Behavioral response of house flies (Diptera: Muscidae) to 3 bittering agents.

IF 2 3区 农林科学 Q1 ENTOMOLOGY
Panchalie B Gunathunga, Bethia H King, Christopher J Geden
{"title":"Behavioral response of house flies (Diptera: Muscidae) to 3 bittering agents.","authors":"Panchalie B Gunathunga, Bethia H King, Christopher J Geden","doi":"10.1093/jisesa/ieae117","DOIUrl":null,"url":null,"abstract":"<p><p>House flies, Musca domestica L., are pests at livestock facilities. House fly numbers are controlled mainly by manure management and chemical controls, like use of toxic baits. Some toxic baits contain denatonium benzoate as a bittering agent, to avoid poisoning of children. House fly behavioral response to denatonium benzoate was examined, using 2 different diluents, sucrose solution or orange juice. Response of flies to quinine and sucrose octaacetate, 2 other bittering agents, was also examined in sucrose. Sucrose is the sweetener in commercially available toxic house fly baits. The proboscis extension response of both male and female flies was significantly reduced by addition of 1,000 ppm of denatonium benzoate to sucrose. Response in males was also reduced at 100 ppm. Consumption of sucrose by both male and female flies was reduced by addition of 100, 500, and 1,000 ppm of denatonium benzoate, but consumption by males was also reduced at 10 ppm. Addition of sucrose octaacetate had no detectable effect on consumption of sucrose at 100, 500, or 1,000 ppm. In contrast, addition of quinine reduced consumption by both male and female flies in all tested concentrations. In orange juice, 10 ppm of denatonium benzoate is often avoided by children. With orange juice, fly proboscis extension response patterns were the same for both sexes, with a reduction at 1,000 ppm of denatonium benzoate. Orange juice consumption by flies was reduced significantly at 1,000 ppm of denatonium benzoate for females but not at any of the concentrations tested for males.</p>","PeriodicalId":16156,"journal":{"name":"Journal of Insect Science","volume":"25 1","pages":""},"PeriodicalIF":2.0000,"publicationDate":"2025-01-20","publicationTypes":"Journal Article","fieldsOfStudy":null,"isOpenAccess":false,"openAccessPdf":"https://www.ncbi.nlm.nih.gov/pmc/articles/PMC11792078/pdf/","citationCount":"0","resultStr":null,"platform":"Semanticscholar","paperid":null,"PeriodicalName":"Journal of Insect Science","FirstCategoryId":"97","ListUrlMain":"https://doi.org/10.1093/jisesa/ieae117","RegionNum":3,"RegionCategory":"农林科学","ArticlePicture":[],"TitleCN":null,"AbstractTextCN":null,"PMCID":null,"EPubDate":"","PubModel":"","JCR":"Q1","JCRName":"ENTOMOLOGY","Score":null,"Total":0}
引用次数: 0

Abstract

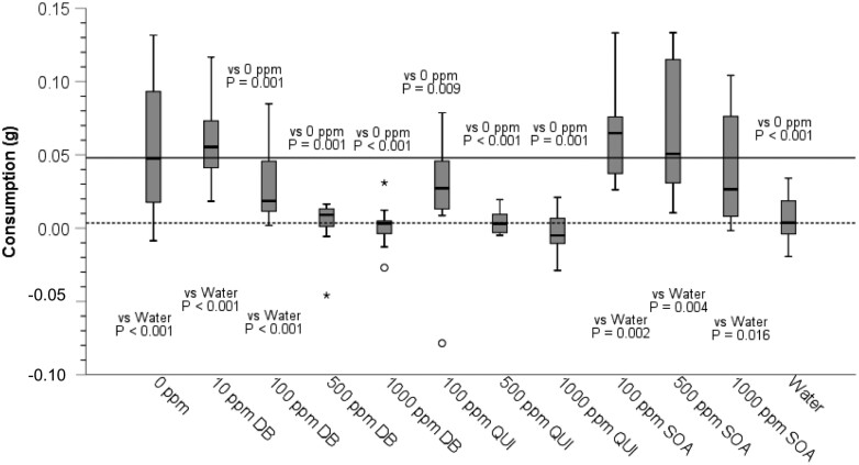
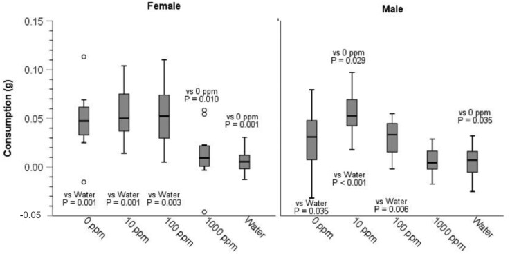
House flies, Musca domestica L., are pests at livestock facilities. House fly numbers are controlled mainly by manure management and chemical controls, like use of toxic baits. Some toxic baits contain denatonium benzoate as a bittering agent, to avoid poisoning of children. House fly behavioral response to denatonium benzoate was examined, using 2 different diluents, sucrose solution or orange juice. Response of flies to quinine and sucrose octaacetate, 2 other bittering agents, was also examined in sucrose. Sucrose is the sweetener in commercially available toxic house fly baits. The proboscis extension response of both male and female flies was significantly reduced by addition of 1,000 ppm of denatonium benzoate to sucrose. Response in males was also reduced at 100 ppm. Consumption of sucrose by both male and female flies was reduced by addition of 100, 500, and 1,000 ppm of denatonium benzoate, but consumption by males was also reduced at 10 ppm. Addition of sucrose octaacetate had no detectable effect on consumption of sucrose at 100, 500, or 1,000 ppm. In contrast, addition of quinine reduced consumption by both male and female flies in all tested concentrations. In orange juice, 10 ppm of denatonium benzoate is often avoided by children. With orange juice, fly proboscis extension response patterns were the same for both sexes, with a reduction at 1,000 ppm of denatonium benzoate. Orange juice consumption by flies was reduced significantly at 1,000 ppm of denatonium benzoate for females but not at any of the concentrations tested for males.

