Evaluation of causal relationships between genetic liability to inflammatory bowel disease and autism spectrum disorder by Mendelian randomization analysis.

IF 8.9 2区 医学 Q1 Medicine
Dialogues in Clinical Neuroscience Pub Date : 2025-12-01 Epub Date: 2025-02-03 DOI:10.1080/19585969.2025.2460798
Ruijie Zeng, Rui Jiang, Wentao Huang, Huihuan Wu, Zewei Zhuo, Qi Yang, Jingwei Li, Felix W Leung, Weihong Sha, Hao Chen
{"title":"Evaluation of causal relationships between genetic liability to inflammatory bowel disease and autism spectrum disorder by Mendelian randomization analysis.","authors":"Ruijie Zeng, Rui Jiang, Wentao Huang, Huihuan Wu, Zewei Zhuo, Qi Yang, Jingwei Li, Felix W Leung, Weihong Sha, Hao Chen","doi":"10.1080/19585969.2025.2460798","DOIUrl":null,"url":null,"abstract":"<p><strong>Background: </strong>Emerging observational studies have indicated the association between autism spectrum disorder (ASD) and IBD, including Crohn's disease (CD) and ulcerative colitis (UC), whereas the causality remains unknown.</p><p><strong>Methods: </strong>Summary-level data from large-scale genome-wide association (GWAS) studies of IBD and ASD were retrieved. Mendelian randomisation analyses were performed with a series of sensitivity tests.</p><p><strong>Results: </strong>Genetic predisposition to ASD was not associated with the risk of IBD (odds ratio [OR] = 0.99, 95% confidence interval [CI = 0.91-1.06, <i>p</i> = 0.70; OR [95% CI]: 1.03 [0.93-1.13], <i>p</i> = 0.58 for CD; OR [95% CI]: 0.96 [0.87-1.05], <i>p</i> = 0.37 for UC) in the IIBDGC dataset. In the FinnGen dataset, their causal effects were unfounded (OR [95% CI]: 1.04 [0.94-1.15], <i>p</i> = 0.49 for IBD; OR [95% CI]: 1.08 [0.89-1.31], <i>p</i> = 0.42 for CD; OR [95% CI]: 1.00 [0.88-1.13], <i>p</i> = 0.95 for UC). In the meta-analysis of two datasets, the OR was 1.01 (95% CI 0.96-1.07, <i>p</i> = 0.45). For the risk of ASD under genetic liability to IBD, the OR from meta-analysis was 1.03 (95% CI 1.01-1.05, <i>p</i> = 0.01).</p><p><strong>Conclusion: </strong>Our findings indicate genetic predisposition to ASD might not increase the risk of IBD, whereas genetic liability to IBD is associated with an increased risk of ASD. Further investigations using more powerful datasets are warranted.</p>","PeriodicalId":54343,"journal":{"name":"Dialogues in Clinical Neuroscience","volume":"27 1","pages":"26-34"},"PeriodicalIF":8.9000,"publicationDate":"2025-12-01","publicationTypes":"Journal Article","fieldsOfStudy":null,"isOpenAccess":false,"openAccessPdf":"https://www.ncbi.nlm.nih.gov/pmc/articles/PMC11795766/pdf/","citationCount":"0","resultStr":null,"platform":"Semanticscholar","paperid":null,"PeriodicalName":"Dialogues in Clinical Neuroscience","FirstCategoryId":"3","ListUrlMain":"https://doi.org/10.1080/19585969.2025.2460798","RegionNum":2,"RegionCategory":"医学","ArticlePicture":[],"TitleCN":null,"AbstractTextCN":null,"PMCID":null,"EPubDate":"2025/2/3 0:00:00","PubModel":"Epub","JCR":"Q1","JCRName":"Medicine","Score":null,"Total":0}
引用次数: 0

Abstract

Background: Emerging observational studies have indicated the association between autism spectrum disorder (ASD) and IBD, including Crohn's disease (CD) and ulcerative colitis (UC), whereas the causality remains unknown.

Methods: Summary-level data from large-scale genome-wide association (GWAS) studies of IBD and ASD were retrieved. Mendelian randomisation analyses were performed with a series of sensitivity tests.

