Peripheral monocyte subsets are altered during gestation in oocyte donation pregnancy complicated with pre-eclampsia.

IF 1.6 4区 医学 Q2 IMMUNOLOGY
Xuezi Tian, Jia Li, Kim van Bentem, Ciska Lindelauf, Johanna M Kapsenberg, Carin van der Keur, Lisa E E L O Lashley, Vincent van Unen, Dave L Roelen, Frits Koning, Michael Eikmans, Marie-Louise P van der Hoorn
{"title":"Peripheral monocyte subsets are altered during gestation in oocyte donation pregnancy complicated with pre-eclampsia.","authors":"Xuezi Tian, Jia Li, Kim van Bentem, Ciska Lindelauf, Johanna M Kapsenberg, Carin van der Keur, Lisa E E L O Lashley, Vincent van Unen, Dave L Roelen, Frits Koning, Michael Eikmans, Marie-Louise P van der Hoorn","doi":"10.1111/sji.13432","DOIUrl":null,"url":null,"abstract":"<p><p>Oocyte donation (OD) pregnancies show a higher fetal-maternal incompatibility and a higher risk of developing pre-eclampsia (PE) than autologous pregnancies. As maternal monocytes play a role in the tolerization of the allogeneic fetus, the aim of this study was to analyse monocyte phenotypes in healthy and PE OD pregnancies. We collected maternal peripheral blood at different gestational time points in healthy (n = 10) and PE (n = 5) OD pregnancies. Fetal-maternal human leukocyte antigen (HLA) mismatches were calculated. We used a 35-colour antibody panel for Aurora spectral flow cytometry to analyse the composition and surface marker expression of monocyte subsets. Expression of CD38 on intermediate monocytes significantly increased throughout gestation in healthy OD pregnancies. Compared with the healthy group, the PE group exhibited even higher CD38 expression on monocyte subsets, with statistical significance. Immune inhibiting receptors CD85j (LILRB1) and CD85d (LILRB2), as well as monocyte recruitment regulating molecules CCR2 and CD91, also showed significantly enhanced expression on monocyte subsets during PE. When comparing healthy and PE OD only in pregnancies with high HLA mismatches, the different CD38 and CD85j expression in monocyte subsets was still significant. In conclusion, in healthy OD pregnancies, the upregulated CD38 expression might reflect a proinflammatory condition specifically at the third trimester. In PE OD pregnancies, expression of both inflammatory and immune regulatory markers is increased in maternal peripheral monocyte subsets. The elevated expression of CCR2 and CD91 on these subsets might reflect monocyte chemotaxis and the effect from systemic vascular dysfunction at the late stage of PE.</p>","PeriodicalId":21493,"journal":{"name":"Scandinavian Journal of Immunology","volume":"101 2","pages":"e13432"},"PeriodicalIF":1.6000,"publicationDate":"2025-02-01","publicationTypes":"Journal Article","fieldsOfStudy":null,"isOpenAccess":false,"openAccessPdf":"https://www.ncbi.nlm.nih.gov/pmc/articles/PMC11806125/pdf/","citationCount":"0","resultStr":null,"platform":"Semanticscholar","paperid":null,"PeriodicalName":"Scandinavian Journal of Immunology","FirstCategoryId":"3","ListUrlMain":"https://doi.org/10.1111/sji.13432","RegionNum":4,"RegionCategory":"医学","ArticlePicture":[],"TitleCN":null,"AbstractTextCN":null,"PMCID":null,"EPubDate":"","PubModel":"","JCR":"Q2","JCRName":"IMMUNOLOGY","Score":null,"Total":0}
引用次数: 0

