One-year Impact of Clinical and Echocardiographic Parameters in Cardiac Implantable Electronic Device Infection after Transvenous Extraction.

IF 1 Q4 CARDIAC & CARDIOVASCULAR SYSTEMS
Journal of Cardiovascular Echography Pub Date : 2024-10-01 Epub Date: 2024-12-19 DOI:10.4103/jcecho.jcecho_55_24
Sara Hana Weisz, Chiara Sordelli, Nunzia Fele, Angela Guarino, Raffaele Verde, Giulio Zucchelli, Corrado Severino, Vittorio Attanasio, Stefano De Vivo, Carlo Tascini, Sergio Severino
{"title":"One-year Impact of Clinical and Echocardiographic Parameters in Cardiac Implantable Electronic Device Infection after Transvenous Extraction.","authors":"Sara Hana Weisz, Chiara Sordelli, Nunzia Fele, Angela Guarino, Raffaele Verde, Giulio Zucchelli, Corrado Severino, Vittorio Attanasio, Stefano De Vivo, Carlo Tascini, Sergio Severino","doi":"10.4103/jcecho.jcecho_55_24","DOIUrl":null,"url":null,"abstract":"<p><strong>Introduction: </strong>Cardiac implantable electronic device infection (CIEDi) represents a serious complication with a poor prognosis. Many studies have underlined the importance of comorbidities on prognosis, but less is known about the impact of echocardiographic parameters. The aim of our study was to evaluate the clinical and echocardiographic characteristics of patients hospitalized for CIEDi submitted to transvenous extraction and their impact on 1-year follow-up.</p><p><strong>Materials and methods: </strong>This is a retrospective cohort study that evaluated patients hospitalized for CIEDi in 2019 in two high-volume centers (Cotugno Hospital of Napoli and University Hospital of Pisa).</p><p><strong>Results: </strong>Sixty-eight patients (72 ± 12 years, 24% females) were included. Isolated pocket infection was present in 30 patients (44%), whereas systemic infection in 38 (56%). In 24 patients (35%), it was possible to identify responsible germ, with a higher prevalence of <i>Staphylococcus epidermidis</i> (24%) and <i>Staphylococcus aureus</i> (16%). The mean ejection fraction (EF) was 45 ± 14%, 44% of patients had one vegetation (11.0 ± 8.0 mm), and 19% had multiple. Transthoracic echocardiography (TTE) failed to identify vegetation in 16 patients, whereas transesophageal echocardiography (TEE) was diagnostic. All patients underwent transvenous extraction of infected devices. After the procedure, echocardiographic ghosts were found in six patients (9%). At 1-year follow-up, all-cause mortality was 16%, mortality for cardiovascular cause was 12%, and no reinfection was recorded. Patients with EF ≤40% showed a significantly higher incidence of all-cause mortality (32% vs. 5%, <i>P</i> = 0.003) and mortality for cardiovascular causes (25% vs. 3%, <i>P</i> = 0.005). At adjusted Cox regression model, reduced EF ≤40% (adjusted hazard ratio [AdjHR] = 9.887, confidence interval [CI] =1.782-54.863; <i>P</i> = 0.009) and diabetes (AdjHR = 5.687, CI = 1.243-26.011; <i>P</i> = 0.025) were strong independent predictors of all-cause mortality. Moreover, reduced EF ≤40% (AdjHR = 17.382, CI = 1.379-219.037; <i>P</i> = 0.027), the presence of ghost (AdjHR = 14.584, CI = 1.465-145.197; <i>P</i> = 0.022), and diabetes (AdjHR = 11.334, CI = 1.506-85.315; <i>P</i> = 0.018) were strong independent predictors of mortality for cardiovascular cause.</p><p><strong>Conclusions: </strong>Echocardiography (TTE and TEE) is a fundamental tool for the diagnosis and follow-up of CIEDi. In our population, diabetes mellitus and echocardiographic-derived parameters as reduced EF ≤40% and the presence of ghosts were strongly associated with 1-year mortality.</p>","PeriodicalId":15191,"journal":{"name":"Journal of Cardiovascular Echography","volume":"34 4","pages":"196-202"},"PeriodicalIF":1.0000,"publicationDate":"2024-10-01","publicationTypes":"Journal Article","fieldsOfStudy":null,"isOpenAccess":false,"openAccessPdf":"https://www.ncbi.nlm.nih.gov/pmc/articles/PMC11784730/pdf/","citationCount":"0","resultStr":null,"platform":"Semanticscholar","paperid":null,"PeriodicalName":"Journal of Cardiovascular Echography","FirstCategoryId":"1085","ListUrlMain":"https://doi.org/10.4103/jcecho.jcecho_55_24","RegionNum":0,"RegionCategory":null,"ArticlePicture":[],"TitleCN":null,"AbstractTextCN":null,"PMCID":null,"EPubDate":"2024/12/19 0:00:00","PubModel":"Epub","JCR":"Q4","JCRName":"CARDIAC & CARDIOVASCULAR SYSTEMS","Score":null,"Total":0}
引用次数: 0

