Echocardiographic Evaluation of Central Venous Pressure Using Inferior Vena Cava Characteristics: An Estimate Guide for Right Atrial Pressure in Intensive Care Unit.

IF 1 Q4 CARDIAC & CARDIOVASCULAR SYSTEMS
Journal of Cardiovascular Echography Pub Date : 2024-10-01 Epub Date: 2024-12-19 DOI:10.4103/jcecho.jcecho_2_24
Muataz F Hussein, Wisam J Mohammad, Samar Omran Essa
{"title":"Echocardiographic Evaluation of Central Venous Pressure Using Inferior Vena Cava Characteristics: An Estimate Guide for Right Atrial Pressure in Intensive Care Unit.","authors":"Muataz F Hussein, Wisam J Mohammad, Samar Omran Essa","doi":"10.4103/jcecho.jcecho_2_24","DOIUrl":null,"url":null,"abstract":"<p><strong>Background: </strong>Central venous pressure (CVP) is a good approximation of right atrial pressure (RAP), which in turn is a major determinant of right ventricular filling. The inferior vena cava (IVC) is a compliant vessel whose size and shape vary with changes in CVP. IVC diameter and Collapsibility Index (CI) assessed by echocardiography are used as indirect indicators for the estimation of RAP.</p><p><strong>Aim of the study: </strong>To evaluate the correlation between IVC echocardiographic characteristics and CVP and RAP and the value of assessment of IVC as a guide for the status of the right side of the heart.</p><p><strong>Patients and methods: </strong>A total of sixty patients (male and female) above 18 years of age, who were admitted in the intensive care unit, were enrolled in this single-center, descriptive cross-sectional study. Echocardiographic assessment of IVC hemodynamics (IVC expiratory [IVCe] and inspiratory [IVCi] diameters and IVC-CI) were carried out. In addition to standard echocardiographic examination, right heart function measurements (Tricuspid annular plane systolic excursion [TAPSE] and right atrial [RA] area) in spontaneously and mechanically ventilated patients were done.</p><p><strong>Results: </strong>The average age of the patients was 62 years (18-80 years). Overall, 45% (<i>n</i> = 27) were male and 55% (<i>n</i> = 33) were female. The breathing modality was mechanical ventilation in 27 (45%) patients and spontaneous breathing in 33 (55%) patients. Both IVCe and IVCi diameters showed a strong negative correlation with CI, (<i>r</i> = -0.920 for IVCe and <i>r</i> = -0.964 for IVCi) (<i>P</i> < 0.001). There was a positive correlation between TAPSE and IVC-CI (<i>r</i> = 0.857, <i>P</i> < 0.001). IVC-CI in mechanically ventilated patients was (mean ± standard deviation [SD], 40.11 ± 1.782) compared to spontaneous breathing (mean ± SD, 48.91 ± 1.811) (<i>P</i> < 0.001).</p><p><strong>Conclusions: </strong>There is a linear relationship of IVC-CI with TAPSE but an inverse relation with RA area. Evaluation of IVC diameter and its CI is an easy and noninvasive method to estimate CVP and RAP and so evaluate right heart performance of critically ill patients. Its use is more helpful in patients who are spontaneously breathing than those who are mechanically ventilated.</p>","PeriodicalId":15191,"journal":{"name":"Journal of Cardiovascular Echography","volume":"34 4","pages":"206-213"},"PeriodicalIF":1.0000,"publicationDate":"2024-10-01","publicationTypes":"Journal Article","fieldsOfStudy":null,"isOpenAccess":false,"openAccessPdf":"https://www.ncbi.nlm.nih.gov/pmc/articles/PMC11784733/pdf/","citationCount":"0","resultStr":null,"platform":"Semanticscholar","paperid":null,"PeriodicalName":"Journal of Cardiovascular Echography","FirstCategoryId":"1085","ListUrlMain":"https://doi.org/10.4103/jcecho.jcecho_2_24","RegionNum":0,"RegionCategory":null,"ArticlePicture":[],"TitleCN":null,"AbstractTextCN":null,"PMCID":null,"EPubDate":"2024/12/19 0:00:00","PubModel":"Epub","JCR":"Q4","JCRName":"CARDIAC & CARDIOVASCULAR SYSTEMS","Score":null,"Total":0}
引用次数: 0

Abstract

Background: Central venous pressure (CVP) is a good approximation of right atrial pressure (RAP), which in turn is a major determinant of right ventricular filling. The inferior vena cava (IVC) is a compliant vessel whose size and shape vary with changes in CVP. IVC diameter and Collapsibility Index (CI) assessed by echocardiography are used as indirect indicators for the estimation of RAP.

Aim of the study: To evaluate the correlation between IVC echocardiographic characteristics and CVP and RAP and the value of assessment of IVC as a guide for the status of the right side of the heart.

