Short-term effects of COVID-19 vaccines on cardiac biomarkers: A comparative study between Pfizer/BioNTech and Sinopharm.

Q3 Medicine
Qatar Medical Journal Pub Date : 2024-12-30 eCollection Date: 2024-01-01 DOI:10.5339/qmj.2024.73
Yousaf Dawood, Saddam M Abed, Yousif H Khalaf
{"title":"Short-term effects of COVID-19 vaccines on cardiac biomarkers: A comparative study between Pfizer/BioNTech and Sinopharm.","authors":"Yousaf Dawood, Saddam M Abed, Yousif H Khalaf","doi":"10.5339/qmj.2024.73","DOIUrl":null,"url":null,"abstract":"<p><p><b>Objectives:</b> The aim of this study was to investigate the potential cardiac side effects associated with Pfizer/BioNTech and Sinopharm vaccines. <b>Methods:</b> A total of 200 healthy volunteers were enrolled after receiving two doses of Pfizer/BioNTech or Sinopharm vaccine 21 days apart. In addition, 100 healthy, unvaccinated individuals were included as a control group. Cardiac biomarkers such as cardiac troponin-I (cTnI), creatinine kinase-myocardial band (CK-MB), and myoglobin (MYO) were measured 4 days after receiving the second dose of vaccine. In addition, the SARS-CoV-2 neutralizing antibody levels of all participants were also determined. <b>Results:</b> Post-vaccination findings in both vaccinated groups were comparable. There was no statistically significant difference in cTnI, MYO, and CK-MB levels between the Pfizer/BioNTech and Sinopharm vaccine groups. Furthermore, our results showed that the levels of SARS-CoV-2 neutralizing antibodies stimulated by the Pfizer-BioNTech vaccine were significantly higher (171.19, <i>p</i> < 0.001) compared to the Sinopharm vaccine (70.14). Owing to the successful efficacy of the vaccine and based on the available data, COVID-19 vaccines remain the best option to eliminate the pandemic and its complications. <b>Conclusion:</b> Our study shows that both Pfizer-BioNTech and Sinopharm vaccines are safe for the heart in the short term, with no significant changes in cardiac biomarkers observed four days after vaccination. The findings suggest that these vaccines are effective and do not pose an immediate risk to cardiovascular health within the observed time frame. However, further research is required to assess the long-term cardiac safety profiles of these vaccines.</p>","PeriodicalId":53667,"journal":{"name":"Qatar Medical Journal","volume":"2024 4","pages":"73"},"PeriodicalIF":0.0000,"publicationDate":"2024-12-30","publicationTypes":"Journal Article","fieldsOfStudy":null,"isOpenAccess":false,"openAccessPdf":"https://www.ncbi.nlm.nih.gov/pmc/articles/PMC11804056/pdf/","citationCount":"0","resultStr":null,"platform":"Semanticscholar","paperid":null,"PeriodicalName":"Qatar Medical Journal","FirstCategoryId":"1085","ListUrlMain":"https://doi.org/10.5339/qmj.2024.73","RegionNum":0,"RegionCategory":null,"ArticlePicture":[],"TitleCN":null,"AbstractTextCN":null,"PMCID":null,"EPubDate":"2024/1/1 0:00:00","PubModel":"eCollection","JCR":"Q3","JCRName":"Medicine","Score":null,"Total":0}
引用次数: 0