Abstract

Introduction: Cardiac implantable electronic device infection (CIEDi) represents a serious complication with a poor prognosis. Many studies have underlined the importance of comorbidities on prognosis, but less is known about the impact of echocardiographic parameters. The aim of our study was to evaluate the clinical and echocardiographic characteristics of patients hospitalized for CIEDi submitted to transvenous extraction and their impact on 1-year follow-up.

Materials and methods: This is a retrospective cohort study that evaluated patients hospitalized for CIEDi in 2019 in two high-volume centers (Cotugno Hospital of Napoli and University Hospital of Pisa).

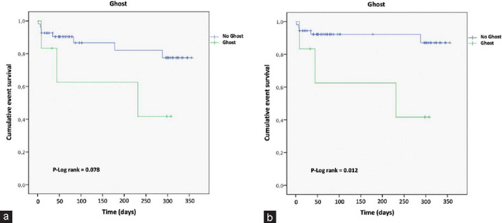
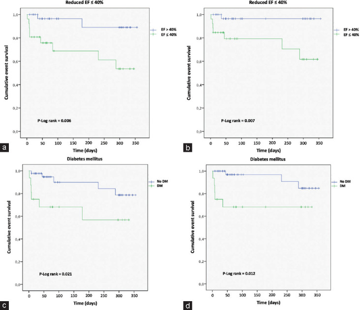
Results: Sixty-eight patients (72 ± 12 years, 24% females) were included. Isolated pocket infection was present in 30 patients (44%), whereas systemic infection in 38 (56%). In 24 patients (35%), it was possible to identify responsible germ, with a higher prevalence of Staphylococcus epidermidis (24%) and Staphylococcus aureus (16%). The mean ejection fraction (EF) was 45 ± 14%, 44% of patients had one vegetation (11.0 ± 8.0 mm), and 19% had multiple. Transthoracic echocardiography (TTE) failed to identify vegetation in 16 patients, whereas transesophageal echocardiography (TEE) was diagnostic. All patients underwent transvenous extraction of infected devices. After the procedure, echocardiographic ghosts were found in six patients (9%). At 1-year follow-up, all-cause mortality was 16%, mortality for cardiovascular cause was 12%, and no reinfection was recorded. Patients with EF ≤40% showed a significantly higher incidence of all-cause mortality (32% vs. 5%, P = 0.003) and mortality for cardiovascular causes (25% vs. 3%, P = 0.005). At adjusted Cox regression model, reduced EF ≤40% (adjusted hazard ratio [AdjHR] = 9.887, confidence interval [CI] =1.782-54.863; P = 0.009) and diabetes (AdjHR = 5.687, CI = 1.243-26.011; P = 0.025) were strong independent predictors of all-cause mortality. Moreover, reduced EF ≤40% (AdjHR = 17.382, CI = 1.379-219.037; P = 0.027), the presence of ghost (AdjHR = 14.584, CI = 1.465-145.197; P = 0.022), and diabetes (AdjHR = 11.334, CI = 1.506-85.315; P = 0.018) were strong independent predictors of mortality for cardiovascular cause.

