Beyond the Comfort Zone: Strenuous Sports as a Preventive Tactic Against Benign Prostatic Hyperplasia.

IF 2.4 4区 医学 Q3 PUBLIC, ENVIRONMENTAL & OCCUPATIONAL HEALTH
Wei Zhang, Gang Li, Chengya Hao, Aijun Cheng
{"title":"Beyond the Comfort Zone: Strenuous Sports as a Preventive Tactic Against Benign Prostatic Hyperplasia.","authors":"Wei Zhang, Gang Li, Chengya Hao, Aijun Cheng","doi":"10.1177/15579883241311209","DOIUrl":null,"url":null,"abstract":"<p><p>Strenuous sports are associated with an enlarged prostate. However, the genetic causality of this association remains unclear. In this study, Mendelian randomization (MR) was used to explore the potential causal relationship between strenuous sports and prostatic hypertrophy. The study utilizes single nucleotide polymorphisms (SNPs) associated with strenuous sports obtained from published genome-wide association studies (GWAS), alongside summarized genetic data related to benign prostatic hyperplasia (BPH) from published GWAS. The primary analytical method used is the Inverse Variance-Weighted (IVW) approach for two-sample MR analysis. Heterogeneity of the results is assessed using Cochran's <i>Q</i>-statistic, while horizontal pleiotropy is evaluated using MR-Egger. Sensitivity analyses include \"leave-one-out\" tests. The findings indicate a protective causal effect of strenuous sports on BPH (OR = 0.927, 95% CI: [0.870, 0.988]; <i>p</i> = .020). Results from the Weighted Median (WM) method (OR = 0.904, 95% CI: [0.837, 0.978]; <i>p</i> = .011) support this discovery. Using Mendelian randomization, the study provides reliable causal evidence linking high-intensity exercise to a reduced risk of BPH, overcoming biases seen in traditional observational studies. The study demonstrates a causal protective effect of strenuous sports on BPH, suggesting exercise as a preventive strategy for prostate health.</p>","PeriodicalId":7429,"journal":{"name":"American Journal of Men's Health","volume":"19 1","pages":"15579883241311209"},"PeriodicalIF":2.4000,"publicationDate":"2025-01-01","publicationTypes":"Journal Article","fieldsOfStudy":null,"isOpenAccess":false,"openAccessPdf":"https://www.ncbi.nlm.nih.gov/pmc/articles/PMC11811983/pdf/","citationCount":"0","resultStr":null,"platform":"Semanticscholar","paperid":null,"PeriodicalName":"American Journal of Men's Health","FirstCategoryId":"3","ListUrlMain":"https://doi.org/10.1177/15579883241311209","RegionNum":4,"RegionCategory":"医学","ArticlePicture":[],"TitleCN":null,"AbstractTextCN":null,"PMCID":null,"EPubDate":"","PubModel":"","JCR":"Q3","JCRName":"PUBLIC, ENVIRONMENTAL & OCCUPATIONAL HEALTH","Score":null,"Total":0}
引用次数: 0

