Association Between Alcohol Consumption and the Risk of Type 2 Diabetes Mellitus Across Different Body Mass Index Categories Among Japanese Workers.

IF 3 2区 医学 Q1 PUBLIC, ENVIRONMENTAL & OCCUPATIONAL HEALTH
Journal of Epidemiology Pub Date : 2025-08-05 Epub Date: 2025-06-18 DOI:10.2188/jea.JE20240259
Yu Wang, Yosuke Inoue, Shohei Yamamoto, Ami Fukunaga, Shuichiro Yamamoto, Toru Honda, Tohru Nakagawa, Takeshi Hayashi, Maki Konishi, Tetsuya Mizoue
{"title":"Association Between Alcohol Consumption and the Risk of Type 2 Diabetes Mellitus Across Different Body Mass Index Categories Among Japanese Workers.","authors":"Yu Wang, Yosuke Inoue, Shohei Yamamoto, Ami Fukunaga, Shuichiro Yamamoto, Toru Honda, Tohru Nakagawa, Takeshi Hayashi, Maki Konishi, Tetsuya Mizoue","doi":"10.2188/jea.JE20240259","DOIUrl":null,"url":null,"abstract":"<p><strong>Background: </strong>While evidence from Western countries links low-to-moderate alcohol consumption to a lower risk of type 2 diabetes mellitus (T2D), findings have been inconsistent in Asia. Since T2D in Asia involves both insulin resistance and deficient insulin secretion, both of which are differently affected by alcohol, we prospectively examined whether the association differs according to body mass index (BMI) categories among the Japanese.</p><p><strong>Methods: </strong>Participants were 31,524 health checkup examinees (26,819 males and 4,705 females aged 20-64 years) who were free from diabetes at baseline. Self-reported data on alcohol use were used to estimate the average daily alcohol consumption at the baseline. Incident diabetes was identified at annual checkups during the follow-up period. A Cox proportional hazards model was used to estimate hazard ratios and 95% confidence intervals.</p><p><strong>Results: </strong>During a median follow-up of 12.0 years, 3,527 male and 287 female participants developed T2D. The association between alcohol consumption and T2D risk differed markedly by BMI in both sexes. Among males, low- and moderate-level alcohol consumption was associated with a lower T2D risk in individuals with BMI ≥25.0 kg/m<sup>2</sup>, whereas consumption at a level of 2 go/day (approximately 46 g ethanol) was linked to an increased T2D risk in those with BMI ≤22.0 kg/m<sup>2</sup>. In females, similar patterns were observed, although confidence intervals were broad due to the smaller sample size.</p><p><strong>Conclusion: </strong>In Japan, low-to-moderate alcohol consumption may lower T2D risk in those with excess body weight, while high alcohol consumption may increase T2D risk in those with lower BMI.</p>","PeriodicalId":15799,"journal":{"name":"Journal of Epidemiology","volume":" ","pages":"364-372"},"PeriodicalIF":3.0000,"publicationDate":"2025-08-05","publicationTypes":"Journal Article","fieldsOfStudy":null,"isOpenAccess":false,"openAccessPdf":"https://www.ncbi.nlm.nih.gov/pmc/articles/PMC12237586/pdf/","citationCount":"0","resultStr":null,"platform":"Semanticscholar","paperid":null,"PeriodicalName":"Journal of Epidemiology","FirstCategoryId":"3","ListUrlMain":"https://doi.org/10.2188/jea.JE20240259","RegionNum":2,"RegionCategory":"医学","ArticlePicture":[],"TitleCN":null,"AbstractTextCN":null,"PMCID":null,"EPubDate":"2025/6/18 0:00:00","PubModel":"Epub","JCR":"Q1","JCRName":"PUBLIC, ENVIRONMENTAL & OCCUPATIONAL HEALTH","Score":null,"Total":0}
引用次数: 0

Abstract

Background: While evidence from Western countries links low-to-moderate alcohol consumption to a lower risk of type 2 diabetes mellitus (T2D), findings have been inconsistent in Asia. Since T2D in Asia involves both insulin resistance and deficient insulin secretion, both of which are differently affected by alcohol, we prospectively examined whether the association differs according to body mass index (BMI) categories among the Japanese.