Patients and methods: A total of sixty patients (male and female) above 18 years of age, who were admitted in the intensive care unit, were enrolled in this single-center, descriptive cross-sectional study. Echocardiographic assessment of IVC hemodynamics (IVC expiratory [IVCe] and inspiratory [IVCi] diameters and IVC-CI) were carried out. In addition to standard echocardiographic examination, right heart function measurements (Tricuspid annular plane systolic excursion [TAPSE] and right atrial [RA] area) in spontaneously and mechanically ventilated patients were done.

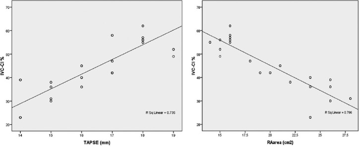
Results: The average age of the patients was 62 years (18-80 years). Overall, 45% (n = 27) were male and 55% (n = 33) were female. The breathing modality was mechanical ventilation in 27 (45%) patients and spontaneous breathing in 33 (55%) patients. Both IVCe and IVCi diameters showed a strong negative correlation with CI, (r = -0.920 for IVCe and r = -0.964 for IVCi) (P < 0.001). There was a positive correlation between TAPSE and IVC-CI (r = 0.857, P < 0.001). IVC-CI in mechanically ventilated patients was (mean ± standard deviation [SD], 40.11 ± 1.782) compared to spontaneous breathing (mean ± SD, 48.91 ± 1.811) (P < 0.001).

Conclusions: There is a linear relationship of IVC-CI with TAPSE but an inverse relation with RA area. Evaluation of IVC diameter and its CI is an easy and noninvasive method to estimate CVP and RAP and so evaluate right heart performance of critically ill patients. Its use is more helpful in patients who are spontaneously breathing than those who are mechanically ventilated.

Abstract Image

Abstract Image

Abstract Image

利用下腔静脉特征评价中心静脉压的超声心动图:重症监护病房右心房压的估计指南。
背景:中心静脉压(CVP)是右心房压(RAP)的一个很好的近似值,而右心房压是右心室充盈的一个主要决定因素。下腔静脉(IVC)是一条柔顺的血管,其大小和形状随CVP的变化而变化。超声心动图评价的下腔静脉直径和折陷性指数(CI)作为估计RAP的间接指标。研究目的:探讨下腔静脉超声心动图特征与CVP、RAP的相关性,以及评价下腔静脉超声心动图对右侧心脏状态的指导价值。患者和方法:共有60名18岁以上的重症监护病房患者(男性和女性)被纳入这项单中心、描述性横断面研究。超声心动图评估IVC血流动力学(IVC呼气[IVCe]和吸气[IVCi]直径和IVC- ci)。除标准超声心动图检查外,对自发通气和机械通气患者进行右心功能测量(三尖瓣环平面收缩偏移[TAPSE]和右心房[RA]面积)。结果:患者平均年龄62岁(18 ~ 80岁)。总体而言,45% (n = 27)为男性,55% (n = 33)为女性。呼吸方式为机械通气27例(45%),自主呼吸33例(55%)。IVCe和IVCi直径均与CI呈显著负相关(r = -0.920, r = -0.964) (P < 0.001)。TAPSE与IVC-CI呈正相关(r = 0.857, P < 0.001)。机械通气患者IVC-CI(平均±标准差[SD], 40.11±1.782)与自然呼吸患者(平均±SD, 48.91±1.811)相比,差异有统计学意义(P < 0.001)。结论:IVC-CI与TAPSE呈线性关系,与RA面积呈反比关系。评价下腔静脉内径及其CI是一种简便、无创的评价危重患者CVP和RAP的方法。它的使用对自发呼吸的患者比那些机械通气的患者更有帮助。
本文章由计算机程序翻译,如有差异,请以英文原文为准。
求助全文
约1分钟内获得全文 求助全文
来源期刊
Journal of Cardiovascular Echography
Journal of Cardiovascular Echography CARDIAC & CARDIOVASCULAR SYSTEMS-
CiteScore
1.40
自引率
12.50%
发文量
27
×
引用
GB/T 7714-2015
复制
MLA
复制
APA
复制
导出至
BibTeX EndNote RefMan NoteFirst NoteExpress
×
提示
您的信息不完整,为了账户安全,请先补充。
现在去补充
×
提示
您因"违规操作"
具体请查看互助需知
我知道了
×
提示
确定
请完成安全验证×
copy
已复制链接
快去分享给好友吧!
我知道了
右上角分享
点击右上角分享
0
联系我们:info@booksci.cn Book学术提供免费学术资源搜索服务,方便国内外学者检索中英文文献。致力于提供最便捷和优质的服务体验。 Copyright © 2023 布克学术 All rights reserved.
京ICP备2023020795号-1
ghs 京公网安备 11010802042870号
Book学术文献互助
Book学术文献互助群
群 号:604180095
Book学术官方微信