Association between cardiometabolic index and hypertension among US adults from NHANES 1999-2020.

IF 3.9 2区 综合性期刊 Q1 MULTIDISCIPLINARY SCIENCES
Tuo Guo, Yang Zhou, Guifang Yang, Lijuan Sheng, Xiangping Chai
{"title":"Association between cardiometabolic index and hypertension among US adults from NHANES 1999-2020.","authors":"Tuo Guo, Yang Zhou, Guifang Yang, Lijuan Sheng, Xiangping Chai","doi":"10.1038/s41598-025-87029-0","DOIUrl":null,"url":null,"abstract":"<p><p>Hypertension, a major global health issue and leading cause of death, is often under-assessed by traditional metrics like Body Mass Index which fail to capture comprehensive cardiovascular risks associated with obesity. The Cardiometabolic Index (CMI), which evaluates abdominal obesity and dyslipidemia, offers a more accurate assessment of visceral fat and metabolic dysfunction. In this study, we analyzed data from 45,250 participants from the National Health and Nutrition Examination Survey spanning 1999 to 2020. Using multivariable logistic regression, we explored the association between CMI and hypertension, employing Restricted Cubic Spline analysis to assess non-linear relationships and two-piecewise linear regression to identify threshold effects. Subgroup analyses confirmed the consistency of our findings across various demographic and clinical characteristics. Findings confirmed that hypertensive participants exhibited significantly higher CMI levels (median 0.46 vs. 0.73), with adjusted logistic regression showing a notable association between increased CMI and hypertension prevalence (OR 1.30, 95% CI 1.25-1.35, P < 0.01), characterized by a nonlinear L-shaped curve with a critical threshold identified at a CMI value of 1.37. Subgroup analysis revealed a more pronounced impact of CMI on hypertension in females. These results underscore CMI's potential to enhance cardiovascular risk assessment across diverse U.S. populations.</p>","PeriodicalId":21811,"journal":{"name":"Scientific Reports","volume":"15 1","pages":"4007"},"PeriodicalIF":3.9000,"publicationDate":"2025-02-01","publicationTypes":"Journal Article","fieldsOfStudy":null,"isOpenAccess":false,"openAccessPdf":"https://www.ncbi.nlm.nih.gov/pmc/articles/PMC11787287/pdf/","citationCount":"0","resultStr":null,"platform":"Semanticscholar","paperid":null,"PeriodicalName":"Scientific Reports","FirstCategoryId":"103","ListUrlMain":"https://doi.org/10.1038/s41598-025-87029-0","RegionNum":2,"RegionCategory":"综合性期刊","ArticlePicture":[],"TitleCN":null,"AbstractTextCN":null,"PMCID":null,"EPubDate":"","PubModel":"","JCR":"Q1","JCRName":"MULTIDISCIPLINARY SCIENCES","Score":null,"Total":0}
引用次数: 0

Abstract

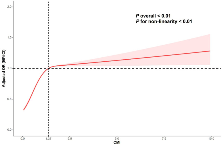
Hypertension, a major global health issue and leading cause of death, is often under-assessed by traditional metrics like Body Mass Index which fail to capture comprehensive cardiovascular risks associated with obesity. The Cardiometabolic Index (CMI), which evaluates abdominal obesity and dyslipidemia, offers a more accurate assessment of visceral fat and metabolic dysfunction. In this study, we analyzed data from 45,250 participants from the National Health and Nutrition Examination Survey spanning 1999 to 2020. Using multivariable logistic regression, we explored the association between CMI and hypertension, employing Restricted Cubic Spline analysis to assess non-linear relationships and two-piecewise linear regression to identify threshold effects. Subgroup analyses confirmed the consistency of our findings across various demographic and clinical characteristics. Findings confirmed that hypertensive participants exhibited significantly higher CMI levels (median 0.46 vs. 0.73), with adjusted logistic regression showing a notable association between increased CMI and hypertension prevalence (OR 1.30, 95% CI 1.25-1.35, P < 0.01), characterized by a nonlinear L-shaped curve with a critical threshold identified at a CMI value of 1.37. Subgroup analysis revealed a more pronounced impact of CMI on hypertension in females. These results underscore CMI's potential to enhance cardiovascular risk assessment across diverse U.S. populations.