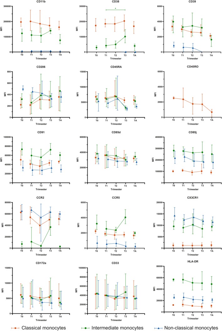
Abstract

Oocyte donation (OD) pregnancies show a higher fetal-maternal incompatibility and a higher risk of developing pre-eclampsia (PE) than autologous pregnancies. As maternal monocytes play a role in the tolerization of the allogeneic fetus, the aim of this study was to analyse monocyte phenotypes in healthy and PE OD pregnancies. We collected maternal peripheral blood at different gestational time points in healthy (n = 10) and PE (n = 5) OD pregnancies. Fetal-maternal human leukocyte antigen (HLA) mismatches were calculated. We used a 35-colour antibody panel for Aurora spectral flow cytometry to analyse the composition and surface marker expression of monocyte subsets. Expression of CD38 on intermediate monocytes significantly increased throughout gestation in healthy OD pregnancies. Compared with the healthy group, the PE group exhibited even higher CD38 expression on monocyte subsets, with statistical significance. Immune inhibiting receptors CD85j (LILRB1) and CD85d (LILRB2), as well as monocyte recruitment regulating molecules CCR2 and CD91, also showed significantly enhanced expression on monocyte subsets during PE. When comparing healthy and PE OD only in pregnancies with high HLA mismatches, the different CD38 and CD85j expression in monocyte subsets was still significant. In conclusion, in healthy OD pregnancies, the upregulated CD38 expression might reflect a proinflammatory condition specifically at the third trimester. In PE OD pregnancies, expression of both inflammatory and immune regulatory markers is increased in maternal peripheral monocyte subsets. The elevated expression of CCR2 and CD91 on these subsets might reflect monocyte chemotaxis and the effect from systemic vascular dysfunction at the late stage of PE.

Abstract Image

Abstract Image

Abstract Image

外周单核细胞亚群在卵子捐赠妊娠合并先兆子痫期间发生改变。
与自体妊娠相比,卵母细胞捐献(OD)妊娠显示出更高的胎儿-母体不相容性和患先兆子痫(PE)的风险。由于母体单核细胞在异体胎儿的耐受性中起作用,本研究旨在分析健康妊娠和子痫前期 OD 妊娠的单核细胞表型。我们在不同的妊娠时间点采集了健康(10 例)和 PE(5 例)外周妊娠的母体外周血。计算胎儿与母体人类白细胞抗原(HLA)的错配情况。我们使用极光光谱流式细胞术的 35 色抗体面板来分析单核细胞亚群的组成和表面标志物的表达。在健康 OD 孕妇的整个妊娠期,中间单核细胞上 CD38 的表达明显增加。与健康组相比,PE 组单核细胞亚群的 CD38 表达量更高,具有统计学意义。免疫抑制受体 CD85j(LILRB1)和 CD85d(LILRB2)以及单核细胞募集调节分子 CCR2 和 CD91 在 PE 期间在单核细胞亚群上的表达也明显增加。如果仅在 HLA 高度不匹配的妊娠中比较健康和 PE OD,CD38 和 CD85j 在单核细胞亚群中的表达差异仍然显著。总之,在健康的外周妊娠中,CD38表达的上调可能反映了妊娠三个月时的促炎症状态。在 PE OD 妊娠中,母体外周单核细胞亚群中炎症和免疫调节标志物的表达都会增加。这些亚群中 CCR2 和 CD91 表达的升高可能反映了单核细胞的趋化作用以及 PE 晚期全身血管功能障碍的影响。
本文章由计算机程序翻译,如有差异,请以英文原文为准。
求助全文
约1分钟内获得全文 求助全文
来源期刊
CiteScore
7.70
自引率
5.40%
发文量
109
审稿时长
1 months
期刊介绍: This peer-reviewed international journal publishes original articles and reviews on all aspects of basic, translational and clinical immunology. The journal aims to provide high quality service to authors, and high quality articles for readers. The journal accepts for publication material from investigators all over the world, which makes a significant contribution to basic, translational and clinical immunology.
×
引用
GB/T 7714-2015
复制
MLA
复制
APA
复制
导出至
BibTeX EndNote RefMan NoteFirst NoteExpress
×
提示
您的信息不完整,为了账户安全,请先补充。
现在去补充
×
提示
您因"违规操作"
具体请查看互助需知
我知道了
×
提示
确定
请完成安全验证×
copy
已复制链接
快去分享给好友吧!
我知道了
右上角分享
点击右上角分享
0
联系我们:info@booksci.cn Book学术提供免费学术资源搜索服务,方便国内外学者检索中英文文献。致力于提供最便捷和优质的服务体验。 Copyright © 2023 布克学术 All rights reserved.
京ICP备2023020795号-1
ghs 京公网安备 11010802042870号
Book学术文献互助
Book学术文献互助群
群 号:604180095
Book学术官方微信