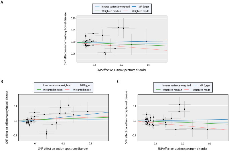
Results: Genetic predisposition to ASD was not associated with the risk of IBD (odds ratio [OR] = 0.99, 95% confidence interval [CI = 0.91-1.06, p = 0.70; OR [95% CI]: 1.03 [0.93-1.13], p = 0.58 for CD; OR [95% CI]: 0.96 [0.87-1.05], p = 0.37 for UC) in the IIBDGC dataset. In the FinnGen dataset, their causal effects were unfounded (OR [95% CI]: 1.04 [0.94-1.15], p = 0.49 for IBD; OR [95% CI]: 1.08 [0.89-1.31], p = 0.42 for CD; OR [95% CI]: 1.00 [0.88-1.13], p = 0.95 for UC). In the meta-analysis of two datasets, the OR was 1.01 (95% CI 0.96-1.07, p = 0.45). For the risk of ASD under genetic liability to IBD, the OR from meta-analysis was 1.03 (95% CI 1.01-1.05, p = 0.01).

Conclusion: Our findings indicate genetic predisposition to ASD might not increase the risk of IBD, whereas genetic liability to IBD is associated with an increased risk of ASD. Further investigations using more powerful datasets are warranted.

Abstract Image

Abstract Image

Abstract Image

通过孟德尔随机化分析评估炎症性肠病和自闭症谱系障碍遗传易感性之间的因果关系。
背景:新的观察性研究表明,自闭症谱系障碍(ASD)与IBD之间存在关联,包括克罗恩病(CD)和溃疡性结肠炎(UC),但因果关系尚不清楚。方法:检索IBD和ASD的大规模全基因组关联(GWAS)研究的汇总数据。孟德尔随机化分析采用一系列敏感性试验。结果:ASD的遗传易感性与IBD的风险无关(优势比[OR] = 0.99, 95%可信区间[CI = 0.91-1.06, p = 0.70;CD的OR [95% CI]: 1.03 [0.93-1.13], p = 0.58;OR [95% CI]: 0.96 [0.87-1.05], UC = 0.37)。在FinnGen数据集中,它们的因果效应是没有根据的(OR [95% CI]: 1.04 [0.94-1.15], IBD的p = 0.49;CD的OR [95% CI]: 1.08 [0.89-1.31], p = 0.42;UC的OR [95% CI]: 1.00 [0.88-1.13], p = 0.95)。在两个数据集的荟萃分析中,OR为1.01 (95% CI 0.96-1.07, p = 0.45)。对于IBD遗传易感性下的ASD风险,meta分析的OR为1.03 (95% CI 1.01-1.05, p = 0.01)。结论:我们的研究结果表明,遗传易感性可能不会增加患IBD的风险,而遗传易感性与患ASD的风险增加有关。有必要使用更强大的数据集进行进一步调查。
本文章由计算机程序翻译,如有差异,请以英文原文为准。
求助全文
约1分钟内获得全文 求助全文
来源期刊
Dialogues in Clinical Neuroscience
Dialogues in Clinical Neuroscience Medicine-Psychiatry and Mental Health
CiteScore
19.30
自引率
1.20%
发文量
1
期刊介绍: Dialogues in Clinical Neuroscience (DCNS) endeavors to bridge the gap between clinical neuropsychiatry and the neurosciences by offering state-of-the-art information and original insights into pertinent clinical, biological, and therapeutic aspects. As an open access journal, DCNS ensures accessibility to its content for all interested parties. Each issue is curated to include expert reviews, original articles, and brief reports, carefully selected to offer a comprehensive understanding of the evolving landscape in clinical neuroscience. Join us in advancing knowledge and fostering dialogue in this dynamic field.
×
引用
GB/T 7714-2015
复制
MLA
复制
APA
复制
导出至
BibTeX EndNote RefMan NoteFirst NoteExpress
×
提示
您的信息不完整,为了账户安全,请先补充。
现在去补充
×
提示
您因"违规操作"
具体请查看互助需知
我知道了
×
提示
确定
请完成安全验证×
copy
已复制链接
快去分享给好友吧!
我知道了
右上角分享
点击右上角分享
0
联系我们:info@booksci.cn Book学术提供免费学术资源搜索服务,方便国内外学者检索中英文文献。致力于提供最便捷和优质的服务体验。 Copyright © 2023 布克学术 All rights reserved.
京ICP备2023020795号-1
ghs 京公网安备 11010802042870号
Book学术文献互助
Book学术文献互助群
群 号:604180095
Book学术官方微信