Comparison of Cardiorespiratory Fitness Testing Measures in Children.

Q1 Health Professions
Trey R Naylor, Mariana V Jacobs, Michael C Taylor, Jody L Clasey
{"title":"Comparison of Cardiorespiratory Fitness Testing Measures in Children.","authors":"Trey R Naylor, Mariana V Jacobs, Michael C Taylor, Jody L Clasey","doi":"10.70252/XTQW5048","DOIUrl":null,"url":null,"abstract":"<p><p>There is currently an exponential increase in the prevalence of childhood obesity thus warranting the demand to appropriately measure and evaluate cardiorespiratory fitness within educational settings. The aims of this study were to (1) compare measured peak oxygen consumption (VO<sub>2</sub>peak), heart rate peak (HRpeak), and 1-min heart rate recovery (HRRec) responses obtained using a GXTmax and the PACER test; and (2) compare the VO<sub>2</sub>peak from the GXTmax and PACER test to a PACER prediction equation (ScottEqua).</p><p><strong>Methods: </strong>This study included 32 (16 boys) children. Despite not having maturational assessments on these children, we limited the subject's age range from 10-11 year old's to decrease the possibility of including additional variability in pubertal status. The participants were classified by body mass index for age and sex percentiles (BMI%) as Healthy-Weight (HW BMI% ≤ 85<sup>th</sup> percentile) or At-Risk (AR BMI% > 85<sup>th</sup> percentile). Participants completed the GXTmax and PACER tests while wearing a portable metabolic system to measure VO<sub>2</sub>peak; and these measures were compared to the estimated VO<sub>2</sub>peak using the ScottEqua. Group mean differences and correlation analysis were used to compare the testing and predictive procedures.</p><p><strong>Results: </strong>We found no significant differences between the GXTmax and PACER VO<sub>2</sub>peak; however, the Scott Equa VO<sub>2</sub>peak was significantly greater than these measures. HRpeak was significantly greater during the GXTmax; but no significant HRRec were found.</p><p><strong>Conclusions: </strong>The PACER and GXTmax provide similar VO<sub>2</sub>peak measures; however, PACER prediction equations should be used with caution in children 10-11 years.</p>","PeriodicalId":14171,"journal":{"name":"International journal of exercise science","volume":"18 8","pages":"65-78"},"PeriodicalIF":0.0000,"publicationDate":"2025-01-01","publicationTypes":"Journal Article","fieldsOfStudy":null,"isOpenAccess":false,"openAccessPdf":"https://www.ncbi.nlm.nih.gov/pmc/articles/PMC11798550/pdf/","citationCount":"0","resultStr":null,"platform":"Semanticscholar","paperid":null,"PeriodicalName":"International journal of exercise science","FirstCategoryId":"1085","ListUrlMain":"https://doi.org/10.70252/XTQW5048","RegionNum":0,"RegionCategory":null,"ArticlePicture":[],"TitleCN":null,"AbstractTextCN":null,"PMCID":null,"EPubDate":"","PubModel":"","JCR":"Q1","JCRName":"Health Professions","Score":null,"Total":0}
引用次数: 0

Abstract

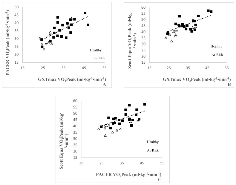
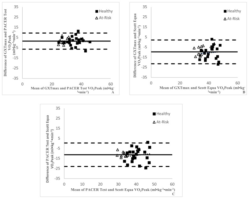
There is currently an exponential increase in the prevalence of childhood obesity thus warranting the demand to appropriately measure and evaluate cardiorespiratory fitness within educational settings. The aims of this study were to (1) compare measured peak oxygen consumption (VO2peak), heart rate peak (HRpeak), and 1-min heart rate recovery (HRRec) responses obtained using a GXTmax and the PACER test; and (2) compare the VO2peak from the GXTmax and PACER test to a PACER prediction equation (ScottEqua).

Methods: This study included 32 (16 boys) children. Despite not having maturational assessments on these children, we limited the subject's age range from 10-11 year old's to decrease the possibility of including additional variability in pubertal status. The participants were classified by body mass index for age and sex percentiles (BMI%) as Healthy-Weight (HW BMI% ≤ 85th percentile) or At-Risk (AR BMI% > 85th percentile). Participants completed the GXTmax and PACER tests while wearing a portable metabolic system to measure VO2peak; and these measures were compared to the estimated VO2peak using the ScottEqua. Group mean differences and correlation analysis were used to compare the testing and predictive procedures.

Results: We found no significant differences between the GXTmax and PACER VO2peak; however, the Scott Equa VO2peak was significantly greater than these measures. HRpeak was significantly greater during the GXTmax; but no significant HRRec were found.

Conclusions: The PACER and GXTmax provide similar VO2peak measures; however, PACER prediction equations should be used with caution in children 10-11 years.

Abstract Image

Abstract Image

儿童心肺功能测试方法的比较。
目前,儿童肥胖患病率呈指数级增长,因此有必要在教育环境中适当测量和评估心肺健康。本研究的目的是:(1)比较使用GXTmax和PACER测试获得的测量的峰值耗氧量(vo2峰值)、心率峰值(HRpeak)和1分钟心率恢复(HRRec)反应;(2)将GXTmax和PACER测试的vo2峰值与PACER预测方程(ScottEqua)进行比较。方法:本研究纳入32例儿童(16例男生)。尽管没有对这些儿童进行成熟评估,但我们将受试者的年龄范围限制在10-11岁之间,以减少包括青春期状态额外变化的可能性。根据年龄和性别的体重指数百分位数(BMI%)将参与者分为健康体重(HW BMI%≤85百分位数)或危险(AR BMI% bb0 85百分位数)。参与者在完成GXTmax和PACER测试时,佩戴便携式代谢系统来测量vo2峰值;并将这些测量结果与使用ScottEqua估计的vo2峰值进行比较。使用组平均差异和相关分析来比较测试和预测程序。结果:GXTmax与PACER vo2峰无显著性差异;然而,Scott Equa vo2峰值明显大于这些测量值。GXTmax期间HRpeak显著增高;但没有发现明显的HRRec。结论:PACER和GXTmax提供相似的vo2峰值测量;然而,对于10-11岁的儿童,PACER预测方程应谨慎使用。
本文章由计算机程序翻译,如有差异,请以英文原文为准。
求助全文
约1分钟内获得全文 求助全文
来源期刊
International journal of exercise science
International journal of exercise science Health Professions-Occupational Therapy
CiteScore
2.20
自引率
0.00%
发文量
47
审稿时长
26 weeks
×
引用
GB/T 7714-2015
复制
MLA
复制
APA
复制
导出至
BibTeX EndNote RefMan NoteFirst NoteExpress
×
提示
您的信息不完整,为了账户安全,请先补充。
现在去补充
×
提示
您因"违规操作"
具体请查看互助需知
我知道了
×
提示
确定
请完成安全验证×
copy
已复制链接
快去分享给好友吧!
我知道了
右上角分享
点击右上角分享
0
联系我们:info@booksci.cn Book学术提供免费学术资源搜索服务,方便国内外学者检索中英文文献。致力于提供最便捷和优质的服务体验。 Copyright © 2023 布克学术 All rights reserved.
京ICP备2023020795号-1
ghs 京公网安备 11010802042870号
Book学术文献互助
Book学术文献互助群
群 号:604180095
Book学术官方微信