Enhancing deep learning methods for brain metastasis detection through cross-technique annotations on SPACE MRI.

IF 3.6 Q1 RADIOLOGY, NUCLEAR MEDICINE & MEDICAL IMAGING
Tassilo Wald, Benjamin Hamm, Julius C Holzschuh, Rami El Shafie, Andreas Kudak, Balint Kovacs, Irada Pflüger, Bastian von Nettelbladt, Constantin Ulrich, Michael Anton Baumgartner, Philipp Vollmuth, Jürgen Debus, Klaus H Maier-Hein, Thomas Welzel
{"title":"Enhancing deep learning methods for brain metastasis detection through cross-technique annotations on SPACE MRI.","authors":"Tassilo Wald, Benjamin Hamm, Julius C Holzschuh, Rami El Shafie, Andreas Kudak, Balint Kovacs, Irada Pflüger, Bastian von Nettelbladt, Constantin Ulrich, Michael Anton Baumgartner, Philipp Vollmuth, Jürgen Debus, Klaus H Maier-Hein, Thomas Welzel","doi":"10.1186/s41747-025-00554-5","DOIUrl":null,"url":null,"abstract":"<p><strong>Background: </strong>Gadolinium-enhanced \"sampling perfection with application-optimized contrasts using different flip angle evolution\" (SPACE) sequence allows better visualization of brain metastases (BMs) compared to \"magnetization-prepared rapid acquisition gradient echo\" (MPRAGE). We hypothesize that this better conspicuity leads to high-quality annotation (HAQ), enhancing deep learning (DL) algorithm detection of BMs on MPRAGE images.</p><p><strong>Methods: </strong>Retrospective contrast-enhanced (gadobutrol 0.1 mmol/kg) SPACE and MPRAGE data of 157 patients with BM were used, either annotated on MPRAGE resulting in normal annotation quality (NAQ) or on coregistered SPACE resulting in HAQ. Multiple DL methods were developed with NAQ or HAQ using either SPACE or MRPAGE images and evaluated on their detection performance using positive predictive value (PPV), sensitivity, and F1 score and on their delineation performance using volumetric Dice similarity coefficient, PPV, and sensitivity on one internal and four additional test datasets (660 patients).</p><p><strong>Results: </strong>The SPACE-HAQ model reached 0.978 PPV, 0.882 sensitivity, and 0.916 F1-score. The MPRAGE-HAQ reached 0.867, 0.839, and 0.840, the MPRAGE NAQ 0.964, 0.667, and 0.798, respectively (p ≥ 0.157). Relative to MPRAGE-NAQ, the MPRAGE-HAQ F1-score detection increased on all additional test datasets by 2.5-9.6 points (p < 0.016) and sensitivity improved on three datasets by 4.6-8.5 points (p < 0.001). Moreover, volumetric instance sensitivity improved by 3.6-7.6 points (p < 0.001).</p><p><strong>Conclusion: </strong>HAQ improves DL methods without specialized imaging during application time. HAQ alone achieves about 40% of the performance improvements seen with SPACE images as input, allowing for fast and accurate, fully automated detection of small (< 1 cm) BMs.</p><p><strong>Relevance statement: </strong>Training with higher-quality annotations, created using the SPACE sequence, improves the detection and delineation sensitivity of DL methods for the detection of brain metastases (BMs)on MPRAGE images. This MRI cross-technique transfer learning is a promising way to increase diagnostic performance.</p><p><strong>Key points: </strong>Delineating small BMs on SPACE MRI sequence results in higher quality annotations than on MPRAGE sequence due to enhanced conspicuity. Leveraging cross-technique ground truth annotations during training improved the accuracy of DL models in detecting and segmenting BMs. Cross-technique annotation may enhance DL models by integrating benefits from specialized, time-intensive MRI sequences while not relying on them. Further validation in prospective studies is needed.</p>","PeriodicalId":36926,"journal":{"name":"European Radiology Experimental","volume":"9 1","pages":"15"},"PeriodicalIF":3.6000,"publicationDate":"2025-02-06","publicationTypes":"Journal Article","fieldsOfStudy":null,"isOpenAccess":false,"openAccessPdf":"https://www.ncbi.nlm.nih.gov/pmc/articles/PMC11802942/pdf/","citationCount":"0","resultStr":null,"platform":"Semanticscholar","paperid":null,"PeriodicalName":"European Radiology Experimental","FirstCategoryId":"1085","ListUrlMain":"https://doi.org/10.1186/s41747-025-00554-5","RegionNum":0,"RegionCategory":null,"ArticlePicture":[],"TitleCN":null,"AbstractTextCN":null,"PMCID":null,"EPubDate":"","PubModel":"","JCR":"Q1","JCRName":"RADIOLOGY, NUCLEAR MEDICINE & MEDICAL IMAGING","Score":null,"Total":0}
引用次数: 0

