Clinical Profile and Outcomes of Pulmonary Embolism in Central Iran: A Retrospective Cohort Study.

IF 1 4区 医学 Q3 MEDICINE, GENERAL & INTERNAL
Abbas Andishmand, Leila Sharifi, Seyedeh Mahdieh Namayandeh
{"title":"Clinical Profile and Outcomes of Pulmonary Embolism in Central Iran: A Retrospective Cohort Study.","authors":"Abbas Andishmand, Leila Sharifi, Seyedeh Mahdieh Namayandeh","doi":"10.34172/aim.31907","DOIUrl":null,"url":null,"abstract":"<p><strong>Background: </strong>Pulmonary embolism (PE) is a significant public health concern. This retrospective cohort study examines the clinical profiles and outcomes of patients diagnosed with PE at a medical center in central Iran, aiming to identify mortality predictors during hospitalization and follow-up.</p><p><strong>Methods: </strong>Data from 109 patients diagnosed with PE were analyzed, with a median follow-up of 23 months. The collected information included demographic and clinical characteristics, laboratory findings, treatment protocols, and outcomes. Logistic regression and Kaplan-Meier survival analysis were used to identify independent mortality predictors and assess survival impact.</p><p><strong>Results: </strong>The mean age was 59.2 years (±19.7), with 51.4% male. Common symptoms included dyspnea (86%) and chest pain (53%), with non-massive PE being the most prevalent (63%). Independent mortality predictors identified were age (odds ratio [OR] 1.065 per year, <i>P</i><0.001), female sex (OR 4.421, <i>P</i>=0.009), and PE severity (OR 0.262, <i>P</i>=0.023). Kaplan-Meier analysis showed reduced survival probabilities in females (<i>P</i>=0.009), those with provoked PE (<i>P</i>=0.002), patients over 65 (<i>P</i>=0.016), and individuals with comorbidities (<i>P</i>=0.018). In-hospital mortality was 10.1%, linked to provoked massive PE, absence of thrombolytic therapy, and reduced left ventricular ejection fraction (LVEF).</p><p><strong>Conclusion: </strong>In this cohort, age, sex, and PE severity were significant mortality predictors, while provoked PE, advanced age, and comorbidities were associated with lower mid-term survival probabilities.</p>","PeriodicalId":55469,"journal":{"name":"Archives of Iranian Medicine","volume":"27 12","pages":"667-673"},"PeriodicalIF":1.0000,"publicationDate":"2024-12-01","publicationTypes":"Journal Article","fieldsOfStudy":null,"isOpenAccess":false,"openAccessPdf":"https://www.ncbi.nlm.nih.gov/pmc/articles/PMC11786213/pdf/","citationCount":"0","resultStr":null,"platform":"Semanticscholar","paperid":null,"PeriodicalName":"Archives of Iranian Medicine","FirstCategoryId":"3","ListUrlMain":"https://doi.org/10.34172/aim.31907","RegionNum":4,"RegionCategory":"医学","ArticlePicture":[],"TitleCN":null,"AbstractTextCN":null,"PMCID":null,"EPubDate":"","PubModel":"","JCR":"Q3","JCRName":"MEDICINE, GENERAL & INTERNAL","Score":null,"Total":0}
引用次数: 0

Abstract

Background: Pulmonary embolism (PE) is a significant public health concern. This retrospective cohort study examines the clinical profiles and outcomes of patients diagnosed with PE at a medical center in central Iran, aiming to identify mortality predictors during hospitalization and follow-up.

Methods: Data from 109 patients diagnosed with PE were analyzed, with a median follow-up of 23 months. The collected information included demographic and clinical characteristics, laboratory findings, treatment protocols, and outcomes. Logistic regression and Kaplan-Meier survival analysis were used to identify independent mortality predictors and assess survival impact.