Abstract

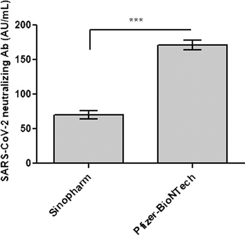
Objectives: The aim of this study was to investigate the potential cardiac side effects associated with Pfizer/BioNTech and Sinopharm vaccines. Methods: A total of 200 healthy volunteers were enrolled after receiving two doses of Pfizer/BioNTech or Sinopharm vaccine 21 days apart. In addition, 100 healthy, unvaccinated individuals were included as a control group. Cardiac biomarkers such as cardiac troponin-I (cTnI), creatinine kinase-myocardial band (CK-MB), and myoglobin (MYO) were measured 4 days after receiving the second dose of vaccine. In addition, the SARS-CoV-2 neutralizing antibody levels of all participants were also determined. Results: Post-vaccination findings in both vaccinated groups were comparable. There was no statistically significant difference in cTnI, MYO, and CK-MB levels between the Pfizer/BioNTech and Sinopharm vaccine groups. Furthermore, our results showed that the levels of SARS-CoV-2 neutralizing antibodies stimulated by the Pfizer-BioNTech vaccine were significantly higher (171.19, p < 0.001) compared to the Sinopharm vaccine (70.14). Owing to the successful efficacy of the vaccine and based on the available data, COVID-19 vaccines remain the best option to eliminate the pandemic and its complications. Conclusion: Our study shows that both Pfizer-BioNTech and Sinopharm vaccines are safe for the heart in the short term, with no significant changes in cardiac biomarkers observed four days after vaccination. The findings suggest that these vaccines are effective and do not pose an immediate risk to cardiovascular health within the observed time frame. However, further research is required to assess the long-term cardiac safety profiles of these vaccines.

Abstract Image

新冠肺炎疫苗对心脏生物标志物的短期影响:辉瑞/BioNTech与国药的比较研究
研究目的本研究旨在调查与辉瑞/生物技术公司和国药集团疫苗相关的潜在心脏副作用。研究方法共招募了 200 名健康志愿者,他们分别接种了两剂辉瑞/生物纳米技术或国药集团的疫苗,接种时间相隔 21 天。此外,还有 100 名未接种疫苗的健康人作为对照组。在接种第二剂疫苗 4 天后测量心脏生物标志物,如心肌肌钙蛋白-I (cTnI)、肌酸激酶-心肌带 (CK-MB) 和肌红蛋白 (MYO)。此外,还测定了所有参与者的 SARS-CoV-2 中和抗体水平。结果两组接种者接种后的结果相当。辉瑞/生物纳米技术公司疫苗组和国药集团疫苗组之间的 cTnI、MYO 和 CK-MB 水平差异无统计学意义。此外,我们的研究结果表明,辉瑞/生物纳米技术疫苗激发的 SARS-CoV-2 中和抗体水平明显更高(171.19,p 结论:辉瑞/生物纳米技术疫苗激发的 SARS-CoV-2 中和抗体水平明显高于国药集团疫苗激发的 SARS-CoV-2 中和抗体水平:我们的研究表明,辉瑞生物和国药集团的疫苗在短期内对心脏都是安全的,接种疫苗四天后,心脏生物标志物没有发生明显变化。研究结果表明,这些疫苗是有效的,在观察到的时间范围内不会对心血管健康造成直接风险。不过,还需要进一步研究来评估这些疫苗对心脏的长期安全性。
本文章由计算机程序翻译,如有差异,请以英文原文为准。
求助全文
约1分钟内获得全文 求助全文
来源期刊
Qatar Medical Journal
Qatar Medical Journal Medicine-Medicine (all)
CiteScore
1.80
自引率
0.00%
发文量
77
审稿时长
6 weeks
×
引用
GB/T 7714-2015
复制
MLA
复制
APA
复制
导出至
BibTeX EndNote RefMan NoteFirst NoteExpress
×
提示
您的信息不完整,为了账户安全,请先补充。
现在去补充
×
提示
您因"违规操作"
具体请查看互助需知
我知道了
×
提示
确定
请完成安全验证×
copy
已复制链接
快去分享给好友吧!
我知道了
右上角分享
点击右上角分享
0
联系我们:info@booksci.cn Book学术提供免费学术资源搜索服务,方便国内外学者检索中英文文献。致力于提供最便捷和优质的服务体验。 Copyright © 2023 布克学术 All rights reserved.
京ICP备2023020795号-1
ghs 京公网安备 11010802042870号
Book学术文献互助
Book学术文献互助群
群 号:604180095
Book学术官方微信