Abstract

Background: Gadolinium-enhanced "sampling perfection with application-optimized contrasts using different flip angle evolution" (SPACE) sequence allows better visualization of brain metastases (BMs) compared to "magnetization-prepared rapid acquisition gradient echo" (MPRAGE). We hypothesize that this better conspicuity leads to high-quality annotation (HAQ), enhancing deep learning (DL) algorithm detection of BMs on MPRAGE images.

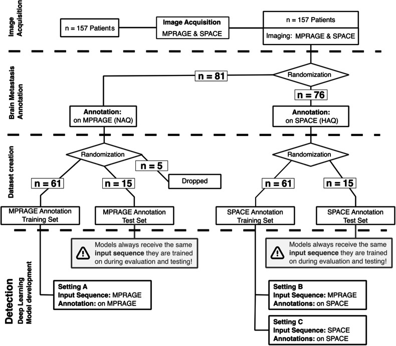
Methods: Retrospective contrast-enhanced (gadobutrol 0.1 mmol/kg) SPACE and MPRAGE data of 157 patients with BM were used, either annotated on MPRAGE resulting in normal annotation quality (NAQ) or on coregistered SPACE resulting in HAQ. Multiple DL methods were developed with NAQ or HAQ using either SPACE or MRPAGE images and evaluated on their detection performance using positive predictive value (PPV), sensitivity, and F1 score and on their delineation performance using volumetric Dice similarity coefficient, PPV, and sensitivity on one internal and four additional test datasets (660 patients).

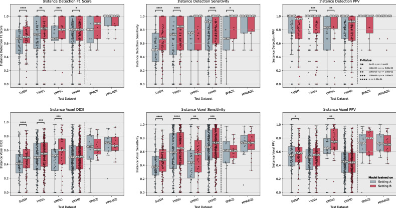
Results: The SPACE-HAQ model reached 0.978 PPV, 0.882 sensitivity, and 0.916 F1-score. The MPRAGE-HAQ reached 0.867, 0.839, and 0.840, the MPRAGE NAQ 0.964, 0.667, and 0.798, respectively (p ≥ 0.157). Relative to MPRAGE-NAQ, the MPRAGE-HAQ F1-score detection increased on all additional test datasets by 2.5-9.6 points (p < 0.016) and sensitivity improved on three datasets by 4.6-8.5 points (p < 0.001). Moreover, volumetric instance sensitivity improved by 3.6-7.6 points (p < 0.001).

Conclusion: HAQ improves DL methods without specialized imaging during application time. HAQ alone achieves about 40% of the performance improvements seen with SPACE images as input, allowing for fast and accurate, fully automated detection of small (< 1 cm) BMs.

Relevance statement: Training with higher-quality annotations, created using the SPACE sequence, improves the detection and delineation sensitivity of DL methods for the detection of brain metastases (BMs)on MPRAGE images. This MRI cross-technique transfer learning is a promising way to increase diagnostic performance.

