Optimizing the Future: A Game Theory to Tumor Therapeutic Strategies.

IF 4.3 3区 生物学 Q1 BIOCHEMICAL RESEARCH METHODS
Fang-Yuan Liu, Xin Liu, Dan-Ni Ding, Shao-Xuan Liu, Jing Xu, Yu-Xin Zhao, Yan-Hong Wang, Feng-Juan Han
{"title":"Optimizing the Future: A Game Theory to Tumor Therapeutic Strategies.","authors":"Fang-Yuan Liu, Xin Liu, Dan-Ni Ding, Shao-Xuan Liu, Jing Xu, Yu-Xin Zhao, Yan-Hong Wang, Feng-Juan Han","doi":"10.1186/s12575-025-00264-7","DOIUrl":null,"url":null,"abstract":"<p><strong>Background: </strong>Cancer poses significant economic and societal burdens on countries in the coming decades. During chemotherapy, patients frequently encounter adverse reactions. Recent research has revealed that Chinese medicine plays a crucial role in mitigating the side effects of chemotherapy. Therefore, in this article, we propose that the cancer treatment process can be likened to an unequal game. To refine treatment strategies, we suggest employing the Steinberg model to incorporate Chinese medicine into the chemotherapy regimen for tumor treatment.</p><p><strong>Results: </strong>We found that when malignant tumors exhibit vigorous proliferation, doctors should administer Chinese medicine in conjunction with chemotherapy drugs, continuously optimizing the therapeutic effect of the Chinese medicine. Upon reaching a specific threshold in the treatment effect of the Chinese medicine, doctors may appropriately augment the dosage of chemotherapy drugs, building upon the initial regimen. Conversely, in cases where the proliferation ability of malignant tumors is weak, the dosage of chemotherapy and the adjuvant therapy with Chinese medicine should be kept in a relatively balanced state. Once the effect of the Chinese medicine attains a particular threshold, the dosage of chemotherapy can be concurrently increased to achieve a superior therapeutic result.</p><p><strong>Conclusions: </strong>From a game theory perspective, doctors can devise strategies to minimize drug toxicity and improve tumor treatment outcomes by coordinating the use of chemotherapy drugs with appropriate adjustments to Chinese medicine therapy methods.</p>","PeriodicalId":8960,"journal":{"name":"Biological Procedures Online","volume":"27 1","pages":"6"},"PeriodicalIF":4.3000,"publicationDate":"2025-02-06","publicationTypes":"Journal Article","fieldsOfStudy":null,"isOpenAccess":false,"openAccessPdf":"https://www.ncbi.nlm.nih.gov/pmc/articles/PMC11800618/pdf/","citationCount":"0","resultStr":null,"platform":"Semanticscholar","paperid":null,"PeriodicalName":"Biological Procedures Online","FirstCategoryId":"99","ListUrlMain":"https://doi.org/10.1186/s12575-025-00264-7","RegionNum":3,"RegionCategory":"生物学","ArticlePicture":[],"TitleCN":null,"AbstractTextCN":null,"PMCID":null,"EPubDate":"","PubModel":"","JCR":"Q1","JCRName":"BIOCHEMICAL RESEARCH METHODS","Score":null,"Total":0}
引用次数: 0

Abstract

Background: Cancer poses significant economic and societal burdens on countries in the coming decades. During chemotherapy, patients frequently encounter adverse reactions. Recent research has revealed that Chinese medicine plays a crucial role in mitigating the side effects of chemotherapy. Therefore, in this article, we propose that the cancer treatment process can be likened to an unequal game. To refine treatment strategies, we suggest employing the Steinberg model to incorporate Chinese medicine into the chemotherapy regimen for tumor treatment.

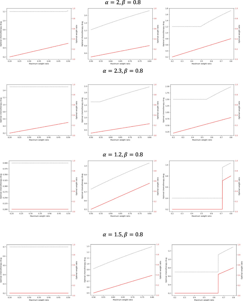
Results: We found that when malignant tumors exhibit vigorous proliferation, doctors should administer Chinese medicine in conjunction with chemotherapy drugs, continuously optimizing the therapeutic effect of the Chinese medicine. Upon reaching a specific threshold in the treatment effect of the Chinese medicine, doctors may appropriately augment the dosage of chemotherapy drugs, building upon the initial regimen. Conversely, in cases where the proliferation ability of malignant tumors is weak, the dosage of chemotherapy and the adjuvant therapy with Chinese medicine should be kept in a relatively balanced state. Once the effect of the Chinese medicine attains a particular threshold, the dosage of chemotherapy can be concurrently increased to achieve a superior therapeutic result.

Conclusions: From a game theory perspective, doctors can devise strategies to minimize drug toxicity and improve tumor treatment outcomes by coordinating the use of chemotherapy drugs with appropriate adjustments to Chinese medicine therapy methods.

Abstract Image

优化未来:肿瘤治疗策略的博弈论。
背景:未来几十年,癌症将给各国带来巨大的经济和社会负担。在化疗过程中,患者经常会遇到不良反应。最近的研究表明,中药在减轻化疗的副作用方面起着至关重要的作用。因此,在本文中,我们建议将癌症治疗过程比作一个不平等的游戏。为了完善治疗策略,我们建议采用Steinberg模型将中药纳入肿瘤化疗方案。结果:在恶性肿瘤增殖剧烈时,应将中药与化疗药物联合使用,不断优化中药的治疗效果。在中药治疗效果达到一定阈值后,医生可以在初始方案的基础上适当增加化疗药物的剂量。反之,在恶性肿瘤增殖能力较弱的情况下,化疗剂量与中药辅助治疗应保持相对平衡的状态。一旦中药的作用达到一定的阈值,可以同时增加化疗的剂量,以达到更好的治疗效果。结论:从博弈论的角度来看,医生可以通过协调化疗药物的使用并适当调整中医治疗方法来制定策略,以减少药物毒性,提高肿瘤治疗效果。
本文章由计算机程序翻译,如有差异,请以英文原文为准。
求助全文
约1分钟内获得全文 求助全文
来源期刊
Biological Procedures Online
Biological Procedures Online 生物-生化研究方法
CiteScore
10.50
自引率
0.00%
发文量
16
审稿时长
>12 weeks
期刊介绍: iological Procedures Online publishes articles that improve access to techniques and methods in the medical and biological sciences. We are also interested in short but important research discoveries, such as new animal disease models. Topics of interest include, but are not limited to: Reports of new research techniques and applications of existing techniques Technical analyses of research techniques and published reports Validity analyses of research methods and approaches to judging the validity of research reports Application of common research methods Reviews of existing techniques Novel/important product information Biological Procedures Online places emphasis on multidisciplinary approaches that integrate methodologies from medicine, biology, chemistry, imaging, engineering, bioinformatics, computer science, and systems analysis.
×
引用
GB/T 7714-2015
复制
MLA
复制
APA
复制
导出至
BibTeX EndNote RefMan NoteFirst NoteExpress
×
提示
您的信息不完整,为了账户安全,请先补充。
现在去补充
×
提示
您因"违规操作"
具体请查看互助需知
我知道了
×
提示
确定
请完成安全验证×
copy
已复制链接
快去分享给好友吧!
我知道了
右上角分享
点击右上角分享
0
联系我们:info@booksci.cn Book学术提供免费学术资源搜索服务,方便国内外学者检索中英文文献。致力于提供最便捷和优质的服务体验。 Copyright © 2023 布克学术 All rights reserved.
京ICP备2023020795号-1
ghs 京公网安备 11010802042870号
Book学术文献互助
Book学术文献互助群
群 号:604180095
Book学术官方微信