Abstract

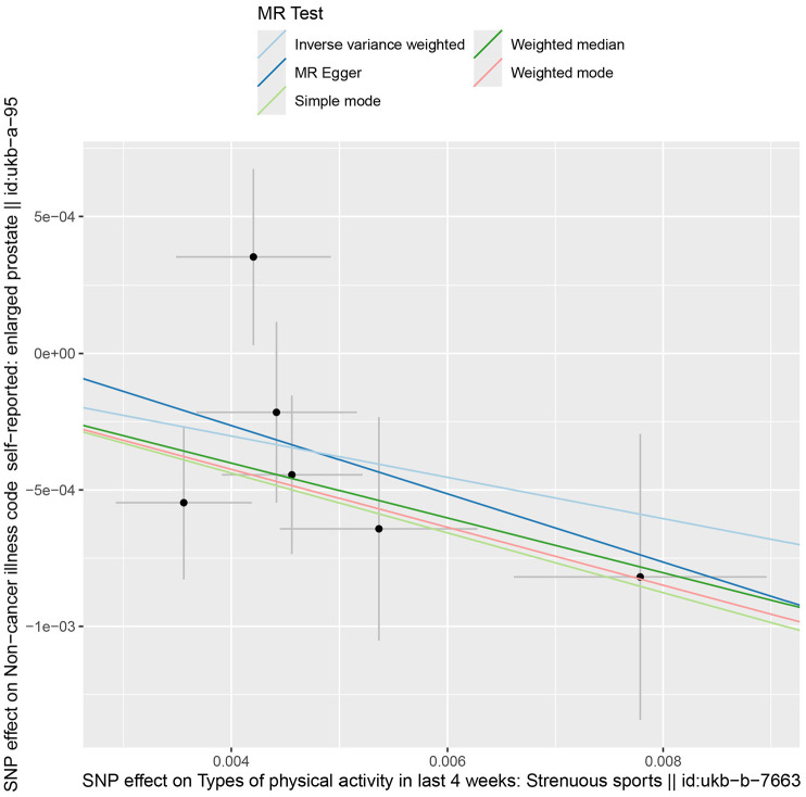
Strenuous sports are associated with an enlarged prostate. However, the genetic causality of this association remains unclear. In this study, Mendelian randomization (MR) was used to explore the potential causal relationship between strenuous sports and prostatic hypertrophy. The study utilizes single nucleotide polymorphisms (SNPs) associated with strenuous sports obtained from published genome-wide association studies (GWAS), alongside summarized genetic data related to benign prostatic hyperplasia (BPH) from published GWAS. The primary analytical method used is the Inverse Variance-Weighted (IVW) approach for two-sample MR analysis. Heterogeneity of the results is assessed using Cochran's Q-statistic, while horizontal pleiotropy is evaluated using MR-Egger. Sensitivity analyses include "leave-one-out" tests. The findings indicate a protective causal effect of strenuous sports on BPH (OR = 0.927, 95% CI: [0.870, 0.988]; p = .020). Results from the Weighted Median (WM) method (OR = 0.904, 95% CI: [0.837, 0.978]; p = .011) support this discovery. Using Mendelian randomization, the study provides reliable causal evidence linking high-intensity exercise to a reduced risk of BPH, overcoming biases seen in traditional observational studies. The study demonstrates a causal protective effect of strenuous sports on BPH, suggesting exercise as a preventive strategy for prostate health.

Abstract Image

Abstract Image

Abstract Image

超越舒适区:剧烈运动作为预防良性前列腺增生的策略。
剧烈运动与前列腺肥大有关。然而,这种关联的遗传因果关系仍不清楚。本研究采用孟德尔随机法(MR)来探讨剧烈运动与前列腺肥大之间的潜在因果关系。研究利用了从已发表的全基因组关联研究(GWAS)中获得的与剧烈运动相关的单核苷酸多态性(SNPs),以及从已发表的全基因组关联研究中总结的与良性前列腺增生(BPH)相关的遗传数据。采用的主要分析方法是反方差加权(IVW)法进行双样本磁共振分析。使用 Cochran 的 Q 统计量评估结果的异质性,使用 MR-Egger 评估水平多向性。敏感性分析包括 "leave-one-out "测试。研究结果表明,剧烈运动对良性前列腺增生症具有保护性因果效应(OR = 0.927,95% CI:[0.870, 0.988];p = .020)。加权中值法(WM)的结果(OR = 0.904,95% CI:[0.837, 0.978];p = .011)支持这一发现。该研究采用孟德尔随机法,提供了可靠的因果证据,证明高强度运动与降低良性前列腺增生症风险之间存在联系,克服了传统观察性研究中存在的偏差。该研究证明了剧烈运动对良性前列腺增生症的因果保护作用,建议将运动作为前列腺健康的预防策略。
本文章由计算机程序翻译,如有差异,请以英文原文为准。
求助全文
约1分钟内获得全文 求助全文
来源期刊
American Journal of Men's Health
American Journal of Men's Health PUBLIC, ENVIRONMENTAL & OCCUPATIONAL HEALTH-
CiteScore
3.70
自引率
4.30%
发文量
107
审稿时长
15 weeks
期刊介绍: American Journal of Men"s Health will be a core resource for cutting-edge information regarding men"s health and illness. The Journal will publish papers from all health, behavioral and social disciplines, including but not limited to medicine, nursing, allied health, public health, health psychology/behavioral medicine, and medical sociology and anthropology.
×
引用
GB/T 7714-2015
复制
MLA
复制
APA
复制
导出至
BibTeX EndNote RefMan NoteFirst NoteExpress
×
提示
您的信息不完整,为了账户安全,请先补充。
现在去补充
×
提示
您因"违规操作"
具体请查看互助需知
我知道了
×
提示
确定
请完成安全验证×
copy
已复制链接
快去分享给好友吧!
我知道了
右上角分享
点击右上角分享
0
联系我们:info@booksci.cn Book学术提供免费学术资源搜索服务,方便国内外学者检索中英文文献。致力于提供最便捷和优质的服务体验。 Copyright © 2023 布克学术 All rights reserved.
京ICP备2023020795号-1
ghs 京公网安备 11010802042870号
Book学术文献互助
Book学术文献互助群
群 号:604180095
Book学术官方微信