Abstract Image

Abstract Image

Abstract Image

NHANES 1999-2020中美国成年人心脏代谢指数与高血压的关系
高血压是一个主要的全球健康问题,也是导致死亡的主要原因。传统的身体质量指数(Body Mass Index)等指标往往低估了高血压的价值,这些指标无法全面反映与肥胖相关的心血管风险。心脏代谢指数(CMI),评估腹部肥胖和血脂异常,提供了一个更准确的评估内脏脂肪和代谢功能障碍。在这项研究中,我们分析了1999年至2020年全国健康与营养调查中45250名参与者的数据。使用多变量逻辑回归,我们探讨了CMI和高血压之间的关系,使用限制三次样条分析来评估非线性关系,并使用两分段线性回归来确定阈值效应。亚组分析证实了我们的研究结果在不同人口统计学和临床特征上的一致性。研究结果证实,高血压患者的CMI水平显著升高(中位数0.46比0.73),经调整的logistic回归显示CMI升高与高血压患病率之间存在显著关联(OR 1.30, 95% CI 1.25-1.35, P
本文章由计算机程序翻译,如有差异,请以英文原文为准。
求助全文
约1分钟内获得全文 求助全文
来源期刊
Scientific Reports
Scientific Reports Natural Science Disciplines-
CiteScore
7.50
自引率
4.30%
发文量
19567
审稿时长
3.9 months
期刊介绍: We publish original research from all areas of the natural sciences, psychology, medicine and engineering. You can learn more about what we publish by browsing our specific scientific subject areas below or explore Scientific Reports by browsing all articles and collections. Scientific Reports has a 2-year impact factor: 4.380 (2021), and is the 6th most-cited journal in the world, with more than 540,000 citations in 2020 (Clarivate Analytics, 2021). •Engineering Engineering covers all aspects of engineering, technology, and applied science. It plays a crucial role in the development of technologies to address some of the world''s biggest challenges, helping to save lives and improve the way we live. •Physical sciences Physical sciences are those academic disciplines that aim to uncover the underlying laws of nature — often written in the language of mathematics. It is a collective term for areas of study including astronomy, chemistry, materials science and physics. •Earth and environmental sciences Earth and environmental sciences cover all aspects of Earth and planetary science and broadly encompass solid Earth processes, surface and atmospheric dynamics, Earth system history, climate and climate change, marine and freshwater systems, and ecology. It also considers the interactions between humans and these systems. •Biological sciences Biological sciences encompass all the divisions of natural sciences examining various aspects of vital processes. The concept includes anatomy, physiology, cell biology, biochemistry and biophysics, and covers all organisms from microorganisms, animals to plants. •Health sciences The health sciences study health, disease and healthcare. This field of study aims to develop knowledge, interventions and technology for use in healthcare to improve the treatment of patients.
×
引用
GB/T 7714-2015
复制
MLA
复制
APA
复制
导出至
BibTeX EndNote RefMan NoteFirst NoteExpress
×
提示
您的信息不完整,为了账户安全,请先补充。
现在去补充
×
提示
您因"违规操作"
具体请查看互助需知
我知道了
×
提示
确定
请完成安全验证×
copy
已复制链接
快去分享给好友吧!
我知道了
右上角分享
点击右上角分享
0
联系我们:info@booksci.cn Book学术提供免费学术资源搜索服务,方便国内外学者检索中英文文献。致力于提供最便捷和优质的服务体验。 Copyright © 2023 布克学术 All rights reserved.
京ICP备2023020795号-1
ghs 京公网安备 11010802042870号
Book学术文献互助
Book学术文献互助群
群 号:604180095
Book学术官方微信