Cross-modality fusion with EEG and text for enhanced emotion detection in English writing.

IF 2.8 4区 计算机科学 Q3 COMPUTER SCIENCE, ARTIFICIAL INTELLIGENCE
Frontiers in Neurorobotics Pub Date : 2025-01-17 eCollection Date: 2024-01-01 DOI:10.3389/fnbot.2024.1529880
Jing Wang, Ci Zhang
{"title":"Cross-modality fusion with EEG and text for enhanced emotion detection in English writing.","authors":"Jing Wang, Ci Zhang","doi":"10.3389/fnbot.2024.1529880","DOIUrl":null,"url":null,"abstract":"<p><strong>Introduction: </strong>Emotion detection in written text is critical for applications in human-computer interaction, affective computing, and personalized content recommendation. Traditional approaches to emotion detection primarily leverage textual features, using natural language processing techniques such as sentiment analysis, which, while effective, may miss subtle nuances of emotions. These methods often fall short in recognizing the complex, multimodal nature of human emotions, as they ignore physiological cues that could provide richer emotional insights.</p><p><strong>Methods: </strong>To address these limitations, this paper proposes Emotion Fusion-Transformer, a cross-modality fusion model that integrates EEG signals and textual data to enhance emotion detection in English writing. By utilizing the Transformer architecture, our model effectively captures contextual relationships within the text while concurrently processing EEG signals to extract underlying emotional states. Specifically, the Emotion Fusion-Transformer first preprocesses EEG data through signal transformation and filtering, followed by feature extraction that complements the textual embeddings. These modalities are fused within a unified Transformer framework, allowing for a holistic view of both the cognitive and physiological dimensions of emotion.</p><p><strong>Results and discussion: </strong>Experimental results demonstrate that the proposed model significantly outperforms text-only and EEG-only approaches, with improvements in both accuracy and F1-score across diverse emotional categories. This model shows promise for enhancing affective computing applications by bridging the gap between physiological and textual emotion detection, enabling more nuanced and accurate emotion analysis in English writing.</p>","PeriodicalId":12628,"journal":{"name":"Frontiers in Neurorobotics","volume":"18 ","pages":"1529880"},"PeriodicalIF":2.8000,"publicationDate":"2025-01-17","publicationTypes":"Journal Article","fieldsOfStudy":null,"isOpenAccess":false,"openAccessPdf":"https://www.ncbi.nlm.nih.gov/pmc/articles/PMC11782560/pdf/","citationCount":"0","resultStr":null,"platform":"Semanticscholar","paperid":null,"PeriodicalName":"Frontiers in Neurorobotics","FirstCategoryId":"94","ListUrlMain":"https://doi.org/10.3389/fnbot.2024.1529880","RegionNum":4,"RegionCategory":"计算机科学","ArticlePicture":[],"TitleCN":null,"AbstractTextCN":null,"PMCID":null,"EPubDate":"2024/1/1 0:00:00","PubModel":"eCollection","JCR":"Q3","JCRName":"COMPUTER SCIENCE, ARTIFICIAL INTELLIGENCE","Score":null,"Total":0}
引用次数: 0

Abstract

Introduction: Emotion detection in written text is critical for applications in human-computer interaction, affective computing, and personalized content recommendation. Traditional approaches to emotion detection primarily leverage textual features, using natural language processing techniques such as sentiment analysis, which, while effective, may miss subtle nuances of emotions. These methods often fall short in recognizing the complex, multimodal nature of human emotions, as they ignore physiological cues that could provide richer emotional insights.

Methods: To address these limitations, this paper proposes Emotion Fusion-Transformer, a cross-modality fusion model that integrates EEG signals and textual data to enhance emotion detection in English writing. By utilizing the Transformer architecture, our model effectively captures contextual relationships within the text while concurrently processing EEG signals to extract underlying emotional states. Specifically, the Emotion Fusion-Transformer first preprocesses EEG data through signal transformation and filtering, followed by feature extraction that complements the textual embeddings. These modalities are fused within a unified Transformer framework, allowing for a holistic view of both the cognitive and physiological dimensions of emotion.

