PR/SET domain 1 targeting glutathione peroxidase 4 regulates chronic hepatitis B liver fibrosis through ferroptosis.

IF 3.1 4区 医学 Q2 PATHOLOGY
Cytojournal Pub Date : 2024-12-30 eCollection Date: 2024-01-01 DOI:10.25259/Cytojournal_123_2024
Wenjun Wu, Wenhai Ke, Weiping Shi, Ting Lin, Shenglong Lin, Minghua Lin, Huaxi Ma, Haibing Gao
{"title":"PR/SET domain 1 targeting glutathione peroxidase 4 regulates chronic hepatitis B liver fibrosis through ferroptosis.","authors":"Wenjun Wu, Wenhai Ke, Weiping Shi, Ting Lin, Shenglong Lin, Minghua Lin, Huaxi Ma, Haibing Gao","doi":"10.25259/Cytojournal_123_2024","DOIUrl":null,"url":null,"abstract":"<p><strong>Objective: </strong>Addressing the inhibition and reversal of chronic hepatitis B fibrosis is an urgent global challenge, which highlights the critical need to understand its underlying mechanisms. Inhibiting the activation of hepatic stellate cells (HSCs) is an important strategy for fibrosis reversal. In particular, the induction of ferroptosis in HSCs presents a promising avenue for curtailing liver fibrosis. Therefore, this study explores the influence of PR/SET domain 1 (PRDM1), which is a transcriptional regulator, on the progression of liver fibrosis by regulating HSC ferroptosis through glutathione peroxidase 4 (GPX4).</p><p><strong>Material and methods: </strong>We used protein-protein interaction databases to analyze the interacting proteins of GPX4. The messenger ribonucleic acid levels of PRDM1 and GPX4 in liver tissues with varying degrees of fibrosis were examined using quantitative polymerase chain reaction. Cell lines with interference and overexpression of PRDM1/GPX4 were established. Reactive oxygen species (ROS) activity, malondialdehyde (MDA) concentration, cell proliferation capacity, as well as the expression levels of GPX4, a-smooth muscle actin, vimentin, and desmin, were assessed to investigate the relationship between PRDM1 and hepatic fibrosis, as well as its impact on ferroptosis in HSCs.</p><p><strong>Results: </strong>A significant negative correlation was observed between the transcriptional regulator PRDM1 and GPX4. As the degree of fibrosis worsened, PRDM1 decreased significantly, whereas GPX4 increased significantly. The overexpression of PRDM1 markedly increased ROS and MDA concentrations, but it decreased cell proliferation capacity, GPX4 expression levels, and activation marker protein levels. Interference with PRDM1 yielded opposite results. The expression level of GPX4 did not affect PRMD1 expression levels. Compared with cells with single interference of PRDM1, simultaneous interference with PRDM1 and GPX4 significantly inhibited the activity and proliferation capacity of HSCs. It also elevated ROS activity and MDA concentrations. When ferroptosis inhibitors were added, ROS activity and MDA concentrations decreased, and the proliferation capacity and activity of HSCs increased. Opposite results were obtained when PRDM1 and GPX4 were overexpressed simultaneously.</p><p><strong>Conclusion: </strong>PRDM1 is implicated in the occurrence and progression of hepatic fibrosis. It may act as an upstream regulatory factor of GPX4, which exerts control over ferroptosis by suppressing the transcription of GPX4. Ultimately, the activation of HSCs is promoted.</p>","PeriodicalId":49082,"journal":{"name":"Cytojournal","volume":"21 ","pages":"78"},"PeriodicalIF":3.1000,"publicationDate":"2024-12-30","publicationTypes":"Journal Article","fieldsOfStudy":null,"isOpenAccess":false,"openAccessPdf":"https://www.ncbi.nlm.nih.gov/pmc/articles/PMC11801650/pdf/","citationCount":"0","resultStr":null,"platform":"Semanticscholar","paperid":null,"PeriodicalName":"Cytojournal","FirstCategoryId":"3","ListUrlMain":"https://doi.org/10.25259/Cytojournal_123_2024","RegionNum":4,"RegionCategory":"医学","ArticlePicture":[],"TitleCN":null,"AbstractTextCN":null,"PMCID":null,"EPubDate":"2024/1/1 0:00:00","PubModel":"eCollection","JCR":"Q2","JCRName":"PATHOLOGY","Score":null,"Total":0}
引用次数: 0

Abstract

Objective: Addressing the inhibition and reversal of chronic hepatitis B fibrosis is an urgent global challenge, which highlights the critical need to understand its underlying mechanisms. Inhibiting the activation of hepatic stellate cells (HSCs) is an important strategy for fibrosis reversal. In particular, the induction of ferroptosis in HSCs presents a promising avenue for curtailing liver fibrosis. Therefore, this study explores the influence of PR/SET domain 1 (PRDM1), which is a transcriptional regulator, on the progression of liver fibrosis by regulating HSC ferroptosis through glutathione peroxidase 4 (GPX4).

