Efficacy of Dose Escalation of Ustekinumab in Inflammatory Bowel Disease: A Systematic Review and Meta-Analysis.

IF 2.2 3区 医学 Q1 MEDICINE, GENERAL & INTERNAL
Medical Principles and Practice Pub Date : 2025-01-01 Epub Date: 2025-02-03 DOI:10.1159/000543831
Mohammad Ebad Ur Rehman, Ammara Tahir, Amna Hussain, Aizaz Ali, Abu Huraira Bin Gulzar, Abdul Qadeer Khan, Maha Sajjad, Fatima Shahid, Shahroon Zahid, Ummara Aslam, Talha Bin Yasin, Aqsa Bilal, Tehreem Fatima, Muhammad Sheraz Hameed, Tehseen Haider, Sajeel Saeed, Abdulqadir J Nashwan
{"title":"Efficacy of Dose Escalation of Ustekinumab in Inflammatory Bowel Disease: A Systematic Review and Meta-Analysis.","authors":"Mohammad Ebad Ur Rehman, Ammara Tahir, Amna Hussain, Aizaz Ali, Abu Huraira Bin Gulzar, Abdul Qadeer Khan, Maha Sajjad, Fatima Shahid, Shahroon Zahid, Ummara Aslam, Talha Bin Yasin, Aqsa Bilal, Tehreem Fatima, Muhammad Sheraz Hameed, Tehseen Haider, Sajeel Saeed, Abdulqadir J Nashwan","doi":"10.1159/000543831","DOIUrl":null,"url":null,"abstract":"<p><strong>Background: </strong>Ustekinumab is an effective drug in the treatment of inflammatory bowel disease (IBD), but inadequate response or loss of response is reported in several patients. Dose escalation by intravenous reinduction or interval shortening may be a suitable option to recapture response. We undertook a systematic review and meta-analysis to assess the efficacy of dose escalation in IBD patients receiving ustekinumab.</p><p><strong>Methods: </strong>A systematic literature search was conducted on PubMed, Embase, Clinicaltrails.gov, and Cochrane from inception to June 1, 2024. We conducted a proportional meta-analysis on MetaXL. Our primary outcomes were clinical response and clinical remission.</p><p><strong>Results: </strong>Twenty-eight articles were included (n = 2,129 patients). Eighteen studies (692 patients out of 1,218) reported clinical response, with pooled prevalence of 55% (95% CI: 46-65%). Out of 1,041 patients, 524 showed clinical remission with pooled prevalence of 51% (95% CI: 42-59%).</p><p><strong>Conclusion: </strong>This systematic review and meta-analysis showcased promising results, in terms of clinical response and remission, in IBD patients receiving dose escalation of ustekinumab.</p>","PeriodicalId":18455,"journal":{"name":"Medical Principles and Practice","volume":" ","pages":"226-237"},"PeriodicalIF":2.2000,"publicationDate":"2025-01-01","publicationTypes":"Journal Article","fieldsOfStudy":null,"isOpenAccess":false,"openAccessPdf":"https://www.ncbi.nlm.nih.gov/pmc/articles/PMC12133129/pdf/","citationCount":"0","resultStr":null,"platform":"Semanticscholar","paperid":null,"PeriodicalName":"Medical Principles and Practice","FirstCategoryId":"3","ListUrlMain":"https://doi.org/10.1159/000543831","RegionNum":3,"RegionCategory":"医学","ArticlePicture":[],"TitleCN":null,"AbstractTextCN":null,"PMCID":null,"EPubDate":"2025/2/3 0:00:00","PubModel":"Epub","JCR":"Q1","JCRName":"MEDICINE, GENERAL & INTERNAL","Score":null,"Total":0}
引用次数: 0

Abstract

Background: Ustekinumab is an effective drug in the treatment of inflammatory bowel disease (IBD), but inadequate response or loss of response is reported in several patients. Dose escalation by intravenous reinduction or interval shortening may be a suitable option to recapture response. We undertook a systematic review and meta-analysis to assess the efficacy of dose escalation in IBD patients receiving ustekinumab.

Methods: A systematic literature search was conducted on PubMed, Embase, Clinicaltrails.gov, and Cochrane from inception to June 1, 2024. We conducted a proportional meta-analysis on MetaXL. Our primary outcomes were clinical response and clinical remission.

