Associations between social networks, messaging apps, addictive behaviors, and sleep problems in adolescents: the EHDLA study.

IF 2.9 3区 医学 Q2 BEHAVIORAL SCIENCES
Frontiers in Behavioral Neuroscience Pub Date : 2025-01-24 eCollection Date: 2025-01-01 DOI:10.3389/fnbeh.2025.1512535
María Navalón-González, José Adrián Montenegro-Espinosa, Héctor Gutiérrez-Espinoza, Jorge Olivares-Arancibia, Rodrigo Yañéz-Sepúlveda, Daniel Duclos-Bastías, Miriam Garrido-Miguel, Arthur Eumann Mesas, José Francisco López-Gil, Estela Jiménez-López
{"title":"Associations between social networks, messaging apps, addictive behaviors, and sleep problems in adolescents: the EHDLA study.","authors":"María Navalón-González, José Adrián Montenegro-Espinosa, Héctor Gutiérrez-Espinoza, Jorge Olivares-Arancibia, Rodrigo Yañéz-Sepúlveda, Daniel Duclos-Bastías, Miriam Garrido-Miguel, Arthur Eumann Mesas, José Francisco López-Gil, Estela Jiménez-López","doi":"10.3389/fnbeh.2025.1512535","DOIUrl":null,"url":null,"abstract":"<p><strong>Objective: </strong>The current study aims to provide a comprehensive analysis of the relationships between social network (SN) use, messaging apps use, and addictive behaviors related to SNs, and sleep-related problems in a sample of Spanish adolescents.</p><p><strong>Methods: </strong>This was a cross-sectional study using data from the Eating Healthy and Daily Life Activities (EHDLA) project, which involved adolescents aged 12-17 years from three secondary schools in <i>Valle de Ricote</i> (Region of Murcia, Spain). A sample of 632 adolescents was studied. The use of SN (i.e., Facebook, Twitter, Instagram, Snapchat or TikTok) or messaging applications (i.e., WhatsApp) was assessed via a scale including one item for each SN, in which adolescents were asked what type of SN they used and the usage profile of each SN. The Short Social Networks Addiction Scale-6 Symptoms (SNAddS-6S) was used to determine SN addictive behaviors. Generalized linear regression analyses with a negative binomial distribution were performed to determine the associations of SN use or SN addictive behaviors with sleep-related problems. These analyses were adjusted for age, sex, body mass index, socioeconomic level, physical activity, sedentary behavior, and adherence to the Mediterranean diet.</p><p><strong>Results: </strong>Higher SN use was related to greater presence of sleep-related problems [prevalence ratio (PR) = 1.04; 95% confidence interval (CI) 1.01-1.07; <i>p</i> = 0.015]. Additionally, the higher the score on the addictive behaviors toward SN use scale was, the more sleep-related problems were identified (PR = 1.15; 95% Cl 1.09 to 1.21; <i>p</i> < 0.001). Specifically, only the use of Twitter was significantly associated with sleep-related problems (PR = 1.10; 95% Cl 1.01 to 1.21; <i>p</i> = 0.035). In terms of addictive behaviors related to SN use, mood modification, relapse, withdrawal, and conflict were significantly associated with sleep-related problems (mood modification: PR = 1.58; 95% CI 1.36 to 1.84; <i>p</i> < 0.001; relapse: PR = 1.24; 95% CI 1.07 to 1.43; <i>p</i> = 0.004; withdrawal: PR = 1.28; 95% CI 1.08 to 1.51; <i>p</i> = 0.004; conflict: PR = 1.19; 95% CI 1.01 to 1.39; <i>p</i> = 0.037).</p><p><strong>Conclusion: </strong>Our results suggest a relationship between SN use, SN addictive behaviors, and sleep-related problems in adolescents. These cross-sectional results should be confirmed in longitudinal and intervention studies.</p>","PeriodicalId":12368,"journal":{"name":"Frontiers in Behavioral Neuroscience","volume":"19 ","pages":"1512535"},"PeriodicalIF":2.9000,"publicationDate":"2025-01-24","publicationTypes":"Journal Article","fieldsOfStudy":null,"isOpenAccess":false,"openAccessPdf":"https://www.ncbi.nlm.nih.gov/pmc/articles/PMC11802513/pdf/","citationCount":"0","resultStr":null,"platform":"Semanticscholar","paperid":null,"PeriodicalName":"Frontiers in Behavioral Neuroscience","FirstCategoryId":"3","ListUrlMain":"https://doi.org/10.3389/fnbeh.2025.1512535","RegionNum":3,"RegionCategory":"医学","ArticlePicture":[],"TitleCN":null,"AbstractTextCN":null,"PMCID":null,"EPubDate":"2025/1/1 0:00:00","PubModel":"eCollection","JCR":"Q2","JCRName":"BEHAVIORAL SCIENCES","Score":null,"Total":0}
引用次数: 0