Methods: Participants were 31,524 health checkup examinees (26,819 males and 4,705 females aged 20-64 years) who were free from diabetes at baseline. Self-reported data on alcohol use were used to estimate the average daily alcohol consumption at the baseline. Incident diabetes was identified at annual checkups during the follow-up period. A Cox proportional hazards model was used to estimate hazard ratios and 95% confidence intervals.

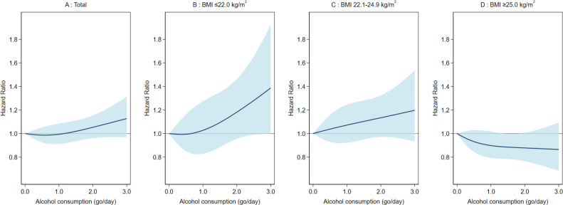
Results: During a median follow-up of 12.0 years, 3,527 male and 287 female participants developed T2D. The association between alcohol consumption and T2D risk differed markedly by BMI in both sexes. Among males, low- and moderate-level alcohol consumption was associated with a lower T2D risk in individuals with BMI ≥25.0 kg/m2, whereas consumption at a level of 2 go/day (approximately 46 g ethanol) was linked to an increased T2D risk in those with BMI ≤22.0 kg/m2. In females, similar patterns were observed, although confidence intervals were broad due to the smaller sample size.

Conclusion: In Japan, low-to-moderate alcohol consumption may lower T2D risk in those with excess body weight, while high alcohol consumption may increase T2D risk in those with lower BMI.

Abstract Image

Abstract Image

饮酒量与日本工人患2型糖尿病风险之间的关系。
背景:虽然来自西方国家的证据表明,低至中度饮酒与2型糖尿病(T2D)的风险较低有关,但亚洲的研究结果却不一致。由于亚洲的T2D涉及胰岛素抵抗和胰岛素分泌不足,两者都受到酒精的不同影响,因此我们前瞻性地研究了日本人的体重指数(BMI)类别是否存在相关性。方法:参与者为31,524名健康体检者(26,819名男性和4,705名女性,年龄在20-64岁),基线时无糖尿病。使用自我报告的酒精使用数据来估计基线时的平均每日酒精消费量。在随访期间的年度检查中确定偶发性糖尿病。Cox比例风险模型用于估计风险比和95%置信区间。结果:在中位随访12.0年期间,3527名男性和287名女性参与者发生了T2D。酒精摄入量与糖尿病风险之间的关系在两性中因BMI而有显著差异。在男性中,在BMI≥25.0 kg/m2的个体中,低水平和中等水平的酒精消费与较低的T2D风险相关,而在BMI≤22.0 kg/m2的个体中,每天2 go(约46 g乙醇)的消费与T2D风险增加相关。在女性中,也观察到类似的模式,尽管由于样本量较小,置信区间较宽。结论:在日本,低至中度饮酒可能会降低体重过重者的T2D风险,而高饮酒可能会增加BMI较低者的T2D风险。
本文章由计算机程序翻译,如有差异,请以英文原文为准。
求助全文
约1分钟内获得全文 求助全文
来源期刊
Journal of Epidemiology
Journal of Epidemiology 医学-公共卫生、环境卫生与职业卫生
CiteScore
7.50
自引率
4.30%
发文量
172
审稿时长
6-12 weeks
期刊介绍: The Journal of Epidemiology is the official open access scientific journal of the Japan Epidemiological Association. The Journal publishes a broad range of original research on epidemiology as it relates to human health, and aims to promote communication among those engaged in the field of epidemiological research and those who use epidemiological findings.
×
引用
GB/T 7714-2015
复制
MLA
复制
APA
复制
导出至
BibTeX EndNote RefMan NoteFirst NoteExpress
×
提示
您的信息不完整,为了账户安全,请先补充。
现在去补充
×
提示
您因"违规操作"
具体请查看互助需知
我知道了
×
提示
确定
请完成安全验证×
copy
已复制链接
快去分享给好友吧!
我知道了
右上角分享
点击右上角分享
0
联系我们:info@booksci.cn Book学术提供免费学术资源搜索服务,方便国内外学者检索中英文文献。致力于提供最便捷和优质的服务体验。 Copyright © 2023 布克学术 All rights reserved.
京ICP备2023020795号-1
ghs 京公网安备 11010802042870号
Book学术文献互助
Book学术文献互助群
群 号:604180095
Book学术官方微信