Spectroscopy of two-dimensional interacting lattice electrons using symmetry-aware neural backflow transformations.

IF 5.8 1区 物理与天体物理 Q1 PHYSICS, MULTIDISCIPLINARY
Communications Physics Pub Date : 2025-01-01 Epub Date: 2025-01-30 DOI:10.1038/s42005-025-01955-z
Imelda Romero, Jannes Nys, Giuseppe Carleo
{"title":"Spectroscopy of two-dimensional interacting lattice electrons using symmetry-aware neural backflow transformations.","authors":"Imelda Romero, Jannes Nys, Giuseppe Carleo","doi":"10.1038/s42005-025-01955-z","DOIUrl":null,"url":null,"abstract":"<p><p>Neural networks have shown to be a powerful tool to represent the ground state of quantum many-body systems, including fermionic systems. However, efficiently integrating lattice symmetries into neural representations remains a significant challenge. In this work, we introduce a framework for embedding lattice symmetries in fermionic wavefunctions and demonstrate its ability to target both ground states and low-lying excitations. Using group-equivariant neural backflow transformations, we study the <i>t</i>-<i>V</i> model on a square lattice away from half-filling. Our symmetry-aware backflow significantly improves ground-state energies and yields accurate low-energy excitations for lattices up to 10 × 10. We also compute accurate two-point density-correlation functions and the structure factor to identify phase transitions and critical points. These findings introduce a symmetry-aware framework important for studying quantum materials and phase transitions.</p>","PeriodicalId":10540,"journal":{"name":"Communications Physics","volume":"8 1","pages":"46"},"PeriodicalIF":5.8000,"publicationDate":"2025-01-01","publicationTypes":"Journal Article","fieldsOfStudy":null,"isOpenAccess":false,"openAccessPdf":"https://www.ncbi.nlm.nih.gov/pmc/articles/PMC11779646/pdf/","citationCount":"0","resultStr":null,"platform":"Semanticscholar","paperid":null,"PeriodicalName":"Communications Physics","FirstCategoryId":"101","ListUrlMain":"https://doi.org/10.1038/s42005-025-01955-z","RegionNum":1,"RegionCategory":"物理与天体物理","ArticlePicture":[],"TitleCN":null,"AbstractTextCN":null,"PMCID":null,"EPubDate":"2025/1/30 0:00:00","PubModel":"Epub","JCR":"Q1","JCRName":"PHYSICS, MULTIDISCIPLINARY","Score":null,"Total":0}
引用次数: 0

Abstract

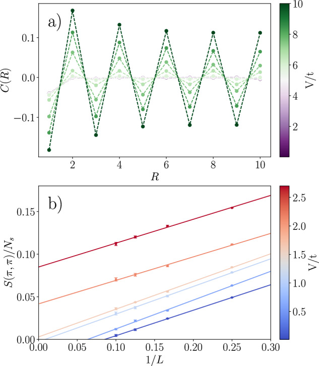
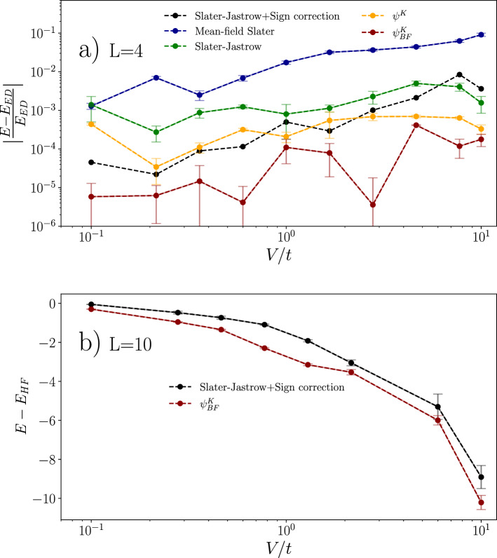
Neural networks have shown to be a powerful tool to represent the ground state of quantum many-body systems, including fermionic systems. However, efficiently integrating lattice symmetries into neural representations remains a significant challenge. In this work, we introduce a framework for embedding lattice symmetries in fermionic wavefunctions and demonstrate its ability to target both ground states and low-lying excitations. Using group-equivariant neural backflow transformations, we study the t-V model on a square lattice away from half-filling. Our symmetry-aware backflow significantly improves ground-state energies and yields accurate low-energy excitations for lattices up to 10 × 10. We also compute accurate two-point density-correlation functions and the structure factor to identify phase transitions and critical points. These findings introduce a symmetry-aware framework important for studying quantum materials and phase transitions.

Abstract Image

Abstract Image

Abstract Image

利用对称感知神经回流变换的二维相互作用晶格电子光谱学。
神经网络已被证明是表征量子多体系统(包括费米子系统)基态的强大工具。然而,有效地将晶格对称性集成到神经表征中仍然是一个重大的挑战。在这项工作中,我们介绍了在费米子波函数中嵌入晶格对称性的框架,并证明了其针对基态和低洼激发的能力。利用群等变神经回流变换,研究了远离半填充的方形晶格上的t-V模型。我们的对称感知回流显着提高了基态能量,并为高达10 × 10的晶格产生精确的低能量激发。我们还计算了精确的两点密度相关函数和结构因子来识别相变和临界点。这些发现为研究量子材料和相变引入了一个重要的对称感知框架。
本文章由计算机程序翻译,如有差异,请以英文原文为准。
求助全文
约1分钟内获得全文 求助全文
来源期刊
Communications Physics
Communications Physics Physics and Astronomy-General Physics and Astronomy
CiteScore
8.40
自引率
3.60%
发文量
276
审稿时长
13 weeks
期刊介绍: Communications Physics is an open access journal from Nature Research publishing high-quality research, reviews and commentary in all areas of the physical sciences. Research papers published by the journal represent significant advances bringing new insight to a specialized area of research in physics. We also aim to provide a community forum for issues of importance to all physicists, regardless of sub-discipline. The scope of the journal covers all areas of experimental, applied, fundamental, and interdisciplinary physical sciences. Primary research published in Communications Physics includes novel experimental results, new techniques or computational methods that may influence the work of others in the sub-discipline. We also consider submissions from adjacent research fields where the central advance of the study is of interest to physicists, for example material sciences, physical chemistry and technologies.
×
引用
GB/T 7714-2015
复制
MLA
复制
APA
复制
导出至
BibTeX EndNote RefMan NoteFirst NoteExpress
×
提示
您的信息不完整,为了账户安全,请先补充。
现在去补充
×
提示
您因"违规操作"
具体请查看互助需知
我知道了
×
提示
确定
请完成安全验证×
copy
已复制链接
快去分享给好友吧!
我知道了
右上角分享
点击右上角分享
0
联系我们:info@booksci.cn Book学术提供免费学术资源搜索服务,方便国内外学者检索中英文文献。致力于提供最便捷和优质的服务体验。 Copyright © 2023 布克学术 All rights reserved.
京ICP备2023020795号-1
ghs 京公网安备 11010802042870号
Book学术文献互助
Book学术文献互助群
群 号:604180095
Book学术官方微信