Time to Insulin Therapy and Severe Hypoglycemia in Korean Adults Initially Diagnosed with Type 2 Diabetes: A Nationwide Study.

IF 4.2 3区 医学 Q2 ENDOCRINOLOGY & METABOLISM
Endocrinology and Metabolism Pub Date : 2025-06-01 Epub Date: 2025-02-04 DOI:10.3803/EnM.2024.2082
You-Bin Lee, Kyungdo Han, Bongsung Kim, So Hee Park, Kyu Yeon Hur, Gyuri Kim, Jae Hyeon Kim, Sang-Man Jin
{"title":"Time to Insulin Therapy and Severe Hypoglycemia in Korean Adults Initially Diagnosed with Type 2 Diabetes: A Nationwide Study.","authors":"You-Bin Lee, Kyungdo Han, Bongsung Kim, So Hee Park, Kyu Yeon Hur, Gyuri Kim, Jae Hyeon Kim, Sang-Man Jin","doi":"10.3803/EnM.2024.2082","DOIUrl":null,"url":null,"abstract":"<p><strong>Backgruound: </strong>We examined the distribution of time to insulin therapy (TIT) post-diabetes diagnosis and the hazard of severe hypoglycemia (SH) according to TIT in Korean adults initially diagnosed with type 2 diabetes (T2D) and who progressed to insulin therapy.</p><p><strong>Methods: </strong>Using data from the Korean National Health Insurance Service (2002 to 2018), we selected adult incident insulin users (initially diagnosed as T2D) who underwent health examinations between 2009 and 2012. The hazards of SH, recurrent SH, and problematic hypoglycemia were analyzed according to groups categorized using the TIT and clinical risk factors for SH (TIT ≥5 years with risk factors, TIT ≥5 years without risk factors, 3 ≤TIT <5 years, 1 ≤TIT <3 years, and TIT <1 year).</p><p><strong>Results: </strong>Among 41,637 individuals, 14,840 (35.64%) and 10,587 (25.43%) initiated insulin therapy within <5 and <3 years postdiabetes diagnosis, respectively. During a median 6.53 years, 3,406 SH events occurred. Compared to individuals with TIT ≥5 years and no risk factor for SH, individuals with TIT <3 years had higher outcome hazards in a graded manner (adjusted hazard ratio [95% confidence intervals] for any SH: 1.117 [0.967 to 1.290] in those with 3 ≤TIT <5 years; 1.459 [1.284 to 1.657] in those with 1 ≤ TIT <3 years; and 1.515 [1.309 to 1.754] in those with TIT <1 year). This relationship was more pronounced in the non-obese subpopulation.</p><p><strong>Conclusion: </strong>Among adults who progressed to insulin therapy after being diagnosed with T2D, a shorter TIT was not uncommon and may predict an increased risk of SH, particularly in non-obese patients.</p>","PeriodicalId":11636,"journal":{"name":"Endocrinology and Metabolism","volume":" ","pages":"421-433"},"PeriodicalIF":4.2000,"publicationDate":"2025-06-01","publicationTypes":"Journal Article","fieldsOfStudy":null,"isOpenAccess":false,"openAccessPdf":"https://www.ncbi.nlm.nih.gov/pmc/articles/PMC12230259/pdf/","citationCount":"0","resultStr":null,"platform":"Semanticscholar","paperid":null,"PeriodicalName":"Endocrinology and Metabolism","FirstCategoryId":"3","ListUrlMain":"https://doi.org/10.3803/EnM.2024.2082","RegionNum":3,"RegionCategory":"医学","ArticlePicture":[],"TitleCN":null,"AbstractTextCN":null,"PMCID":null,"EPubDate":"2025/2/4 0:00:00","PubModel":"Epub","JCR":"Q2","JCRName":"ENDOCRINOLOGY & METABOLISM","Score":null,"Total":0}
引用次数: 0

Abstract

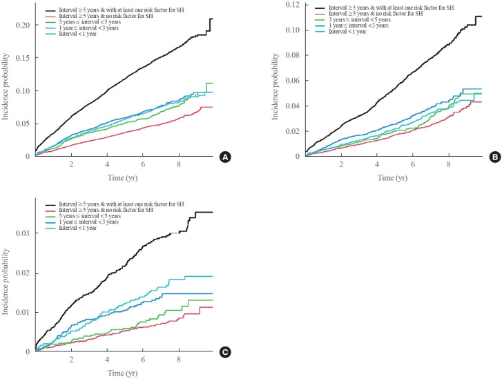
Backgruound: We examined the distribution of time to insulin therapy (TIT) post-diabetes diagnosis and the hazard of severe hypoglycemia (SH) according to TIT in Korean adults initially diagnosed with type 2 diabetes (T2D) and who progressed to insulin therapy.

