Prediction nomogram for antepartum hemorrhage in placenta previa women.

IF 1.8 Q1 OBSTETRICS & GYNECOLOGY
Therapeutic advances in reproductive health Pub Date : 2025-01-30 eCollection Date: 2025-01-01 DOI:10.1177/26334941251315127
Dazhi Fan, Pengzhen Hu, Jiaming Rao, Dongxin Lin, Jie Yang, Zhengping Liu, Xiaoling Guo
{"title":"Prediction nomogram for antepartum hemorrhage in placenta previa women.","authors":"Dazhi Fan, Pengzhen Hu, Jiaming Rao, Dongxin Lin, Jie Yang, Zhengping Liu, Xiaoling Guo","doi":"10.1177/26334941251315127","DOIUrl":null,"url":null,"abstract":"<p><strong>Background: </strong>Placenta previa with antepartum hemorrhage (APH) is common and closely related to maternal and fetal morbidity and mortality. It is of the utmost importance to prepare for the possibility of APH using perinatal factors prior to delivery.</p><p><strong>Objective: </strong>To develop and validate a nomogram predicting APH in women with placenta previa based on the perinatal factors.</p><p><strong>Design: </strong>This was a retrospective and prospective cohort study of pregnant women with placenta previa.</p><p><strong>Methods: </strong>The model was developed in the retrospective and validated in the prospective cohort study. Multivariate logistic regression was applied to discover independent variables and develop a nomogram to predict the possibility of APH. An Excel form computer interface was constructed to use the model.</p><p><strong>Results: </strong>There are 1601 and 693 participants in the retrospective and prospective cohort study. Maternal age (odds ratio 0.950, 95% confidence interval 0.918-0.984), married (0.533, 0.309-0.920), parity (1.240, 1.024-1.502), threatened abortion (5.059, 3.648-7.014), and complete placenta previa (1.833, 95% CI 1.469-2.289) were independent variables for APH in placenta previa women. The area under the curve and concordance index were 0.828 and 0.676, respectively. The model was a good fit by the Hosmer-Lemeshow test (<i>p</i> = 0.352). The prospective validation proved the reliability of the prediction nomogram. The Excel form computer interface was practical.</p><p><strong>Conclusion: </strong>A nomogram based on perinatal factors was developed and validated to predict APH in women with placenta previa. The reliable tool may thereafter offer important assistance for decision-making processes.</p>","PeriodicalId":75219,"journal":{"name":"Therapeutic advances in reproductive health","volume":"19 ","pages":"26334941251315127"},"PeriodicalIF":1.8000,"publicationDate":"2025-01-30","publicationTypes":"Journal Article","fieldsOfStudy":null,"isOpenAccess":false,"openAccessPdf":"https://www.ncbi.nlm.nih.gov/pmc/articles/PMC11783508/pdf/","citationCount":"0","resultStr":null,"platform":"Semanticscholar","paperid":null,"PeriodicalName":"Therapeutic advances in reproductive health","FirstCategoryId":"1085","ListUrlMain":"https://doi.org/10.1177/26334941251315127","RegionNum":0,"RegionCategory":null,"ArticlePicture":[],"TitleCN":null,"AbstractTextCN":null,"PMCID":null,"EPubDate":"2025/1/1 0:00:00","PubModel":"eCollection","JCR":"Q1","JCRName":"OBSTETRICS & GYNECOLOGY","Score":null,"Total":0}
引用次数: 0

Abstract

Background: Placenta previa with antepartum hemorrhage (APH) is common and closely related to maternal and fetal morbidity and mortality. It is of the utmost importance to prepare for the possibility of APH using perinatal factors prior to delivery.

Objective: To develop and validate a nomogram predicting APH in women with placenta previa based on the perinatal factors.

Design: This was a retrospective and prospective cohort study of pregnant women with placenta previa.

Methods: The model was developed in the retrospective and validated in the prospective cohort study. Multivariate logistic regression was applied to discover independent variables and develop a nomogram to predict the possibility of APH. An Excel form computer interface was constructed to use the model.

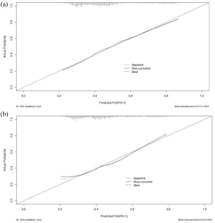
Results: There are 1601 and 693 participants in the retrospective and prospective cohort study. Maternal age (odds ratio 0.950, 95% confidence interval 0.918-0.984), married (0.533, 0.309-0.920), parity (1.240, 1.024-1.502), threatened abortion (5.059, 3.648-7.014), and complete placenta previa (1.833, 95% CI 1.469-2.289) were independent variables for APH in placenta previa women. The area under the curve and concordance index were 0.828 and 0.676, respectively. The model was a good fit by the Hosmer-Lemeshow test (p = 0.352). The prospective validation proved the reliability of the prediction nomogram. The Excel form computer interface was practical.

Conclusion: A nomogram based on perinatal factors was developed and validated to predict APH in women with placenta previa. The reliable tool may thereafter offer important assistance for decision-making processes.

Abstract Image

Abstract Image

Abstract Image

前置胎盘孕妇产前出血的预测图。
背景:前置胎盘合并产前出血(APH)是一种常见的疾病,与母胎的发病率和死亡率密切相关。在分娩前利用围产期因素为APH的可能性做好准备是至关重要的。目的:建立并验证一种基于围生期因素预测前置胎盘女性APH的nomogram。设计:这是一项针对前置胎盘孕妇的回顾性和前瞻性队列研究。方法:在回顾性研究中建立模型,并在前瞻性队列研究中进行验证。运用多元逻辑回归找出自变量,并建立拟合图预测APH发生的可能性。构建了一个Excel表格计算机界面来使用该模型。结果:回顾性和前瞻性队列研究分别有1601和693名参与者。产妇年龄(优势比0.950,95%可信区间0.918-0.984)、已婚(0.533,0.309-0.920)、胎次(1.240,1.024-1.502)、先兆流产(5.059,3.648-7.014)、完全性前置胎盘(1.833,95% CI 1.469-2.289)是前置胎盘患者APH的独立变量。曲线下面积为0.828,一致性指数为0.676。经Hosmer-Lemeshow检验,模型拟合良好(p = 0.352)。前瞻性验证证明了预测图的可靠性。Excel表格计算机界面实用。结论:一种基于围产期因素的nomogram预测前置胎盘患者APH的方法已被开发和验证。因此,可靠的工具可以为决策过程提供重要的协助。
本文章由计算机程序翻译,如有差异,请以英文原文为准。
求助全文
约1分钟内获得全文 求助全文
来源期刊
自引率
0.00%
发文量
0
审稿时长
7 weeks
×
引用
GB/T 7714-2015
复制
MLA
复制
APA
复制
导出至
BibTeX EndNote RefMan NoteFirst NoteExpress
×
提示
您的信息不完整,为了账户安全,请先补充。
现在去补充
×
提示
您因"违规操作"
具体请查看互助需知
我知道了
×
提示
确定
请完成安全验证×
copy
已复制链接
快去分享给好友吧!
我知道了
右上角分享
点击右上角分享
0
联系我们:info@booksci.cn Book学术提供免费学术资源搜索服务,方便国内外学者检索中英文文献。致力于提供最便捷和优质的服务体验。 Copyright © 2023 布克学术 All rights reserved.
京ICP备2023020795号-1
ghs 京公网安备 11010802042870号
Book学术文献互助
Book学术文献互助群
群 号:604180095
Book学术官方微信