Conclusions: Echocardiography (TTE and TEE) is a fundamental tool for the diagnosis and follow-up of CIEDi. In our population, diabetes mellitus and echocardiographic-derived parameters as reduced EF ≤40% and the presence of ghosts were strongly associated with 1-year mortality.

Abstract Image

Abstract Image

Abstract Image

经静脉取出心脏植入式电子装置后1年内临床及超声心动图参数对感染的影响。
心脏植入式电子装置感染(CIEDi)是一种预后不良的严重并发症。许多研究强调了合并症对预后的重要性,但对超声心动图参数的影响知之甚少。本研究的目的是评估因CIEDi住院接受经静脉引流的患者的临床和超声心动图特征及其对1年随访的影响。材料和方法:这是一项回顾性队列研究,评估了2019年在两个大容量中心(那不勒斯Cotugno医院和比萨大学医院)因CIEDi住院的患者。结果:纳入68例患者(72±12岁,女性24%)。30例(44%)患者存在孤立性口袋感染,38例(56%)患者存在全身感染。在24例患者(35%)中,可以鉴定出负责任的细菌,其中表皮葡萄球菌(24%)和金黄色葡萄球菌(16%)的患病率较高。平均射血分数(EF)为45±14%,44%的患者有一个植被(11.0±8.0 mm), 19%的患者有多个植被。经胸超声心动图(TTE)未能识别16例患者的植被,而经食管超声心动图(TEE)可诊断。所有患者都接受了经静脉取出感染装置的手术。术后6例患者(9%)出现超声心动图鬼影。随访1年,全因死亡率为16%,心血管原因死亡率为12%,无再感染记录。EF≤40%患者的全因死亡率(32% vs. 5%, P = 0.003)和心血管原因死亡率(25% vs. 3%, P = 0.005)的发生率均显著升高。在校正Cox回归模型中,EF降低≤40%(校正风险比[AdjHR] = 9.887,置信区间[CI] =1.782-54.863;P = 0.009)和糖尿病(AdjHR = 5.687, CI = 1.243-26.011;P = 0.025)是全因死亡率的独立预测因子。EF降低≤40% (AdjHR = 17.382, CI = 1.379 ~ 219.037;P = 0.027),鬼魂的存在(AdjHR = 14.584, CI = 1.465-145.197;P = 0.022),糖尿病(AdjHR = 11.334, CI = 1.506-85.315;P = 0.018)是心血管疾病死亡率的独立预测因子。结论:超声心动图(TTE和TEE)是诊断和随访CIEDi的基本工具。在我们的人群中,糖尿病和超声心动图衍生参数EF降低≤40%以及鬼影的存在与1年死亡率密切相关。
本文章由计算机程序翻译,如有差异,请以英文原文为准。
求助全文
约1分钟内获得全文 求助全文
来源期刊
Journal of Cardiovascular Echography
Journal of Cardiovascular Echography CARDIAC & CARDIOVASCULAR SYSTEMS-
CiteScore
1.40
自引率
12.50%
发文量
27
×
引用
GB/T 7714-2015
复制
MLA
复制
APA
复制
导出至
BibTeX EndNote RefMan NoteFirst NoteExpress
×
提示
您的信息不完整,为了账户安全,请先补充。
现在去补充
×
提示
您因"违规操作"
具体请查看互助需知
我知道了
×
提示
确定
请完成安全验证×
copy
已复制链接
快去分享给好友吧!
我知道了
右上角分享
点击右上角分享
0
联系我们:info@booksci.cn Book学术提供免费学术资源搜索服务,方便国内外学者检索中英文文献。致力于提供最便捷和优质的服务体验。 Copyright © 2023 布克学术 All rights reserved.
京ICP备2023020795号-1
ghs 京公网安备 11010802042870号
Book学术文献互助
Book学术文献互助群
群 号:604180095
Book学术官方微信