Effect of modulated masking on electrophysiological and behavioral measures.

IF 0.8 Q4 AUDIOLOGY & SPEECH-LANGUAGE PATHOLOGY
CoDAS Pub Date : 2025-02-03 eCollection Date: 2025-01-01 DOI:10.1590/2317-1782/e20230339pt
Mônyka Ferreira Borges Rocha, Karina Paes Advíncula, Danielle Samara Bandeira Duarte, Pedro de Lemos Menezes
{"title":"Effect of modulated masking on electrophysiological and behavioral measures.","authors":"Mônyka Ferreira Borges Rocha, Karina Paes Advíncula, Danielle Samara Bandeira Duarte, Pedro de Lemos Menezes","doi":"10.1590/2317-1782/e20230339pt","DOIUrl":null,"url":null,"abstract":"<p><strong>Purpose: </strong>To analyze the Benefit of Modulated Masking (BMM) in electrophysiological and behavioral measurements in young and adult normal-hearing individuals.</p><p><strong>Methods: </strong>Observational and cross-sectional analytical study, with a final research sample consisted of 40 participants, 20 individuals aged 18 to 30 years (young adults) and 20 individuals aged 31 to 50 years (adults), to carry out behavioral assessment (Sentence recognition test in the presence of stable and modulated noise) and electrophysiological (Cortical Auditory Evoked Potential) for BMM investigation. The results were analyzed using the paired t-test and ANOVA for repeated measures, applied by the Bonferroni post-hoc test (p-value <0.05).</p><p><strong>Results: </strong>Less interference from modulated noise was identified in the latency and amplitude measurements of cortical components, generating a significant reduction in P1 latency and an increase in P2 amplitude in both groups of participants. Stable noise generated higher electrophysiological and behavioral thresholds compared to modulated noise. A greater magnitude of BMM was observed in the young-adult group.</p><p><strong>Conclusion: </strong>In both groups of participants, less interference from modulated noise was identified in the encoding time of the neural auditory response and in the process of neural discrimination of speech. Furthermore, behavioral and electrophysiological thresholds were typically higher in stable noise when compared to modulated noise, pointing to a correspondence between BMM measurements between hearing domains. The magnitude of the higher BMM in the young-adult group, especially in the electrophysiological domain, suggests a greater temporal resolution ability in younger individuals.</p>","PeriodicalId":46547,"journal":{"name":"CoDAS","volume":"37 1","pages":"e20230339"},"PeriodicalIF":0.8000,"publicationDate":"2025-02-03","publicationTypes":"Journal Article","fieldsOfStudy":null,"isOpenAccess":false,"openAccessPdf":"https://www.ncbi.nlm.nih.gov/pmc/articles/PMC11801197/pdf/","citationCount":"0","resultStr":null,"platform":"Semanticscholar","paperid":null,"PeriodicalName":"CoDAS","FirstCategoryId":"1085","ListUrlMain":"https://doi.org/10.1590/2317-1782/e20230339pt","RegionNum":0,"RegionCategory":null,"ArticlePicture":[],"TitleCN":null,"AbstractTextCN":null,"PMCID":null,"EPubDate":"2025/1/1 0:00:00","PubModel":"eCollection","JCR":"Q4","JCRName":"AUDIOLOGY & SPEECH-LANGUAGE PATHOLOGY","Score":null,"Total":0}
引用次数: 0

Abstract

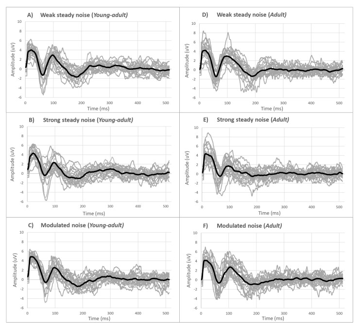
Purpose: To analyze the Benefit of Modulated Masking (BMM) in electrophysiological and behavioral measurements in young and adult normal-hearing individuals.

Methods: Observational and cross-sectional analytical study, with a final research sample consisted of 40 participants, 20 individuals aged 18 to 30 years (young adults) and 20 individuals aged 31 to 50 years (adults), to carry out behavioral assessment (Sentence recognition test in the presence of stable and modulated noise) and electrophysiological (Cortical Auditory Evoked Potential) for BMM investigation. The results were analyzed using the paired t-test and ANOVA for repeated measures, applied by the Bonferroni post-hoc test (p-value <0.05).

Results: Less interference from modulated noise was identified in the latency and amplitude measurements of cortical components, generating a significant reduction in P1 latency and an increase in P2 amplitude in both groups of participants. Stable noise generated higher electrophysiological and behavioral thresholds compared to modulated noise. A greater magnitude of BMM was observed in the young-adult group.

Conclusion: In both groups of participants, less interference from modulated noise was identified in the encoding time of the neural auditory response and in the process of neural discrimination of speech. Furthermore, behavioral and electrophysiological thresholds were typically higher in stable noise when compared to modulated noise, pointing to a correspondence between BMM measurements between hearing domains. The magnitude of the higher BMM in the young-adult group, especially in the electrophysiological domain, suggests a greater temporal resolution ability in younger individuals.

Abstract Image

Abstract Image

Abstract Image

调制掩蔽对电生理和行为测量的影响。
目的:分析调制掩蔽(BMM)在青年和成年听力正常人群的电生理和行为测量中的益处。方法:采用观察和横断面分析相结合的研究方法,最终选取40名被试,其中20名年龄在18 ~ 30岁之间(青壮年),20名年龄在31 ~ 50岁之间(成年),进行稳定和调制噪声下的句子识别测试和脑mm电生理测试(皮质听觉诱发电位)。结果使用配对t检验和方差分析对重复测量进行分析,并应用Bonferroni事后检验(p值结果):在皮层成分的潜伏期和振幅测量中,调制噪声的干扰较少,导致两组参与者的P1潜伏期显著减少,P2振幅显著增加。与调制噪声相比,稳定噪声产生更高的电生理和行为阈值。在青壮年组中观察到更大程度的BMM。结论:两组被试在神经听觉反应的编码时间和语音识别过程中,受调制噪声的干扰较小。此外,与调制噪声相比,稳定噪声中的行为和电生理阈值通常更高,这表明不同听觉域之间的BMM测量值之间存在对应关系。青壮年组中较高的BMM的幅度,特别是在电生理领域,表明年轻人具有更强的时间分辨能力。
本文章由计算机程序翻译,如有差异,请以英文原文为准。
求助全文
约1分钟内获得全文 求助全文
来源期刊
CoDAS
CoDAS AUDIOLOGY & SPEECH-LANGUAGE PATHOLOGY-
CiteScore
0.90
自引率
12.50%
发文量
103
审稿时长
30 weeks
×
引用
GB/T 7714-2015
复制
MLA
复制
APA
复制
导出至
BibTeX EndNote RefMan NoteFirst NoteExpress
×
提示
您的信息不完整,为了账户安全,请先补充。
现在去补充
×
提示
您因"违规操作"
具体请查看互助需知
我知道了
×
提示
确定
请完成安全验证×
copy
已复制链接
快去分享给好友吧!
我知道了
右上角分享
点击右上角分享
0
联系我们:info@booksci.cn Book学术提供免费学术资源搜索服务,方便国内外学者检索中英文文献。致力于提供最便捷和优质的服务体验。 Copyright © 2023 布克学术 All rights reserved.
京ICP备2023020795号-1
ghs 京公网安备 11010802042870号
Book学术文献互助
Book学术文献互助群
群 号:604180095
Book学术官方微信