Methods: Using data from the Korean National Health Insurance Service (2002 to 2018), we selected adult incident insulin users (initially diagnosed as T2D) who underwent health examinations between 2009 and 2012. The hazards of SH, recurrent SH, and problematic hypoglycemia were analyzed according to groups categorized using the TIT and clinical risk factors for SH (TIT ≥5 years with risk factors, TIT ≥5 years without risk factors, 3 ≤TIT <5 years, 1 ≤TIT <3 years, and TIT <1 year).

Results: Among 41,637 individuals, 14,840 (35.64%) and 10,587 (25.43%) initiated insulin therapy within <5 and <3 years postdiabetes diagnosis, respectively. During a median 6.53 years, 3,406 SH events occurred. Compared to individuals with TIT ≥5 years and no risk factor for SH, individuals with TIT <3 years had higher outcome hazards in a graded manner (adjusted hazard ratio [95% confidence intervals] for any SH: 1.117 [0.967 to 1.290] in those with 3 ≤TIT <5 years; 1.459 [1.284 to 1.657] in those with 1 ≤ TIT <3 years; and 1.515 [1.309 to 1.754] in those with TIT <1 year). This relationship was more pronounced in the non-obese subpopulation.

Conclusion: Among adults who progressed to insulin therapy after being diagnosed with T2D, a shorter TIT was not uncommon and may predict an increased risk of SH, particularly in non-obese patients.

Abstract Image

Abstract Image

Abstract Image

韩国成人2型糖尿病患者的胰岛素治疗时间和严重低血糖:一项全国性研究
背景:我们研究了最初诊断为2型糖尿病(T2D)并进展到胰岛素治疗的韩国成年人糖尿病诊断后胰岛素治疗(TIT)的时间分布和根据TIT发生严重低血糖(SH)的危险。方法:使用韩国国民健康保险公团(2002年至2018年)的数据,我们选择了2009年至2012年接受健康检查的成人意外胰岛素使用者(最初诊断为T2D)。结果:41637例患者中,14840例(35.64%)和10587例(25.43%)接受胰岛素治疗,其中14840例(35.64%)接受胰岛素治疗。在诊断为T2D后进行胰岛素治疗的成年人中,较短的TIT并不罕见,并且可能预测SH的风险增加,特别是在非肥胖患者中。
本文章由计算机程序翻译,如有差异,请以英文原文为准。
求助全文
约1分钟内获得全文 求助全文
来源期刊
Endocrinology and Metabolism
Endocrinology and Metabolism Medicine-Endocrinology, Diabetes and Metabolism
CiteScore
6.60
自引率
5.90%
发文量
145
审稿时长
24 weeks
期刊介绍: The aim of this journal is to set high standards of medical care by providing a forum for discussion for basic, clinical, and translational researchers and clinicians on new findings in the fields of endocrinology and metabolism. Endocrinology and Metabolism reports new findings and developments in all aspects of endocrinology and metabolism. The topics covered by this journal include bone and mineral metabolism, cytokines, developmental endocrinology, diagnostic endocrinology, endocrine research, dyslipidemia, endocrine regulation, genetic endocrinology, growth factors, hormone receptors, hormone action and regulation, management of endocrine diseases, clinical trials, epidemiology, molecular endocrinology, neuroendocrinology, neuropeptides, neurotransmitters, obesity, pediatric endocrinology, reproductive endocrinology, signal transduction, the anatomy and physiology of endocrine organs (i.e., the pituitary, thyroid, parathyroid, and adrenal glands, and the gonads), and endocrine diseases (diabetes, nutrition, osteoporosis, etc.).
×
引用
GB/T 7714-2015
复制
MLA
复制
APA
复制
导出至
BibTeX EndNote RefMan NoteFirst NoteExpress
×
提示
您的信息不完整,为了账户安全,请先补充。
现在去补充
×
提示
您因"违规操作"
具体请查看互助需知
我知道了
×
提示
确定
请完成安全验证×
copy
已复制链接
快去分享给好友吧!
我知道了
右上角分享
点击右上角分享
0
联系我们:info@booksci.cn Book学术提供免费学术资源搜索服务,方便国内外学者检索中英文文献。致力于提供最便捷和优质的服务体验。 Copyright © 2023 布克学术 All rights reserved.
京ICP备2023020795号-1
ghs 京公网安备 11010802042870号
Book学术文献互助
Book学术文献互助群
群 号:604180095
Book学术官方微信