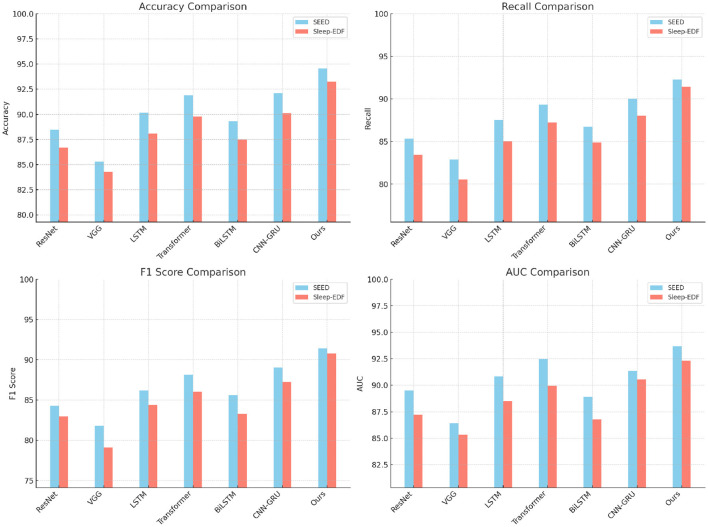
Results and discussion: Experimental results demonstrate that the proposed model significantly outperforms text-only and EEG-only approaches, with improvements in both accuracy and F1-score across diverse emotional categories. This model shows promise for enhancing affective computing applications by bridging the gap between physiological and textual emotion detection, enabling more nuanced and accurate emotion analysis in English writing.

Abstract Image

Abstract Image

Abstract Image

脑电与文本交叉情态融合在英语写作情感检测中的应用。
简介:书面文本中的情感检测对于人机交互、情感计算和个性化内容推荐的应用至关重要。传统的情感检测方法主要利用文本特征,使用自然语言处理技术,如情感分析,虽然有效,但可能会错过情感的细微差别。这些方法往往无法识别人类情感的复杂性和多模态本质,因为它们忽略了可以提供更丰富情感见解的生理线索。方法:针对这些局限性,本文提出了一种跨模态融合模型——情感融合转换器,该模型集成了脑电信号和文本数据,以增强英语写作中的情感检测。通过利用Transformer架构,我们的模型可以有效地捕获文本中的上下文关系,同时处理EEG信号以提取潜在的情绪状态。具体来说,情感融合变压器首先通过信号变换和滤波对脑电数据进行预处理,然后进行特征提取,补充文本嵌入。这些模式融合在一个统一的Transformer框架内,允许对情感的认知和生理维度进行整体观察。结果和讨论:实验结果表明,所提出的模型明显优于纯文本和纯脑电图方法,在不同情绪类别的准确性和f1分数上都有提高。通过弥合生理和文本情感检测之间的差距,该模型有望增强情感计算应用,从而在英语写作中实现更细致、更准确的情感分析。
本文章由计算机程序翻译,如有差异,请以英文原文为准。
求助全文
约1分钟内获得全文 求助全文
来源期刊
Frontiers in Neurorobotics
Frontiers in Neurorobotics COMPUTER SCIENCE, ARTIFICIAL INTELLIGENCER-ROBOTICS
CiteScore
5.20
自引率
6.50%
发文量
250
审稿时长
14 weeks
期刊介绍: Frontiers in Neurorobotics publishes rigorously peer-reviewed research in the science and technology of embodied autonomous neural systems. Specialty Chief Editors Alois C. Knoll and Florian Röhrbein at the Technische Universität München are supported by an outstanding Editorial Board of international experts. This multidisciplinary open-access journal is at the forefront of disseminating and communicating scientific knowledge and impactful discoveries to researchers, academics and the public worldwide. Neural systems include brain-inspired algorithms (e.g. connectionist networks), computational models of biological neural networks (e.g. artificial spiking neural nets, large-scale simulations of neural microcircuits) and actual biological systems (e.g. in vivo and in vitro neural nets). The focus of the journal is the embodiment of such neural systems in artificial software and hardware devices, machines, robots or any other form of physical actuation. This also includes prosthetic devices, brain machine interfaces, wearable systems, micro-machines, furniture, home appliances, as well as systems for managing micro and macro infrastructures. Frontiers in Neurorobotics also aims to publish radically new tools and methods to study plasticity and development of autonomous self-learning systems that are capable of acquiring knowledge in an open-ended manner. Models complemented with experimental studies revealing self-organizing principles of embodied neural systems are welcome. Our journal also publishes on the micro and macro engineering and mechatronics of robotic devices driven by neural systems, as well as studies on the impact that such systems will have on our daily life.
×
引用
GB/T 7714-2015
复制
MLA
复制
APA
复制
导出至
BibTeX EndNote RefMan NoteFirst NoteExpress
×
提示
您的信息不完整,为了账户安全,请先补充。
现在去补充
×
提示
您因"违规操作"
具体请查看互助需知
我知道了
×
提示
确定
请完成安全验证×
copy
已复制链接
快去分享给好友吧!
我知道了
右上角分享
点击右上角分享
0
联系我们:info@booksci.cn Book学术提供免费学术资源搜索服务,方便国内外学者检索中英文文献。致力于提供最便捷和优质的服务体验。 Copyright © 2023 布克学术 All rights reserved.
京ICP备2023020795号-1
ghs 京公网安备 11010802042870号
Book学术文献互助
Book学术文献互助群
群 号:604180095
Book学术官方微信