The Role of miRNA Expression Profiles in Different Biofluids in Aneurysm Rupture.

IF 1.7 4区 医学 Q4 CLINICAL NEUROLOGY
Journal of Korean Neurosurgical Society Pub Date : 2025-09-01 Epub Date: 2025-02-03 DOI:10.3340/jkns.2024.0171
Sara Khadem Ansari, Ebru Erzurumluoglu Gokalp, Emre Ozkara, Ozlem Aykac, Oguz Cilingir, Ertugrul Colak, Atilla Ozcan Ozdemir, Sevilhan Artan
{"title":"The Role of miRNA Expression Profiles in Different Biofluids in Aneurysm Rupture.","authors":"Sara Khadem Ansari, Ebru Erzurumluoglu Gokalp, Emre Ozkara, Ozlem Aykac, Oguz Cilingir, Ertugrul Colak, Atilla Ozcan Ozdemir, Sevilhan Artan","doi":"10.3340/jkns.2024.0171","DOIUrl":null,"url":null,"abstract":"<p><strong>Objective: </strong>Intracranial aneurysm (IA) is a cerebrovascular disease in which the cerebral arteries become pathologically weakened. The molecular mechanisms behind the pathogenesis of IAs are poorly understood. MicroRNAs (miRNAs) are highly stable in body fluids and the expression signatures of specific circulating miRNAs may be associated with high rupture risk, severity, and clinical outcome of subarachnoid hemorrhage (SAH).</p><p><strong>Methods: </strong>The presented study aimed to detect miRNA-based biomarkers and evaluating the usability of blood for a non-invasive approach. Blood samples from 24 patients with unruptured IA (group 1), blood and cerebrospinal fluid (CSF) samples collected on day 5 after aneurysmal SAH (aSAH) from 24 patients with ruptured IA (group 2), and both the blood and CSF samples from 24 individuals without any positive IA history (control group) were subjected to quantitative real time polymerase chain reaction for evaluating the expression profiles of eight miRNAs.</p><p><strong>Results: </strong>miR-29a, miR-200a-3p, miR-451a, miR-1297, and miR-502-5p in blood and miR-29a, miR-200a-3p, miR-451a, miR-126, miR- 146a-5p, and miR-27b-3p in CSF were found to be differentially expressed in ruptured patients compared to controls. In both biofluids of ruptured cases, the differences in the expression profiles of miR-29a, miR-200a-3p, and miR-451a compared to controls were striking. The upregulation of miR-126, miR-200a-3p, miR-451a, and miR-502-5p in the ruptured group compared to unruptured patients suggesting that these miRNAs may be informative in predicting the risk of an aneurysmal rupture.</p><p><strong>Conclusion: </strong>miR-29a, miR-200a-3p, and miR-451 were significantly altered in patients with aSAH compared to controls in both biofluids. These findings suggest that these miRNAs could be candidate non-invasive biomarkers for aSAH.</p>","PeriodicalId":16283,"journal":{"name":"Journal of Korean Neurosurgical Society","volume":" ","pages":"528-540"},"PeriodicalIF":1.7000,"publicationDate":"2025-09-01","publicationTypes":"Journal Article","fieldsOfStudy":null,"isOpenAccess":false,"openAccessPdf":"https://www.ncbi.nlm.nih.gov/pmc/articles/PMC12415492/pdf/","citationCount":"0","resultStr":null,"platform":"Semanticscholar","paperid":null,"PeriodicalName":"Journal of Korean Neurosurgical Society","FirstCategoryId":"3","ListUrlMain":"https://doi.org/10.3340/jkns.2024.0171","RegionNum":4,"RegionCategory":"医学","ArticlePicture":[],"TitleCN":null,"AbstractTextCN":null,"PMCID":null,"EPubDate":"2025/2/3 0:00:00","PubModel":"Epub","JCR":"Q4","JCRName":"CLINICAL NEUROLOGY","Score":null,"Total":0}
引用次数: 0

Abstract

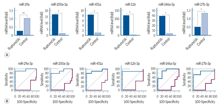
Objective: Intracranial aneurysm (IA) is a cerebrovascular disease in which the cerebral arteries become pathologically weakened. The molecular mechanisms behind the pathogenesis of IAs are poorly understood. MicroRNAs (miRNAs) are highly stable in body fluids and the expression signatures of specific circulating miRNAs may be associated with high rupture risk, severity, and clinical outcome of subarachnoid hemorrhage (SAH).

