了其作为ED预测指标的潜在效用。
本文章由计算机程序翻译,如有差异,请以英文原文为准。
求助全文
约1分钟内获得全文 求助全文
来源期刊
American Journal of Men's Health
American Journal of Men's Health PUBLIC, ENVIRONMENTAL & OCCUPATIONAL HEALTH-
CiteScore
3.70
自引率
4.30%
发文量
107
审稿时长
15 weeks
期刊介绍: American Journal of Men"s Health will be a core resource for cutting-edge information regarding men"s health and illness. The Journal will publish papers from all health, behavioral and social disciplines, including but not limited to medicine, nursing, allied health, public health, health psychology/behavioral medicine, and medical sociology and anthropology.
×
引用
GB/T 7714-2015
复制
MLA
复制
APA
复制
导出至
BibTeX EndNote RefMan NoteFirst NoteExpress
×
提示
您的信息不完整,为了账户安全,请先补充。
现在去补充
×
提示
您因"违规操作"
具体请查看互助需知
我知道了
×
提示
确定
请完成安全验证×
copy
已复制链接
快去分享给好友吧!
我知道了
右上角分享
点击右上角分享
0
联系我们:info@booksci.cn Book学术提供免费学术资源搜索服务,方便国内外学者检索中英文文献。致力于提供最便捷和优质的服务体验。 Copyright © 2023 布克学术 All rights reserved.
京ICP备2023020795号-1
ghs 京公网安备 11010802042870号
Book学术文献互助
Book学术文献互助群
群 号:604180095
Book学术官方微信