Material and methods: We used protein-protein interaction databases to analyze the interacting proteins of GPX4. The messenger ribonucleic acid levels of PRDM1 and GPX4 in liver tissues with varying degrees of fibrosis were examined using quantitative polymerase chain reaction. Cell lines with interference and overexpression of PRDM1/GPX4 were established. Reactive oxygen species (ROS) activity, malondialdehyde (MDA) concentration, cell proliferation capacity, as well as the expression levels of GPX4, a-smooth muscle actin, vimentin, and desmin, were assessed to investigate the relationship between PRDM1 and hepatic fibrosis, as well as its impact on ferroptosis in HSCs.

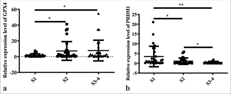
Results: A significant negative correlation was observed between the transcriptional regulator PRDM1 and GPX4. As the degree of fibrosis worsened, PRDM1 decreased significantly, whereas GPX4 increased significantly. The overexpression of PRDM1 markedly increased ROS and MDA concentrations, but it decreased cell proliferation capacity, GPX4 expression levels, and activation marker protein levels. Interference with PRDM1 yielded opposite results. The expression level of GPX4 did not affect PRMD1 expression levels. Compared with cells with single interference of PRDM1, simultaneous interference with PRDM1 and GPX4 significantly inhibited the activity and proliferation capacity of HSCs. It also elevated ROS activity and MDA concentrations. When ferroptosis inhibitors were added, ROS activity and MDA concentrations decreased, and the proliferation capacity and activity of HSCs increased. Opposite results were obtained when PRDM1 and GPX4 were overexpressed simultaneously.

Conclusion: PRDM1 is implicated in the occurrence and progression of hepatic fibrosis. It may act as an upstream regulatory factor of GPX4, which exerts control over ferroptosis by suppressing the transcription of GPX4. Ultimately, the activation of HSCs is promoted.

Abstract Image

Abstract Image

Abstract Image

靶向谷胱甘肽过氧化物酶4的PR/SET结构域1通过铁凋亡调控慢性乙型肝炎肝纤维化。
目的:解决慢性乙型肝炎纤维化的抑制和逆转是一个紧迫的全球挑战,这突出了了解其潜在机制的迫切需要。抑制肝星状细胞(hsc)的活化是纤维化逆转的重要策略。特别是,在造血干细胞中诱导铁下垂为减少肝纤维化提供了一个有希望的途径。因此,本研究探讨转录调节因子PR/SET domain 1 (PRDM1)通过谷胱甘肽过氧化物酶4 (glutathione peroxidase 4, GPX4)调控HSC铁凋亡对肝纤维化进展的影响。材料与方法:利用蛋白-蛋白相互作用数据库分析GPX4的相互作用蛋白。采用定量聚合酶链反应检测不同纤维化程度肝组织中PRDM1和GPX4信使核糖核酸水平。建立了干扰和过表达PRDM1/GPX4的细胞系。通过检测活性氧(ROS)活性、丙二醛(MDA)浓度、细胞增殖能力以及GPX4、a-平滑肌肌动蛋白、vimentin和desmin的表达水平,探讨PRDM1与肝纤维化的关系及其对hsc铁凋亡的影响。结果:转录调控因子PRDM1与GPX4呈显著负相关。随着纤维化程度的加重,PRDM1显著降低,GPX4显著升高。过表达PRDM1可显著提高ROS和MDA浓度,但降低细胞增殖能力、GPX4表达水平和激活标记蛋白水平。干扰PRDM1产生相反的结果。GPX4的表达水平不影响PRMD1的表达水平。与单一干扰PRDM1的细胞相比,同时干扰PRDM1和GPX4可显著抑制hsc的活性和增殖能力。它还能提高ROS活性和MDA浓度。当添加铁下垂抑制剂时,ROS活性和MDA浓度降低,造血干细胞的增殖能力和活性增加。当PRDM1和GPX4同时过表达时,得到相反的结果。结论:PRDM1参与肝纤维化的发生和发展。它可能作为GPX4的上游调控因子,通过抑制GPX4的转录来控制铁下垂。最终促进造血干细胞的活化。
本文章由计算机程序翻译,如有差异,请以英文原文为准。
求助全文
约1分钟内获得全文 求助全文
来源期刊
Cytojournal
Cytojournal PATHOLOGY-
CiteScore
2.20
自引率
42.10%
发文量
56
审稿时长
>12 weeks
期刊介绍: The CytoJournal is an open-access peer-reviewed journal committed to publishing high-quality articles in the field of Diagnostic Cytopathology including Molecular aspects. The journal is owned by the Cytopathology Foundation and published by the Scientific Scholar.
×
引用
GB/T 7714-2015
复制
MLA
复制
APA
复制
导出至
BibTeX EndNote RefMan NoteFirst NoteExpress
×
提示
您的信息不完整,为了账户安全,请先补充。
现在去补充
×
提示
您因"违规操作"
具体请查看互助需知
我知道了
×
提示
确定
请完成安全验证×
copy
已复制链接
快去分享给好友吧!
我知道了
右上角分享
点击右上角分享
0
联系我们:info@booksci.cn Book学术提供免费学术资源搜索服务,方便国内外学者检索中英文文献。致力于提供最便捷和优质的服务体验。 Copyright © 2023 布克学术 All rights reserved.
京ICP备2023020795号-1
ghs 京公网安备 11010802042870号
Book学术文献互助
Book学术文献互助群
群 号:604180095
Book学术官方微信