Methods: The presented study aimed to detect miRNA-based biomarkers and evaluating the usability of blood for a non-invasive approach. Blood samples from 24 patients with unruptured IA (group 1), blood and cerebrospinal fluid (CSF) samples collected on day 5 after aneurysmal SAH (aSAH) from 24 patients with ruptured IA (group 2), and both the blood and CSF samples from 24 individuals without any positive IA history (control group) were subjected to quantitative real time polymerase chain reaction for evaluating the expression profiles of eight miRNAs.

Results: miR-29a, miR-200a-3p, miR-451a, miR-1297, and miR-502-5p in blood and miR-29a, miR-200a-3p, miR-451a, miR-126, miR- 146a-5p, and miR-27b-3p in CSF were found to be differentially expressed in ruptured patients compared to controls. In both biofluids of ruptured cases, the differences in the expression profiles of miR-29a, miR-200a-3p, and miR-451a compared to controls were striking. The upregulation of miR-126, miR-200a-3p, miR-451a, and miR-502-5p in the ruptured group compared to unruptured patients suggesting that these miRNAs may be informative in predicting the risk of an aneurysmal rupture.

Conclusion: miR-29a, miR-200a-3p, and miR-451 were significantly altered in patients with aSAH compared to controls in both biofluids. These findings suggest that these miRNAs could be candidate non-invasive biomarkers for aSAH.

Abstract Image

Abstract Image

Abstract Image

miRNA表达谱在不同生物体液中的作用İn动脉瘤破裂。
目的:颅内动脉瘤(IA)是一种脑动脉病变的脑血管疾病。IAs发病机制背后的分子机制尚不清楚。microrna在体液中高度稳定,特定循环mirna的表达特征可能与SAH的高破裂风险、严重程度和临床结果相关。方法:本研究旨在检测基于mirna的生物标志物,并评估血液在非侵入性方法中的可用性。采用qRT-PCR对24例未破裂IA患者(1组)的血液样本、24例破裂IA患者(2组)aSAH后第5天采集的血液和脑脊液样本以及24例无IA阳性病史的个体(对照组)的血液和脑脊液样本进行检测,评估8种miRNAs的表达谱。结果:与对照组相比,血液中的MiR-29a、miR-200a-3p、miR-451a、miR-1297和miR-502-5p以及脑脊液中的MiR-29a、miR-200a-3p、miR-451a、miR-126、miR-146a-5p和miR-27b-3p在破裂患者中存在差异表达。在破裂病例的两种生物体液中,miR-29a、miR-200a-3p和miR-451a的表达谱与对照组相比存在显著差异。与未破裂患者相比,破裂组miR-126、miR-200a-3p、miR-451a和miR-502-5p的上调表明,这些mirna可能是预测动脉瘤破裂风险的重要信息。结论:与对照组相比,两种生物体液中aSAH患者的MiR-29a、miR-200a-3p和miR-451显著改变。这些发现表明这些mirna可能是aSAH的候选非侵入性生物标志物。
本文章由计算机程序翻译,如有差异,请以英文原文为准。
求助全文
约1分钟内获得全文 求助全文
来源期刊
CiteScore
2.90
自引率
6.20%
发文量
109
审稿时长
3-8 weeks
期刊介绍: The Journal of Korean Neurosurgical Society (J Korean Neurosurg Soc) is the official journal of the Korean Neurosurgical Society, and published bimonthly (1st day of January, March, May, July, September, and November). It launched in October 31, 1972 with Volume 1 and Number 1. J Korean Neurosurg Soc aims to allow neurosurgeons from around the world to enrich their knowledge of patient management, education, and clinical or experimental research, and hence their professionalism. This journal publishes Laboratory Investigations, Clinical Articles, Review Articles, Case Reports, Technical Notes, and Letters to the Editor. Our field of interest involves clinical neurosurgery (cerebrovascular disease, neuro-oncology, skull base neurosurgery, spine, pediatric neurosurgery, functional neurosurgery, epilepsy, neuro-trauma, and peripheral nerve disease) and laboratory work in neuroscience.
×
引用
GB/T 7714-2015
复制
MLA
复制
APA
复制
导出至
BibTeX EndNote RefMan NoteFirst NoteExpress
×
提示
您的信息不完整,为了账户安全,请先补充。
现在去补充
×
提示
您因"违规操作"
具体请查看互助需知
我知道了
×
提示
确定
请完成安全验证×
copy
已复制链接
快去分享给好友吧!
我知道了
右上角分享
点击右上角分享
0
联系我们:info@booksci.cn Book学术提供免费学术资源搜索服务,方便国内外学者检索中英文文献。致力于提供最便捷和优质的服务体验。 Copyright © 2023 布克学术 All rights reserved.
京ICP备2023020795号-1
ghs 京公网安备 11010802042870号
Book学术文献互助
Book学术文献互助群
群 号:604180095
Book学术官方微信