Abstract

Objective: The current study aims to provide a comprehensive analysis of the relationships between social network (SN) use, messaging apps use, and addictive behaviors related to SNs, and sleep-related problems in a sample of Spanish adolescents.

Methods: This was a cross-sectional study using data from the Eating Healthy and Daily Life Activities (EHDLA) project, which involved adolescents aged 12-17 years from three secondary schools in Valle de Ricote (Region of Murcia, Spain). A sample of 632 adolescents was studied. The use of SN (i.e., Facebook, Twitter, Instagram, Snapchat or TikTok) or messaging applications (i.e., WhatsApp) was assessed via a scale including one item for each SN, in which adolescents were asked what type of SN they used and the usage profile of each SN. The Short Social Networks Addiction Scale-6 Symptoms (SNAddS-6S) was used to determine SN addictive behaviors. Generalized linear regression analyses with a negative binomial distribution were performed to determine the associations of SN use or SN addictive behaviors with sleep-related problems. These analyses were adjusted for age, sex, body mass index, socioeconomic level, physical activity, sedentary behavior, and adherence to the Mediterranean diet.

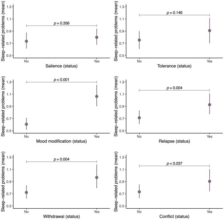
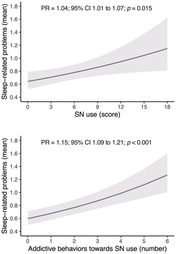
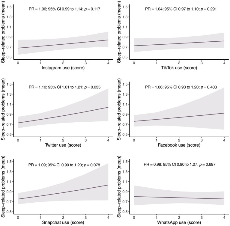
Results: Higher SN use was related to greater presence of sleep-related problems [prevalence ratio (PR) = 1.04; 95% confidence interval (CI) 1.01-1.07; p = 0.015]. Additionally, the higher the score on the addictive behaviors toward SN use scale was, the more sleep-related problems were identified (PR = 1.15; 95% Cl 1.09 to 1.21; p < 0.001). Specifically, only the use of Twitter was significantly associated with sleep-related problems (PR = 1.10; 95% Cl 1.01 to 1.21; p = 0.035). In terms of addictive behaviors related to SN use, mood modification, relapse, withdrawal, and conflict were significantly associated with sleep-related problems (mood modification: PR = 1.58; 95% CI 1.36 to 1.84; p < 0.001; relapse: PR = 1.24; 95% CI 1.07 to 1.43; p = 0.004; withdrawal: PR = 1.28; 95% CI 1.08 to 1.51; p = 0.004; conflict: PR = 1.19; 95% CI 1.01 to 1.39; p = 0.037).

Conclusion: Our results suggest a relationship between SN use, SN addictive behaviors, and sleep-related problems in adolescents. These cross-sectional results should be confirmed in longitudinal and intervention studies.