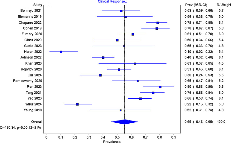
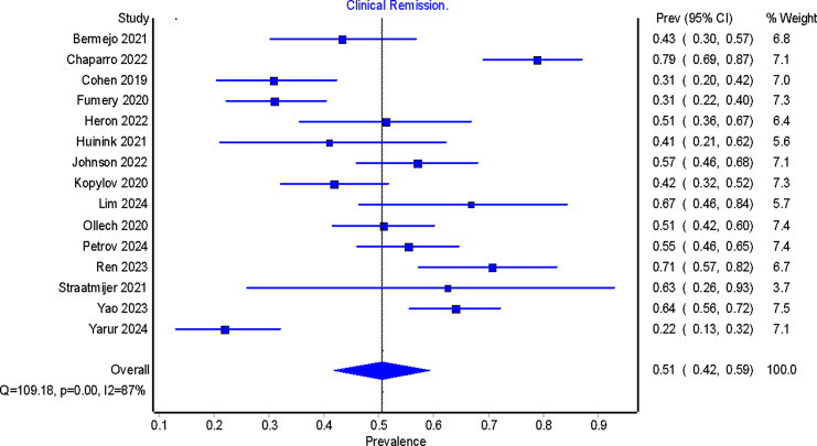
Results: Twenty-eight articles were included (n = 2,129 patients). Eighteen studies (692 patients out of 1,218) reported clinical response, with pooled prevalence of 55% (95% CI: 46-65%). Out of 1,041 patients, 524 showed clinical remission with pooled prevalence of 51% (95% CI: 42-59%).

Conclusion: This systematic review and meta-analysis showcased promising results, in terms of clinical response and remission, in IBD patients receiving dose escalation of ustekinumab.

Abstract Image

Abstract Image

Abstract Image

Ustekinumab剂量递增治疗炎症性肠病的疗效:系统回顾和meta分析
背景:Ustekinumab是一种治疗炎症性肠病(IBD)的有效药物,但据报道在一些患者中反应不足或反应丧失。通过静脉再诱导增加剂量或缩短间隔可能是重新获得反应的合适选择。我们进行了一项系统回顾和荟萃分析,以评估接受ustekinumab的IBD患者剂量递增的疗效。方法:系统检索PubMed、Embase、Clinicaltrails.gov、Cochrane等网站自建站至2024年6月1日的文献。我们对MetaXL进行了比例荟萃分析。我们的主要结果是临床反应和临床缓解。结果:纳入28篇文章(n = 2129例患者)。18项研究(1218名患者中的692名)报告了临床反应,总患病率为55% (95% CI: 46% - 65%)。在1041例患者中,524例出现临床缓解,总患病率为51% (95%CI: 42% - 59%)。结论:本系统综述和荟萃分析显示,在接受ustekinumab剂量递增的IBD患者的临床反应和缓解方面,有希望的结果。
本文章由计算机程序翻译,如有差异,请以英文原文为准。
求助全文
约1分钟内获得全文 求助全文
来源期刊
Medical Principles and Practice
Medical Principles and Practice 医学-医学:内科
CiteScore
6.10
自引率
0.00%
发文量
72
审稿时长
6-12 weeks
期刊介绍: ''Medical Principles and Practice'', as the journal of the Health Sciences Centre, Kuwait University, aims to be a publication of international repute that will be a medium for dissemination and exchange of scientific knowledge in the health sciences.
×
引用
GB/T 7714-2015
复制
MLA
复制
APA
复制
导出至
BibTeX EndNote RefMan NoteFirst NoteExpress
×
提示
您的信息不完整,为了账户安全,请先补充。
现在去补充
×
提示
您因"违规操作"
具体请查看互助需知
我知道了
×
提示
确定
请完成安全验证×
copy
已复制链接
快去分享给好友吧!
我知道了
右上角分享
点击右上角分享
0
联系我们:info@booksci.cn Book学术提供免费学术资源搜索服务,方便国内外学者检索中英文文献。致力于提供最便捷和优质的服务体验。 Copyright © 2023 布克学术 All rights reserved.
京ICP备2023020795号-1
ghs 京公网安备 11010802042870号
Book学术文献互助
Book学术文献互助群
群 号:604180095
Book学术官方微信