Key points: Delineating small BMs on SPACE MRI sequence results in higher quality annotations than on MPRAGE sequence due to enhanced conspicuity. Leveraging cross-technique ground truth annotations during training improved the accuracy of DL models in detecting and segmenting BMs. Cross-technique annotation may enhance DL models by integrating benefits from specialized, time-intensive MRI sequences while not relying on them. Further validation in prospective studies is needed.

Abstract Image

Abstract Image

Abstract Image

通过SPACE MRI的交叉技术注释增强脑转移检测的深度学习方法。
背景:与“磁化制备快速采集梯度回波”(MPRAGE)相比,钆增强的“使用不同翻转角度进化的应用优化对比的采样完美”(SPACE)序列可以更好地显示脑转移(BMs)。我们假设这种更好的显著性导致高质量的注释(HAQ),增强了深度学习(DL)算法对MPRAGE图像上脑转移的检测。方法:采用回顾性对比增强(gadobutrol 0.1 mmol/kg) SPACE和MPRAGE数据,对157例BM患者进行MPRAGE注释,结果为正常注释质量(NAQ),或共同注册SPACE,结果为HAQ。使用SPACE或MRPAGE图像开发了多种深度学习方法,并使用阳性预测值(PPV)、灵敏度和F1评分评估了它们的检测性能,并使用体积骰子相似系数、PPV和灵敏度评估了它们在一个内部和四个附加测试数据集(660例患者)上的描绘性能。结果:SPACE-HAQ模型的PPV为0.978,灵敏度为0.882,f1评分为0.916。MPRAGE- haq分别为0.867、0.839、0.840,MPRAGE NAQ分别为0.964、0.667、0.798 (p≥0.157)。与MPRAGE-NAQ相比,MPRAGE-HAQ在所有附加测试数据集上的f1分数检测提高了2.5-9.6分(p)。结论:在应用期间,HAQ改善了无需专门成像的DL方法。仅HAQ就实现了以SPACE图像作为输入的40%的性能改进,允许快速、准确、全自动地检测小(相关性声明:使用SPACE序列创建的更高质量注释的训练,提高了用于检测MPRAGE图像上脑转移(BMs)的DL方法的检测和描绘灵敏度。这种MRI跨技术迁移学习是一种很有前途的提高诊断性能的方法。重点:由于SPACE MRI序列的显著性增强,与MPRAGE序列相比,在SPACE MRI序列上描绘小脑转移可以获得更高质量的注释。在训练过程中利用跨技术的基础真值注释提高了深度学习模型在检测和分割脑残基方面的准确性。交叉技术注释可以通过整合专业的、耗时的MRI序列的优势而不依赖它们来增强深度学习模型。需要在前瞻性研究中进一步验证。
本文章由计算机程序翻译,如有差异,请以英文原文为准。
求助全文
约1分钟内获得全文 求助全文
来源期刊
European Radiology Experimental
European Radiology Experimental Medicine-Radiology, Nuclear Medicine and Imaging
CiteScore
6.70
自引率
2.60%
发文量
56
审稿时长
18 weeks
×
引用
GB/T 7714-2015
复制
MLA
复制
APA
复制
导出至
BibTeX EndNote RefMan NoteFirst NoteExpress
×
提示
您的信息不完整,为了账户安全,请先补充。
现在去补充
×
提示
您因"违规操作"
具体请查看互助需知
我知道了
×
提示
确定
请完成安全验证×
copy
已复制链接
快去分享给好友吧!
我知道了
右上角分享
点击右上角分享
0
联系我们:info@booksci.cn Book学术提供免费学术资源搜索服务,方便国内外学者检索中英文文献。致力于提供最便捷和优质的服务体验。 Copyright © 2023 布克学术 All rights reserved.
京ICP备2023020795号-1
ghs 京公网安备 11010802042870号
Book学术文献互助
Book学术文献互助群
群 号:604180095
Book学术官方微信