Abstract Image

Abstract Image

Abstract Image

社交网络、即时通讯应用、成瘾行为和青少年睡眠问题之间的联系:EHDLA研究。
目的:本研究旨在全面分析西班牙青少年社交网络(SN)使用、即时通讯应用程序使用、社交网络相关成瘾行为和睡眠相关问题之间的关系。方法:这是一项横断面研究,使用来自健康饮食和日常生活活动(EHDLA)项目的数据,研究对象是来自Valle de Ricote(西班牙穆尔西亚地区)三所中学的12-17 岁的青少年。对632名青少年进行了研究。社交网络(即Facebook、Twitter、Instagram、Snapchat或TikTok)或即时通讯应用(即WhatsApp)的使用情况通过一个量表进行评估,其中每个社交网络有一个项目,其中青少年被问及他们使用的社交网络类型以及每个社交网络的使用概况。使用短社交网络成瘾量表-6症状(snadd - 6s)来确定短社交网络成瘾行为。采用负二项分布的广义线性回归分析来确定SN使用或SN成瘾行为与睡眠相关问题的关系。这些分析根据年龄、性别、体重指数、社会经济水平、身体活动、久坐行为和对地中海饮食的依从性进行了调整。结果:睡眠相关问题的患病率(PR) = 1.04;95%置信区间(CI) 1.01-1.07;p = 0.015]。此外,睡眠成瘾行为量表得分越高,发现的睡眠相关问题越多(PR = 1.15;95% Cl 1.09 ~ 1.21; p = 0.035页)。在与SN使用相关的成瘾行为方面,情绪改变、复发、戒断和冲突与睡眠相关问题显著相关(情绪改变:PR = 1.58;95% CI 1.36 ~ 1.84;p  = 0.004;退出:公关 = 1.28;95% CI 1.08 ~ 1.51;p = 0.004;冲突:公关 = 1.19;95% CI 1.01 ~ 1.39; = 0.037页)。结论:本研究结果提示青少年SN使用、SN成瘾行为与睡眠相关问题之间存在关联。这些横断面研究结果应在纵向研究和干预研究中得到证实。
本文章由计算机程序翻译,如有差异,请以英文原文为准。
求助全文
约1分钟内获得全文 求助全文
来源期刊
Frontiers in Behavioral Neuroscience
Frontiers in Behavioral Neuroscience BEHAVIORAL SCIENCES-NEUROSCIENCES
CiteScore
4.70
自引率
3.30%
发文量
506
审稿时长
6-12 weeks
期刊介绍: Frontiers in Behavioral Neuroscience is a leading journal in its field, publishing rigorously peer-reviewed research that advances our understanding of the neural mechanisms underlying behavior. Field Chief Editor Nuno Sousa at the Instituto de Pesquisa em Ciências da Vida e da Saúde (ICVS) is supported by an outstanding Editorial Board of international experts. This multidisciplinary open-access journal is at the forefront of disseminating and communicating scientific knowledge and impactful discoveries to researchers, academics, clinicians and the public worldwide. This journal publishes major insights into the neural mechanisms of animal and human behavior, and welcomes articles studying the interplay between behavior and its neurobiological basis at all levels: from molecular biology and genetics, to morphological, biochemical, neurochemical, electrophysiological, neuroendocrine, pharmacological, and neuroimaging studies.
×
引用
GB/T 7714-2015
复制
MLA
复制
APA
复制
导出至
BibTeX EndNote RefMan NoteFirst NoteExpress
×
提示
您的信息不完整,为了账户安全,请先补充。
现在去补充
×
提示
您因"违规操作"
具体请查看互助需知
我知道了
×
提示
确定
请完成安全验证×
copy
已复制链接
快去分享给好友吧!
我知道了
右上角分享
点击右上角分享
0
联系我们:info@booksci.cn Book学术提供免费学术资源搜索服务,方便国内外学者检索中英文文献。致力于提供最便捷和优质的服务体验。 Copyright © 2023 布克学术 All rights reserved.
京ICP备2023020795号-1
ghs 京公网安备 11010802042870号
Book学术文献互助
Book学术文献互助群
群 号:604180095
Book学术官方微信