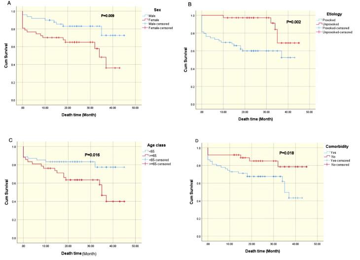
Results: The mean age was 59.2 years (±19.7), with 51.4% male. Common symptoms included dyspnea (86%) and chest pain (53%), with non-massive PE being the most prevalent (63%). Independent mortality predictors identified were age (odds ratio [OR] 1.065 per year, P<0.001), female sex (OR 4.421, P=0.009), and PE severity (OR 0.262, P=0.023). Kaplan-Meier analysis showed reduced survival probabilities in females (P=0.009), those with provoked PE (P=0.002), patients over 65 (P=0.016), and individuals with comorbidities (P=0.018). In-hospital mortality was 10.1%, linked to provoked massive PE, absence of thrombolytic therapy, and reduced left ventricular ejection fraction (LVEF).

Conclusion: In this cohort, age, sex, and PE severity were significant mortality predictors, while provoked PE, advanced age, and comorbidities were associated with lower mid-term survival probabilities.

Abstract Image

伊朗中部肺栓塞的临床概况和结局:一项回顾性队列研究。
背景:肺栓塞(PE)是一个重要的公共卫生问题。本回顾性队列研究调查了伊朗中部一家医疗中心诊断为PE的患者的临床概况和结果,旨在确定住院和随访期间的死亡率预测因素。方法:对109例PE患者的数据进行分析,中位随访时间为23个月。收集的信息包括人口统计学和临床特征、实验室结果、治疗方案和结果。使用Logistic回归和Kaplan-Meier生存分析来确定独立的死亡率预测因子并评估生存影响。结果:平均年龄59.2岁(±19.7岁),男性占51.4%。常见症状包括呼吸困难(86%)和胸痛(53%),非块状PE最为普遍(63%)。确定的独立死亡预测因子为年龄(比值比[OR] 1.065 /年,PP=0.009)和PE严重程度(比值比[OR] 0.262, P=0.023)。Kaplan-Meier分析显示,女性(P=0.009)、诱发性PE (P=0.002)、65岁以上患者(P=0.016)和合并合并症患者(P=0.018)的生存率降低。住院死亡率为10.1%,与诱发性大面积PE、缺乏溶栓治疗和左室射血分数(LVEF)降低有关。结论:在该队列中,年龄、性别和PE严重程度是显著的死亡率预测因素,而诱发性PE、高龄和合并症与较低的中期生存率相关。
本文章由计算机程序翻译,如有差异,请以英文原文为准。
求助全文
约1分钟内获得全文 求助全文
来源期刊
Archives of Iranian Medicine
Archives of Iranian Medicine 医学-医学:内科
CiteScore
4.20
自引率
0.00%
发文量
67
审稿时长
3-8 weeks
期刊介绍: Aim and Scope: The Archives of Iranian Medicine (AIM) is a monthly peer-reviewed multidisciplinary medical publication. The journal welcomes contributions particularly relevant to the Middle-East region and publishes biomedical experiences and clinical investigations on prevalent diseases in the region as well as analyses of factors that may modulate the incidence, course, and management of diseases and pertinent medical problems. Manuscripts with didactic orientation and subjects exclusively of local interest will not be considered for publication.The 2016 Impact Factor of "Archives of Iranian Medicine" is 1.20.
×
引用
GB/T 7714-2015
复制
MLA
复制
APA
复制
导出至
BibTeX EndNote RefMan NoteFirst NoteExpress
×
提示
您的信息不完整,为了账户安全,请先补充。
现在去补充
×
提示
您因"违规操作"
具体请查看互助需知
我知道了
×
提示
确定
请完成安全验证×
copy
已复制链接
快去分享给好友吧!
我知道了
右上角分享
点击右上角分享
0
联系我们:info@booksci.cn Book学术提供免费学术资源搜索服务,方便国内外学者检索中英文文献。致力于提供最便捷和优质的服务体验。 Copyright © 2023 布克学术 All rights reserved.
京ICP备2023020795号-1
ghs 京公网安备 11010802042870号
Book学术文献互助
Book学术文献互助群
群 号:604180095
Book学术官方微信