Abstract Image

Abstract Image

Abstract Image

家蝇(双翅目:蝇科)对3种苦味剂的行为反应。
家蝇(Musca domestica L.)是家畜设施的害虫。家蝇数量的控制主要是通过粪便管理和化学控制,如使用有毒诱饵。有些有毒鱼饵含有苯甲酸地那铵作为苦味剂,以避免儿童中毒。采用蔗糖溶液和橙汁两种不同稀释剂,研究家蝇对苯甲酸地那铵的行为反应。研究了果蝇对奎宁和蔗糖八乙酸蔗糖两种苦味剂的反应。蔗糖是市售有毒家蝇饵中的甜味剂。在蔗糖中加入1000ppm苯甲酸地那铵可显著降低雄、雌蝇的伸喙反应。在100ppm时,男性的反应也有所减少。添加100、500和1,000 ppm的苯甲酸地那铵减少了雄性和雌性果蝇对蔗糖的消耗量,但添加10 ppm时雄性果蝇的消耗量也减少了。添加八乙酸蔗糖在100、500或1,000 ppm时对蔗糖的消耗量没有可检测到的影响。相比之下,在所有测试浓度下,添加奎宁都减少了雄性和雌性苍蝇的摄入量。在橙汁中,苯甲酸地那铵的浓度为10ppm,儿童通常避免使用。在橙汁中,苍蝇的喙伸展反应模式对两性都是一样的,在1000ppm的苯甲酸地那铵中有所减少。在苯甲酸地那铵浓度为1000ppm的情况下,雌性果蝇对橙汁的消耗量显著减少,而雄性果蝇对任何浓度的橙汁的消耗量都没有减少。
本文章由计算机程序翻译,如有差异,请以英文原文为准。
求助全文
约1分钟内获得全文 求助全文
来源期刊
Journal of Insect Science
Journal of Insect Science 生物-昆虫学
CiteScore
3.70
自引率
0.00%
发文量
80
审稿时长
7.5 months
期刊介绍: The Journal of Insect Science was founded with support from the University of Arizona library in 2001 by Dr. Henry Hagedorn, who served as editor-in-chief until his death in January 2014. The Entomological Society of America was very pleased to add the Journal of Insect Science to its publishing portfolio in 2014. The fully open access journal publishes papers in all aspects of the biology of insects and other arthropods from the molecular to the ecological, and their agricultural and medical impact.
×
引用
GB/T 7714-2015
复制
MLA
复制
APA
复制
导出至
BibTeX EndNote RefMan NoteFirst NoteExpress
×
提示
您的信息不完整,为了账户安全,请先补充。
现在去补充
×
提示
您因"违规操作"
具体请查看互助需知
我知道了
×
提示
确定
请完成安全验证×
copy
已复制链接
快去分享给好友吧!
我知道了
右上角分享
点击右上角分享
0
联系我们:info@booksci.cn Book学术提供免费学术资源搜索服务,方便国内外学者检索中英文文献。致力于提供最便捷和优质的服务体验。 Copyright © 2023 布克学术 All rights reserved.
京ICP备2023020795号-1
ghs 京公网安备 11010802042870号
Book学术文献互助
Book学术文献互助群
群 号:604180095
Book学术官方微信